时间:2010-04-20 09:39
人气:
作者:admin
NI M系列DAQ中使用的新技术
NI公司的M系列数据采集设备 (DAQ),以全新的革命性架构,为数据采集硬件功能设定了新标准。这些设备除集成了市面上最先进的技术之外,还吸纳了一些全新设计优势,显著改善其性能,准确性与I/O通道密度:
NI-STC 2 – 自定义的定时控制器ASIC NI-MCal技术 – 具有革命性的校准和线性化方法 NI-PGIA 2技术 可自定义的增益放大器
NI-STC 2是专门为M系列DAQ设备设计的专用集成电路(ASIC)。它增加了每个设备的I/O通道数目,并将数据总吞吐率提高了1200%。NI-MCal技术是一种线性化校准工具,可在所有输入范围内获得无与伦比的精度改善。另外,NI-PGIA 2的可自定义放大器技术,提供了更快的采样速率和更高的分辨率。NI-PGIA 2有三个分别针对成本、速度和精度而优化的版本。

图 1新型M系列技术提供了更高性能、更多I/O数与更大价值
NI-STC 2是一款可自定义的ASIC,它可以控制系统的定时、同步以及所有输入输出数据采集操作的路由功能。NI-STC 2 提供了:
6条DMA通道 – 每个功能都有专属的scatter-gather DMA控制器 时钟定时的数字I/O (高达10MHz) 与编码器兼容的32位计数器/定时器 RTSI总线信号路由,用于多个设备的同步 内部和外部定时信号路由 用于时钟同步的PLL
许多即插式数据采集设备并不受限于它们的采样或更新速率,而是受限于它们将数据传送到PC机内存的速度。老式数据采集设备使用中断请求线路 (IRQ)将数据从设备传送至PC机,并且需要设定跳线以避免内存冲突。IRQ使用计算机处理器来控制数据传输,这样会封锁其它PC机正在处理的操作,从而使效率下降。现代数据采集设备拥有板上直接存储器存取(DMA)通道,可以不需要通过CPU,直接将数据从数据采集设备传送至PC内存。DMA可以高速传输数据,并使CPU同时执行其它工作。
新一代数据采集设备(包括M系列设备),都拥有六条DMA通道。将这项技术应用到NI-STC 2的设备系统和定时控制器中,只需一个设备就可以同时执行模拟输入、模拟输出、数字输入、数字输出和两个计数器/定时器操作;同时,PC处理器可以执行其他一些操作,如数据换算及分析等。因为其它数据采集设备大部分都只有一条DMA通道,所以要同时执行两个或两个以上的操作就必须使用IRQ。随着数据传输率的增加及更多操作的同时进行,这些IRQ将开始占用PC处理器时间,使系统变慢,最终将导致缓冲区溢出错误。而M系列DAQ设备则采用NI STC 2技术,最多可同时执行六项高速操作,同时将数据丢失或缓冲区溢出的错误造成的错误减到最小。

图 2 NI-STC 2拥有6条DMA通道,可大幅度地提高数据吞吐率
除了16个静态数字I/O线路之外,NI-STC 2还包括了最多可达32个的硬件定时的数字I/O线路,可以以最高10 MHz的速率输入或输出数字模式。每个信号都可独立地设置为数字输入、静态输出或者波型输出。NI-STC 2的数字输入输出有专用的FIFO缓冲区,每个缓冲区都有专用的DMA通道向FIFO和PC内存中读写数据。你可以使用线路组来产生或测量32位宽的数字模式。这种模式I/O功能对于那些读取条形码或读取模数转换器(ADC)之类的部件定性应用来说是非常有用的;任何要求微秒数量级定时精度的应用中也需要这种功能。
你还可以将数字线路与其它硬件定时的操作(如模拟输入、模拟输出和计数器等)相关联,使设备上的多个操作同步。为了使信号相关,NI-STC 2内部会安排一根外部或内部信号线,为那些相关的信号提供单一时钟源。
所有M系列DAQ设备都包含了两个32位计数器/定时器,用于脉冲生成和频率测量。与常规的24位计数/定时寄存器相比,M系列设备拥有256倍的测量容量。另外,与老式数据采集设备上常见的20 MHz时间基频相比,板上80MHz的时间基频将脉冲测量精度提高了400%,而且允许测量更高速的波形。基于这个计数器,你可以利用正交编码器或者双脉冲编码器来进行位置测量,或者利用X1、X2和X4角度编码器来进行角度测量。
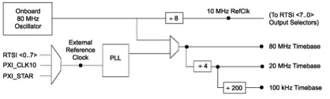
NI-STC 2通过分割80MHz的主频而生成多个时间基频。这些信号可以作为模拟输入、模拟输出、数字I/O和计数器/定时器的时钟来源来内部使用。每个M系列设备 也能够从这个80MHz时钟中生成自身的10MHz的参考时钟,用来同步多个设备。这个10MHz的参考时钟可以通过RTSI总线连接至同一系统中的其它设备上。
传统上,使用RTSI总线来同步设备将使每个设备的最大时钟频率速率限制在10 MHz上。采用NI-STC 2技术的M系列设备中都有一个锁相环(PLL),它可以让系统中的每个设备将自身的80MHz基频同步到10MHz主频上。有了这项技术,所有设备不仅可以同步到同一个主频上,还可以利用板上所生成的更快的80MHz定时信号。

图 3 M系列设备生成一个板上80MHz频率与一个PLL,以同步多个设备
ADC以及可编程放大器等电子元件,都具有非线性特征以及由于时间和温度影响而引起的漂移。要补偿这些固有误差,就需要设备的自校准。老式的数据采集设备使用板上的精确参考电压,在某个测量范围内进行两点式修正。这种方法无法避免ADC元件本身的非线性误差,因此降低了设备的测量精度。另外,这种方法只能在某一输入范围内进行校准,那么对多个不同输入范围的通道而言,测量精度就会受限于电阻网络的容差。
M系列设备则采用了NI-MCal技术。这是一种线性化与校准引擎(专利申请中),可以在所有输入范围内校准数千个电压准位。NI-MCal将脉冲宽度调制(PWM)和高精度的参考电压结合在一起使用。PWM的占空比用来改变电平,以便能在多点进行自校准。在板载EEPROM中生成并存储校准参数,以模拟ADC元件的非线性特性,并更正后续的测量任务。
与传统的两点式校准相比,NI-MCal技术的实现将测量的精度提高了5倍之多。另外,大部份M系列设备都改善了参考精度,将建议的校准时间间隔由一年提高到两年,从而降低了设备的维护成本。
|
M系列 |
老式E系列 | |
|
校准类型 |
多项式校准,所有输入范围 |
线性校准,一个输入范围 |
|
典型自校准时间 |
7秒 |
30秒 |
|
校准间隔需求 |
两年 |
一年 |
表1:M系列与E系列的校准比较
ADC在快速扫描多个通道时,其建立时间会大幅影响转换精度。所谓建立时间,是指放大某信号使之达到某一特定测量精度标准所需的时间。如果放大器没有足够短的建立时间,则被测量信号的量化将不准确。更短的建立时间可以在保证精度的条件下,允许进行更高速的采样。因此,对任意给定的分辨率或精度,都需要更短的建立时间。
为了保证测量精度,NI在设计M系列设备时引入了定制NI-PGIA 2技术。M系列的每台设备中NI-PGIA 2技术都针对成本、速度和精度进行了优化。例如,高精度的M系列设备中的NI-PGIA 2技术,针对18位的短建立时间、低噪音、高线性进行了优化。NI-PGIA 2技术通过最小化建立时间,可以在最大采样频率下保证设备的指定分辨率,从而提高了精度。图4表明,高速的M系列NI-PGIA 2在20 V电阶(最糟的案例)情况下,可以在1.5 µs内达到虚零误差。

图 4 NI-PGIA的建立时间比传统产品更短
M系列设备为即插式数据采集新增了一些额外功能,以提高测量精度和安全性,并易于使用。尽管12位和16位的数据采集设备已经成为现今的测量标准,但M系列的设备却有18位的分辨率。18位ADC所能检测到的最小电压变化,仅仅是16位设备的1/4,更是12位设备的1/64。这些18位的设备还包含一个可编程的低通滤波器,可以避免高频噪声的量化。
M系列设备的数字线路具有过压、低压及过电流保护装置,可以在过高的信号被意外加到数字线路上时,避免对设备及 PC 造成损坏。另外,工业继电器和交换器中常常有数字跳跃(digital bounce)现象,而计数器/定时器线路中的输入滤波器可以避免这种现象。数字保护和计数器/定时器的线路滤波器,对于工业及控制应用都特别有用。
所有M系列设备都具有NI-DAQmx的测量服务及驱动程序软件。NI-DAQmx为数据采集的生产率和性能带来空前的改进。集成的DAQ助手提供了一个一步一步的向导工具,帮助对测量任务进行配置、测试和编程。另外,NI-DAQmx支持多线程,这样便可以在一块处理器 上同时执行多个操作。
M系列的DAQ设备可以与IEEE 1451.4的智能传感器无缝合作。你可以采用M系列的DAQ设备、NI的信号调理和NI-DAQmx测量服务软件来读取智能传感器的数据。这样便无需手动输入传感器数据,取而代之,可以自动读取传感器的电子数据表,并用它对传感器测量进行定标。
表2中总结了NI的M 系列和老式E 系列的DAQ 设备之间的差异。
|
M系列 |
E系列 | ||
|
模拟输入 |
通道 |
16或32个 |
16或64个 |
|
采样速率 |
最高1.25 MS/s (16位) |
最高1.25 MS/s (12位) | |
|
分辨率 |
16或18位 |
12或16位 | |
|
校准方法 |
NI-MCal (适用所有范围) |
线性两点式 (试用单一范围) | |
|
可编程低通输入滤波器 |
有1 |
无 | |
|
模拟输出 |
通道 |
0, 2, 或4个 |
0或2个 |
|
更新速率 |
最高2.8 MS/s, 16位 |
最高333 kS/s, 16位 | |
|
分辨率 |
16位 |
12或16位 | |
|
输出范围 |
每通道可编程1 |
±10 V, 0到10 V | |
|
输出偏移量 |
每通道可编程1 |
0 V | |
|
数字输入/输出 |
线路 |
24或48个 |
8或32个 |
|
速率 |
10 MHz, 时钟同步1 |
软件定时 | |
|
相关数字IO |
有 |
无 | |
|
线路保护 |
改进的过压/低压保护以及过电流保护 |
— | |
|
计数器 |
线路 |
2个 |
2个 |
|
分辨率 |
32位 |
24位 | |
|
计数器基频 |
80 MHz |
20 MHz | |
|
正交编码器输入 |
有 |
无 | |
|
计数器去抖动滤波器 |
每线路可编程 |
无 | |
|
系统 |
时钟同步 |
PLL, RTSI |
RTSI |
|
DMA通道 |
6个 |
1或3个 | |
|
连接器类型 |
VHDCI (高密度) |
SCSI II |
1限某些M系列设备
表2 M系列和 E系列 DAQ设备之间的功能差异
随着M系列设备的推出,NI公司一直在扩展其功能,同时降低数据采集的成本。其中,OEM客户会非常感谢M系列设备的扩展I/O功能,因为它使每I/O通道的单位价格下降了30%多。
NI-STC 2、NI-MCal和NI-PGIA 2技术提供了以前即插式DAQ设备所不具备的功能,而且M系列可以与NI LabVIEW图形开发环境和NI-DAQmx测量服务软件无缝结合,以提供更佳的性能、更高的价值和更多的I/O。