时间:2010-02-04 10:27
人气:
作者:admin
窄带调频原理及其SystemView仿真
常见的模拟调制包括角度调制(FM/PM)和幅度调制(AM/DSB),与幅度调制不同的是角度调制是原调制信号频谱的非线性搬移,并且产生了新的频谱分量,所以又称为非线性调制。FM(调频)在实际通信中的应用非常广泛,高保真音乐广播、电视伴音信号传输、蜂窝电话以及卫星通信等。与幅度调制相比,FM可以获得较高的抗噪声性能。本文就FM中的一种特殊情况——窄带调频(Narrow-Band FM),讨论其调制解调原理,并应用通信仿真软件SystemView进行仿真分析,目的是向读者完整展现借助EDA(Electronic Design Automatlon,电子设计自动化)技术分析解决通信问题的思路和过程。
1窄带调频的基本原理
1.1调制原理
角度调制信号的一般表达式为:![]()
所谓频率调制(FM)指瞬时频率偏移△ω随调制信号f(t)成比例的变化,即:

至此,得到窄带调频的一般表达式。以式(7)作为数学模型,可直接建立窄带调频的原理框图,如图1所示。
1.2解调原理
由上面的推导可知,窄带调频可以由乘法器实现,因此必然可用相干解调的方法来回复原调制信号,如图2所示,NBFM信号在接收端首先经过带通滤波器(BP)滤除频带外信道加性噪声,然后经过乘法器与载波(-sinωct)相乘,用低通滤波器滤除乘出来的高频分量,最后经微分器去掉f(t)外面的积分,在输出端恢复原调制信号f(t)。

另一种FM解调器就是所谓积分鉴频器,如图3所示。这类FM解调器已在很多单片FM收音机和接收机芯片中使用。
图3中,调频信号分成两路,一路直接接到乘法器,另一路经过一个耦合电容与一个LC并联谐振回路组成的相移电路产生正交信号,作为乘法器的另一个输入。所有相移由耦合电容产生的相移及谐振回路产生的附加相移组成。
简单原理如下:
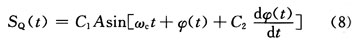
为了简化问题,将输入的NBFM信号简单表示为一般角度调制信号的形式:![]()
则通过上述相移网络产生的另一路信号为:![]()
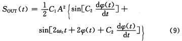
式中:系数C1,C2由电路参数确定。两路信号经过乘法器后的输出为:
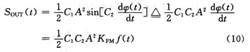
其中,后一个频率分量中的和项可用LP(低通滤波器)滤除,故输出可化简为:
式中:f(t)为调制信号。另外,要得到式(10)的近似结果,还要求系数C2足够小。
特别说明的是,在实际计算机仿真中没有由耦合电容和谐振回路构成的相移网络,只能用其他方法的替代来实现相移。一种方法是用一个希尔伯特(Hilbert)变换滤波器来实现,因为希尔伯特滤波器会引起整个通帮内信号产生90°相移;另一种方法是通过一个简单延刚电路产生相当于载波1/4周期的延时,从而在载波中心频率上产生90°相移。当然,这样做是一个理想化的近似,淡化了部分会在实际相移电路中出现的问题,但这样并不影响对整个调制解调过程的分析和判断。
2 SystemView仿真过程
2.1建立仿真模型
由上面的论述分析,参照窄带调频信号的调制解调原理框图,在通信仿真软件Systemview中建立完整仿真模型如图4所示。
说明:参照图1建立的窄带调频调制模块,也称间接法调频;参照图2和图3建立了解调模块,由相干解调和积分鉴频器解调两种方法组成,在积分鉴频器中完成90°相移的部分又分延迟法和希尔伯特法两种。
在实际仿真中,仿真参数可根据实际情况灵活改变,以期达到较好的仿真效果。需要特别说明的是延时Delay的设置:假设载波频率为500 Hz,设仿真系统的采样频率为2 000 Hz,它刚好是载波的4倍,即系统采样周期(1/2 000=500 μs)为载波周期的1/4。可以选择刚好延迟一个系统采样周期500μs,也就是延迟了载波周期的1/4,从而实现相移90°的目的。
2.2仿真结果分析
运行仿真,完成后直接由SystemView分析窗口中导出结果波形。
图5为SystemView接收计算器计算出来的NBFM信号的频谱图(放大之后只取了单边),中心是500 Hz的载频分量,正的上边频(图中两侧的小凸起)位于505 Hz处,负的下边频位于495 Hz处,符合事先对NBFM信号频谱的估计。看起来NBFM与熟悉的AM频谱非常相似,作为对比,给出常规AM调幅信号的频谱图如图6所示。对比上下边频发现,NBFM的下边频和AM反相。为了进一步区分它们,可以画出其矢量相加图,如图7所示。
从图7中可以看到,在NBFM中,由于下边频为负,它们的合成矢量与载波正交相加,使得NBFM存在相位变化△φ。当满足式(5)时,△φ非常小,引起的幅度变化可以忽略。这是NBFM属于角度调制,区分于AM的本质所在。因为在AM中,上下边频的合成矢量与载波同相,不存在相位变化。
下面根据仿真结果对NBFM的两种解调方式加以对比。
为了有利于直观对比,将两种方法解调出来的信号画在同一张图上,如图8所示。显然,相干解调的效果要好,信号失真较小。从解调出来的信号幅度上来看,相干解调的信号幅度大约是鉴频器解调的50倍(调制信号的初始幅度设为1)。这与NBFM信号的产生过程有关,因为窄带调频是由乘法器实现的,所以用相干解调是最为直接的,也是误差最小的方法(这一点与AM调幅相似)。然而适用于普通FM信号解调的积分鉴频器法在仿真中效果不佳,无论是延时法,还是希尔伯特变换法,从图中都可以看到信号幅度相比非常小,极易在解调过程中被噪声淹没(本文为了简化问题,在仿真中没有加入噪声),也就是说在实际电路中需要加入大功率放大器。
假设输入的噪声功率相同,可以计算出NBFM信号中两种解调方法下输出信噪比的比值为:![]()
显然,对于NBFM信号来说,相干解调的抗噪声性能要好得多。
此外,还可利用SystemView特有的分析窗口计算器,对NBFM信号的功率谱、相位特性等进行分析。限于篇幅,这里就不再具体介绍了。
3结语
因此,分析介绍了模拟调制中常见的窄带调频基本原理,并在最后建立了SystemView系统仿真模型。基本给出了利用通信仿真软件分析问题的思路,即推导分析原理一画出原理框图一按照原理框图在SystemView中建立仿真模型一调整参数,运行仿真一分析仿真结果,给出结论。熟悉了解这个过程,就可以充分利用相关EDA软件为研究通信问题服务,大大提高了科研效率。