时间:2010-03-01 12:02
人气:
作者:admin
多通道射频接收机测量噪声系数的新方法
在多通道接收机接收的过程中,噪声的加入限制了信号的信噪比和灵敏度,由于射频接收机所接收到的信号较为微弱,其噪声特性显得尤为重要。另一方面在多通道成像的过程中,不同通道的接收路径有可能不同,即使接收路径一样,各通道的噪声特性也不可能完全一样。故接收机每个通道各级的噪声系数的精确测量非常重要。传统的噪声系数测量方法不能满足测量大噪声系数的要求。且在实际的多通道测量中,需要使得被测通道处在接收状态,其他通道不工作以减少通道间的噪声干扰来保证测量的准确性。考虑到接收到射频信号的微弱,射频接收机的前端通常有一个用低噪声放大器来实现的前置放大级,本文从接收机这种特性出发,以MRI射频接收机为例提出一种多通道切换测量噪声系数的方法,通过设计1个八选一的射频开关使得噪声系数的测试在不同通道切换,并利用控制前置低噪声放大器直流电源通断使其处在放大和不放大状态。在放大状态下,噪声被放大以提供热噪声源,反之提供冷噪声源。这种放大器开关测量法优化了Y因子测量噪声系数法,使得测量较为精确且容易进行。
1优化测量噪声系数的原理
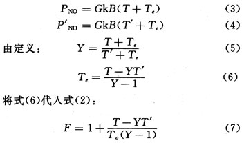
射频接收机的噪声主要包括电阻的热噪声和PN结的散弹噪声,均属于白噪声的范畴。白噪声不包括任何离散成分,其电平符合高斯分布。功率谱在一定的频率范围为均匀分布。噪声系数是表征线性二端口网络或二端口变换器系统噪声特性的一个重要参数。它的标准定义为:接收机输入端信噪功率比与输出端信噪功率比的比值。根据尼奎斯特定理,处于标准噪声温度T0(290 K)的输入端产生的资用噪声为功率为kT0 B;k为玻尔兹曼常数(1.38×10-23J/K);B为等效带宽。设网络的资用噪声增益为G,对于线性网络来说资用噪声增益等于资用信号功率增益,则仅由输入端所产生的输出资用噪声功率为GkT0B,设端口输入输出的信号及噪声功率分别为Psi,Pni,Pso,Pno,由此即可得到噪声系数(F)2 种互相等效的定义:

由于被测的接收机不是工作在线性区域,而信号源法需要知道被测网络的等效噪声带宽,要准确测定等效噪声带宽是很困难的,因此信号源法测试误差较大,实际测试中需采用噪声源法。常用的采用噪声源法的测量噪声系数方法包括:增益法,Y系数法和噪声系数仪法。使用噪声系数测试仪是测量噪声系数的最直接方法。在大多数情况下也是最准确的。且可在特定的频率范围内测量噪声系数,分析仪能够同时显示增益和噪声系数帮助测量。但当噪声系数超过10 dB,测量结果非常不准确。对于MRI的射频接收机来说,这种方法所能测量的噪声系数的范围太小,显然不适用。而增益法和Y系数法都是利用频谱仪来测量,所不同的是增益法需要事先知道被测元器件的资用增益,而且受到频谱仪噪声基底的限制。Y系数法是测量噪声系数的一种典型方法。在测量中,当被测网络的输入端处于2个不同的资用功率时(例如:噪声发生器的热态T和冷态T),输出端可以得到2个相应的资用功率PNO,PNO,通常把这两个功率之比记作Y,设这一个二端口的网络(或是二端口的元器件)等效噪声温度为Te,增益为G,被测网络的噪声系数为F,可得:

利用Y因子测量噪声系数需要冷噪声源和热噪声源以便在输入端实现不同的噪声功率输入,通常是通过对固态噪声源加电压和不加电压实现,即当噪声发生器被施加直流电压时,噪声发生器产生噪声输出形成热噪声源,当未施加电压时,存在于噪声发生器内部热扰动产生的剩余噪声形成冷噪声源。加电压的方法只适合测量较小的噪声系数,当被测网络的噪声系数较大时,需要获得较高的Y因子来减小测量误差,因此需要较高的直流电源来获得热噪声源,这在实际中是难以实现的,即传统的Y因子测量方法误差较大,所以需要对噪声源进行优化。由于接收机的第二级为前置低噪声放大器,它的噪声系数相对于接收机的其他级很小,可以直接用噪声系数仪测量。在接收机中所使用的低噪声放大器的增益为30 dB,故可以控制放大器使得它在工作即放大条件为下一级提供热噪声源,在不放大条件下提供冷噪声源,这样就可以得到较大的Y因子,减小测量大噪声系数时的误差。而且不需要额外的噪声源和直流电源,简化了设计。
2多路信道切换(RF SWITCH)的实现
实验所用到的接收机有8个通道,实际测量噪声系数需要对每个通道单独用频谱仪进行测量,即八个通道只有一个通道工作,另外7个通道处于断路状态,而在射频接收机中,没有接收信号的通道输入需要用50 Ω的电阻盖住。根据以上分析需要设计一个8通道选任一通道的射频开关,且不工作的其他通道输出端呈50 Ω阻抗。
这种特性可利用PIN开关设计。PIN开关是利用PIN二极管不同偏置下电特性制成的射频半导体控器件。它具有优良的开关特性:当PIN二极管正向直流偏置时对射频信号呈近似短路状态;当PIN二极管反向偏置时对射频信号呈近似开路状态。PIN二极管开关具有控制速度快、损耗小、功率容量大的特点。
如图1所示,在每一路通道放置一个单刀单掷射频开关,每个开关均有一根控制线控制其通断。通过对8路控制线设置选择惟一的1路导通即可实现八选任一路的切换。

用矢量网络仪R&S ZVB4测量该射频开关的频率范围、插入损耗及隔离度,结果如图2所示:

图2为本文所设计的射频开关在中心频率为63.6 MHz,带宽为120 MHz下的特性,图2为开关导通时的S21曲线。图2的上方曲线为开关截止时的S21,下方曲线为截止时的S22(反映输出端的反射特性)。由图知该开关在导通状态下的插入损耗仅为-0.259 dB;而在隔离状态下中心频率附近的传输损耗为-32.205 dB,且输出端的反射系数为-34.568 dB。说明该开关在以接收机的工作频率为中心频率的宽带范围内具有良好的导通和截止特性,且在截止状态下输出端匹配良好。因为接收机只工作在中心频率附近的窄带范围,故此开关设计指标符合要求,且性能比设计指标更为优越。
3接收机噪声测试结构及具体方法
接收机所接收到的信号的载波频率为63.6 MHz的窄带信号,故只需测量中心频率63.6 MHz,带宽范围较小的噪声特性。噪声测试需要测量出每一级的噪声系数,而接收机的每一级的噪声系数及增益各有不同,为了测量的准确性,必须用使用不同的测量方法。
由于低噪放的噪声系数较小,可以直接用噪声系数仪测量。实验中用Agilent公司生产的N8973A噪声仪进行测量,由于接收机所使用的低噪放直流供电在输出端,而噪声系数仪的输入端不能直接接直流电,故测量时要在放大器的输出接隔直电容再连入噪声仪。
对于接收机中噪声系数较大的网络,需要用上文提到的优化Y因子的测量方法,由于接收机本身的构造以及此种方法中需要放大器工作在放大/不放大2 种状态,测量中需要设计控制电路来达到测量要求。如图3,虚线方框内为实验设计的通道切换和前置放大器控制电路、方框外为接收机模型、放大器输入端用50 Ω替代接收线圈提供噪声输入,同时为了简化框图,只画出接收机的放大器后2级。在MRI射频接收机中,为低噪声放大器供电的电压(DC+10 V,如图3所示)是从系统的RF芯线即信号线引出的,测试设计中在每一路放置1个直流开关(K1~K8)控制放大器供电电压的通断。C3为隔直电容,L1,L2起到阻断射频信号,导通直流的作用,当某一路直流开关K闭合,10 V直流电压通过L2,L1到达放大器输出端,为放大器供电,使该路处在噪声放大状态。当K断开时放大器无供电电压,起不到噪声放大作用。控制直流开关K的通断即可为接收机的每一级测试提供冷热噪声源。
测试中,设置各路开关的控制线,使要测的那路导通,其余路断开,闭合该通道的直流开关,然后用频谱仪测量输出的噪声谱密度PNO_n,而后断开该路的直流开关,再用频谱仪测量输出的噪声谱密度PNO_n,由于室温T0(290 K)的噪声谱密度P。约为-174 dBm,设噪声源的等效温度为Tn,Tn,可得:

实验用的频谱仪为Agilent公司的F4411B,测试的中心频率为63.6 MHz,SPAN取20 MHz。选取“Function”中的“Noise",设定合适的VBW/RBW,调节RefLevel使频谱仪位于噪声基底,当Ref Level取-63 dBm时达到噪声基底,经“Average”后显示为-153.1 dBm。控制每路CON线,使得通路再8个信道转换,重复以上的测量步骤,便可得到每一路的噪声系数。
4结 语
利用此种方法对MRI射频接收机各个通道切换下的各级进行了噪声系数测试,实测的各个通道与设计中定义的指标值相差0.2 dB范围内,且由于高频通信系统的接收部分具有一定的共性,即通常下考虑整个接收机的噪声系数特性,接收机的第一级都要接前置低噪声放大器。故此类方法可以推广到其他的射频接收机当中。
本文解决了射频接收机多路信道噪声系数比较以及接收机不同模块的噪声系数测量。独创性地利用接收机前端的低噪声放大器提供冷热噪声源优化Y因子测量方法,并以MRI射频接收机为例设计出性能优越的多路射频开关实现信道切换,实践证明该方法是适用而有效的。