时间:2010-04-20 16:54
人气:
作者:admin
针对UART通信端口上射频干扰的研究
有客户报告其中心位于840MHz左右的RF干扰影响配置成UART的串行通信端口,该接口位于包含一个AD6903(LeMansLCR+)数字式基带处理器的调制解调器和一台主处理机之间。
出现的问题是连接到AD6903GPIO_1引脚的UARTRX信号中出现噪声,每当射频(RF)干扰源出现时,信号平均电压就会远离其期望值。平均电压的偏移幅度取决于RF源的功率和频率。
图1显示当射频功率放大器接通时,进入AD6903的GPIO_1引脚上的UARTRX信号受到影响的情况。在图1中,进入AD6903的UARTRX用粉红色表示,来自主处理机的UARTTX信号用紫色表示,功率放大器使能用黄色表示,而AD6903VEXT电源用绿色表示。

图1:UART通信端口上的RF干扰
当功率放大器接通(黄色)时,从主处理器的TX引脚到AD6903的RX引脚(桃红色)的UART数据传输发生了故障,因为RX信号上升到高低电平之间的中间位置,而与TX信号(紫色)不一致。在第二个脉冲期间,当功率放大器接通时,主处理器的TX引脚和AD6903的RX引脚应该都保持高电平;但是TX引脚上有噪声,而且RX信号下降至其高低电平的中间位置。并且注意VEXT电源电压(绿色)上的噪声增大,并且当功率放大器接通时其值还会略为上升。
然而,问题必须是与功率放大器的使能信号和同一个调制解调器的功率放大器无关,因为从附近其他的电话或信号发生器带来的RF能量也会影响进入AD6903的UARTRX信号。使用信号产生器扫描来检查对射频干扰的易受度时发现,最坏的地方约在840MHz,而在高频或更低的频率上则较好。
在主处理器和AD6903之间的这个信号的串联电阻器被用于使逻辑高电平从3.3V降低到2.8V。这个电阻器的额定阻值是10kΩ。可以用较小的电阻、包括0Ω电阻器来替换之,因为降低阻值可以减小噪声,但是这并不能解决问题,除非用短路线来代替。
这个问题也不是AD6903才特有的。来自其他厂商的芯片也具有相似的现象。比如,SN74AVCA16425GR的引脚37上也有同样的问题。其功能框图请参考图2。

图2:SN74AVCA16425GR功能框图
这里的1DIR、2DIR为高电平,OE为低电平,因此操作是从A口到B口,引脚37(1A7)将接收来自另一个芯片组的数据。这意味着它是输入型。
在附近存在RF干扰的情况下,即在测试点附近(5米以内)用手机打电话,来测试SN74AVCA16425GR的引脚37上的信号。图3显示当设备不加电时(I/O状态未知),其输出反常;而图4则显示当设备加电(输入状态)时其输出的反常情况。

图3:低电平升高
干扰原理
进入AD6903的UARTRX信号的这种“RF干扰拾取”行为的发生以一个特定的RF频率为中心,而这些信号迹线没有完全被屏蔽。这种现象是可以解释的:主板的印刷导线拾取干扰,因为导线上有寄生电感、寄生电阻和寄生电容,而导线的两端连接的是高阻抗;一侧是一个10kΩ电阻器,另一侧则是CMOS输入。电路板上的导线就像一个具有1/4波长响应的天线。

图4:高电平降低
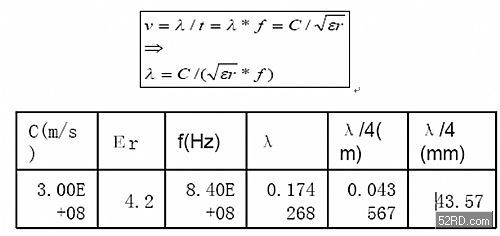
在客户模块中,计算GPIO1导线时,模块上按30mm计算,而主板上则大约为15mm。所以这条线能够拾取RF噪声并对840MHz敏感就不奇怪了。具体可以参考图5。

图5:RF干扰计算公式
根据上述理论,建议在信号通道上增加一只电容器来阻尼RF的干扰振荡。电容器的作用是改变天线的调谐频率和降低天线阻抗从而降低天线增益。随后,我们听取了有关报告,即通过选取适当的电容,使噪声减少到了可接受的水平。
该信号的DC偏移量可由任何CMOS输入-输出引脚的二极管产生。他们通常被称作为ESD(静电释放)保护二极管,但是当它被配置为输出时,它们其实是用来控制引脚的晶体管的耗尽区;那些晶体管经常做双重用途,即在配置为输入时还作为引脚上的ESD保护装置。所以他们在所有CMOS输入/输出电路结构中都是不可缺少的。这些二极管加正向偏压,当信号的幅度使得二极管压降(大约0.6V)正向超过VEXT之上,或者反向低于地电平时,信号将被钳位。为了使信号的幅度随着天线频带内的RF能量的增长而增加,信号的平均电压将可接近VEXT电压的一半。
这个解释使我们得知,信号的峰峰值从VEXT+0.6V到-0.6V。但示波器所测得的幅度却小很多。要解释为什么幅度会减小,我们估计这是由于示波器探头以及接触电阻所导致的衰减所致,或者是数字示波器的采样率不够,比如它为了采集1GHz附近的完整信号(尤其是给定显示窗口约10ms时),实际的采样率可能比所需的2G采样/每秒的速度要慢很多。图6中对这个理论进行了描述。

图6:用于直流电压偏移观测的解释描述
RF干扰信号是由印刷导线拾取并被馈送到芯片里,标准芯片输入/输出衰减器作为一个整流器,作为所有CMOS输入-输出引脚(芯片输入/输出)的一部分,二极管被正向偏压,并对正向超过二极管管压降(大约0.6V)VEXT之上,或者反向低于地电平时,信号的摆幅被钳位。同时示波器和/或探头不能测量GHz级的频率,其表现等同一个低通滤波器。于是,在“某些”输入/输出引脚出现反常电压(取决于连接到输入/输出引脚的印刷导线以及EMC的设计水平)。
也有报告用0Ω电阻器替换10kΩ系列电阻器,这并不能实现消除干扰或DC电平的偏移,但用短接线替换可以实现。留意那些电阻器可以得到解释,即使是0Ω电阻器,也会因为封装与一定量的电阻串联而产生寄生电感。考虑高频时,这个串联的RL分量的作用比纯电阻更像低通滤波器。因此似乎在产生干扰的RF频段内,电阻分量仍然有可能有相当大的阻抗。
解决方案
可以通过两种途径减少/消除上述影响:
1.消除/减少“干扰源”,增加系统干扰免疫(EMC保护)能力,例如将RF电路与其他数字电路隔绝,增加独立的RF和基带屏蔽区,保持良好接地,在手机外壳中使用EMC材料。
2.为了去除这种“干扰”,通常应该用一只小电容器(注意将电容器紧靠在I/O引脚)。通过在靠近(AD6903.GPIO1)(UART_Rx)测试点附近增加一个27pf电容器到地。从示波器测量中可以发现,消除了输入/输出DC偏移。并且UART通信端口相应的误码率正常。具体参考图7和图8。

图7:低电平正常迹线。

图8:高电平正常迹线
本文地址:http://www.elecfans.com/article/84/119/2010/20100420216399.html