时间:2010-04-07 14:08
人气:
作者:admin
列车互联网络无线传输DS-CDMA系统设计
铁路是我国最主要也是最重要的交通手段。中国的铁路列车每年约发送旅客16亿人次。为了缓解铁路运输能力的不足,京广、京沪、京哈、陇海四大干线已经逐步实现电气化改造。铁路电气化的改造能使列车提速的同时也给列车通信方面带来了一定的影响。
首先,电气化铁路的电力接触网距离地面仅6米,距列车车厢的顶部只有1米左右的距离,而电压却高达2.75万伏。强大的电磁场对通信的无线电信号造成了干扰。其次,列车的高速运行给无线传输信号带来了多普勒频移,而且列车车厢本身对无线传输信号就具有一定的屏蔽作用。这些诸多因素的影响,造成列车行驶中无线传输信号的杂音大,接收困难,严重时甚至使通信中断。
因此,如何通过技术手段克服这些现实中的困难,设计并实现一个有效的铁路高速列车互联网络无线传输系统,为车厢内的旅客在高速移动时提供宽带无线接入服务,成为目前急待解决的问题。
本文针对铁路点多、线长,站点分布较散,呈线形分布等特殊情况,充分利用铁路现有的SDH有线传输设备SBS622,通过设计的固定在火车站上的基地台与高速列车上的移动台之间的无线接口以及加顶圆盘天线等技术,实现了铁路高速列车互联网络DS-CDMA无线传输系统。
SDH接入网传输通道设计
在本设计中,我们主要利用SDH接入网来提供传输通道。光同步数字网SDH是不仅适用于光纤也适用于微波和卫星传输的通用技术体制。它具有全世界统一的网络节点接口NNI,简化了信号的互通以及信号的传输、复用、交叉连接和交换过程;而且具有一套标准化的信息结构等级和块状的帧结构,允许安排丰富的开销比特用于网络的运行、管理和维护OAM。它的基本网络单元有同步光缆线路系统、同步复用器SM、分插复用器ADM和同步数字交叉连接系统。它的特殊的复用结构,允许现存的传统的数字复用系统都能进入其帧结构;并且它大量采用软件进行网络配置和控制,使得新功能和新特性的增加比较方便。
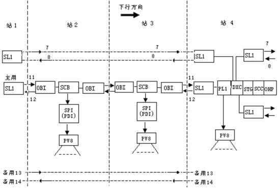
针对铁路沿线点多线长的特点,为了保证通信的可靠性,铁路通信信号的传输采用环行结构,同时在传输媒质层和复用段层及通道层实现保护,具体的实现方案如图1所示。
图1 铁路SDH传输设备组网
接入网的主要业务是从11、12两根光纤传输,同时由7、8两根光纤实现业务的环回。当11、12中断时,由软件系统自动启用7、8,从而实现了业务的不间断传输。
图1中PL1为支路板,它是速率为16*2M的电口支路板。它主要完成E1信号的线路收、发、转换及2M支路时钟信号的定时提取,实现2M信号经TUG-2到VC-4的映射和解映射,同时收集支路告警上报,并根据线路告警状态完成通道保护。DXC表示数字交叉板,一块DXC就可完成四块线路板上任意方向的上下业务的全交叉连接。利用数字交叉连接功能提供的低阶通道(VC-12)和高阶通道(VC-3、VC-4)可实现业务保护。STG表示时钟板, SCC板是SDH设备的系统控制及通信板,它在SDH设备中承担的是对同步设备的管理控制及互相之间的通信。OHP板为开销处理板,它与线路单元和支路单元板相连,完成线路方向上和支路方向上E1、E2和F1开销字节以及其它数据字节的提取和插入,最主要的是提供公务电话通道。
SL1板是1*622M光口支路板,它完成线路信号的发送与接收。SCB是小站专用的处理板,它包括了定时单元功能(STG)、开销处理单元功能(OHP)、主控单元功能(SCC)和交叉连接功能(DXC),是一种综合处理板。SPI板是电口支路板,其中SPI(S)容量为4*2M,SPI(D)容量为8*2M。PDI也是电口支路板,其中PD(S)只有16*2M的容量,而PDI(D)具有32*2M的容量。OBI板又称为2/1 *622M同步电路光接口板,它的传输距离比SL1的70KM稍短,约为30KM左右。PV8板主要实现本地设备的功能,它将本地设备发出的信号经过处理后送往主控板(数字交叉板)以及将主控板(数字交叉板)送来的信号经过处理后发往本地设备。
在本设计中,我们采用的SBS 622传输设备可以为我们提供站与站之间622Mb/s数据传输速率,同时也可以为铁路沿线各站提供自动电话服务、各种MIS系统的传输通道服务等。
基于FPGA的DS-CDMA无线传输系统设计
在高速行驶的旅客列车上开通互联网络业务,主要考虑的是传输容量,其次是抗干扰能力,然后是体积要尽量要小,最后是功耗低可靠性高。基于以上要求,我们选择了扩频通信方案。采用Spartan3 系列中的XC3S1500芯片实现直接序列扩展频谱通信的所有基带功能,其中包括扩频、匹配滤波器解扩、数控振荡器、复混频器,DQPSK编码与解码、载波和时序恢复、线性反馈移位寄存器和FIR滤波器。这些功能全部在一块FPGA芯片内实现。
图2给出了基于FPGA的DS-CDMA无线传输系统系统结构。直序扩频通信发射机结构见图2(a)。串并转换模块将串行数据转换成2位并行数据,接着进行差分编码转换成DQPSK码元。差分编码后与PN码扩频,输出扩频信号,其码元速率为的扩频码长度倍。在进行滤波前,采样率增加,使后面的正交调制满足Nyquist定律。上采样4倍后,扩频信号使用两路独立的SRRC进行脉冲成形。
图2 基于FPGA的DS-CDMA无线传输系统结构
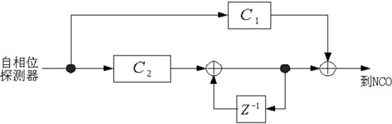
载波恢复模块是直序扩频接收机最关键的模块,如图2(b)所示。当采样与码元不同步时,需要利用载波同步算法使其达到同步。通常,需要采用一种算法从采样数据获得载波信息。本文采用直接同步法中的Costas环。环路滤波器的结构如图3所示。

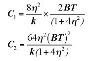
图中C1、C2的计算如下:
式中,η是阻尼系数,一般取值0.707,B是环路滤波器带宽,T是码元间隔,k是相位探测器增益和NCO增益的乘积。本文方案中,取η=0.707,BT=0.1,即载波恢复范围为码元速率的1/10,计算可得C1=4/15k,C2=2/25k,试验中调节k值,使之达到所要的效果。
Modelsim仿真表明,在66MHz工作频率下,采用长度为15bits的PN码,系统数据率可以超过2Mbps。最高扩频码速率超过15Mbps(使用长度为15bits的扩频码)。发射机共消耗435个Slices,接收机共消耗1454个Sclices,约占XC3S1500总资源的14%。
自动越区切换设计
但凡移动通信,都牵涉到越区切换,列车互联网络无线传输系统也不例外。由于列车无线调度电话的使用,每个火车站上都有无线电信号的发射铁塔,而且每个火车站都有通信机房。因此,铁路无线通信的小区制是以各站站场为中心、半径为4~7KM的圆形小蜂窝,其形状如图4所示。

由于SBS 622M所提供的传输通道协议为V5协议,因此在与路由器连接时要经过协议转换器。铁路车站小区的覆盖采用图4所示的三频制。针对DS-CDMA系统来说,就只存在三种不同的PN序列,这是因为传输的是高速链路,尽量减少多址干扰对高速传输很重要。
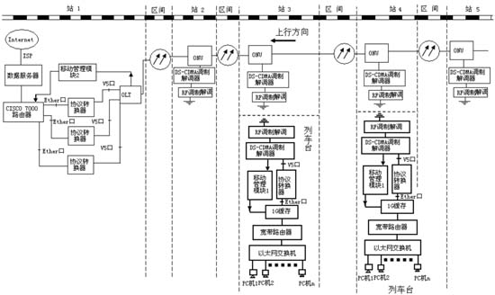
当列车在沿线的区间内正常运行时,由站1发出来的IP数据包经过SBS 622的V5通道透明地传输后,再经过DS-CDMA调制、解调,经过协议转换器后,恢复为IP数据包,经宽带路由器和以太网交换机发往各PC机,列车局域网的PC机发送的IP数据包亦经过与上述路径相反的过程。由于列车在一个方向上是串行运行的,每个小区内至多有一趟旅客列车,因此越区切换过程就相对简单了许多,也不需要功率控制,因此就由列车台控制越区切换。具有自动越区切换功能的铁路高速列车无线互联网络系统结构如图5所示。
假设列车正处在站4内,使用的是PN1序列实现与站内固定设备之间的通信。此时的移动管理模块1不断检测PN1的输入信噪比,当不满足要求时,再用PN2和PN3序列检测输入。若用PN2或PN3序列检测的输入信号大于用PN1检测的输入信号的信噪比,则经过一段时间的延时(为了防止干扰影响一般取10秒左右)后,移动管理模块1通过新小区的一个固定信道向车站设备送出一特定的序列和本网的IP地址。同时锁闭1G缓存器的输出,而接收电路却正常工作。此IP地址序列由固定的通道经过车、站的DS-CDMA调制解调、ONU(SBS 622)、OLT,送至站1的移动管理模块2。CISCO 7000给沿线的每个站分配一个内部地址,作为路由器中路由表内的接口号。移动管理模块2根据相应接口收到的IP地址号,自动修改CISCO 7000路由器中的路由表,同时通过另一特定的信道给移动管理模块1送一确认信号。移动管理模块1接收到此信号后,立即控制本端的DS-CDMA切换到新的信道,收发同时切换。此时也解锁1G缓存器的输出。双方开始正常通信。

结论
本文设计并实现的铁路高速列车互联网络无线传输DS-CDMA系统充分利用了铁路地面有线传输系统SDH的传输设备SBS 622和基于FPGA的直接序列扩频通信技术等,并可以自动进行越区切换。由于只开通互联网络业务,因此省去了原本移动网必不可少的移动交换中心MSC、归属位置寄存器HLR、访问位置寄存器VLR等必不可少的设备,用尽量少的设备完成了尽可能多的功能。此设计方案最大的好处是能够充分利用铁道通信的原有通信设备,充分发挥设备潜能,进而降低成本,增加效益。