时间:2010-01-13 11:03
人气:
作者:admin
基于GPS的双基地SAR大斜视角成像算法研究
建立了基于GPS的顺轨SAR系统模型,通过将GPS信号等效为Chirp信号,研究了在该模式下的大斜视角Chirp Scaling算法。在正侧视或小斜视情况下,CS算法具有较好的聚焦性能和广泛的适用性,但在斜视角较大的情况下,该算法将散焦而不能成像,因而提出了用等效的单基地距离模型来代替双基地距离历史的方法,解决了大斜视角情况下距离模型二阶近似误差较大的问题,并结合单基地非线性CS算法,实现了在大斜视角情况下的基于GPS反射信号的双基地SAR高精度成像,最后通过Matlab仿真进行了验证。
关键词:GPS;双基地合成孔径雷达;顺轨模式;大斜视角;非线性CS算法
0 引 言
基于GPS反射信号的被动SAR成像系统因其优越的性能和强大的军事、民用发展潜力而越来越受到广泛的关注。Masters D等利用地面反射的GPS信号实现了地面湿度的测量;Garrison J L等建立了基于海面反射GPS信号提取海面状态的系统模型,并进行了相应的试验,验证了此模型的有效性。Lowe S T利用低空飞机上接收的反射GPS信号实现了海浪高度的变化监测。研究表明,基于GPS的SAR成像系统是完全可行的。
本文研究了顺轨模式下的该成像系统。所谓顺轨是指GPS发射机和接收机在相同的运动轨迹上前后分置,以相同的速度匀速运动的配置方式,这种模式编队构型简单,容易实现。目前,Chirp Scaling算法被认为是针对本系统比较有效的算法。但原始CS算法没有考虑距离谱调频率的斜距空变性,因此只是对参考距离上的点目标的距离压缩进行精确补偿,而对其他距离上的点目标近似补偿,在斜视角比较大时就会出现散焦的情况。NCS算法考虑了距离谱调频率的空变特性,对斜视数据的处理能力大大提高,但NCS算法中需要进行距离历史的二阶展开近似,由于双基地的距离历史为接收机、发射机到目标的距离和,表现为两个开平方的和形式,如果仍采用二阶泰勒展开近似的方法,引起的误差将会很大以致影响成像的质量。本文提出了一个等效的单基地距离模型,将双基地的距离历史等效为单基地的情况,大大减小了这种误差。
1 信号模型
给出顺轨飞行模式下双基地SAR的几何关系如图1所示,在较短的时间内,图中GPS卫星与接收机沿航线匀速直线运动,点目标P的最近垂直斜距为RB,设以发射机位于o点时的时刻作为慢时间的起点,这时波束射线刚好可以照射到点目标P,发射机位于A点,接收机位于B点时,发射机和接收机波束中心指向点目标,经过tm时刻,发射机移动到A1,接收机移动到B1。

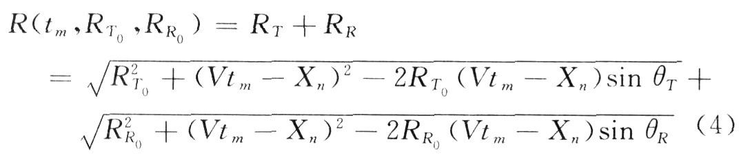
通过上面的几何关系,可以计算出发射机到目标的距离为:

其中:RT0=RB/cosθT,RR0=RB/cosθR分别为发射机、接收机到目标的中心斜距;给出基线TR D,斜距RB和发射机观察角θT,即可计算出接收机斜视角θR=tan-1(tanθT一TR D/RB)。回波模型由发射机模型所决定,当发射机斜视角和发射机与接收机的基线固定后,接收机的模型是确定的。
基于上面的分析,回波由发射机发射到接收机接收的距离历程可以表示为:

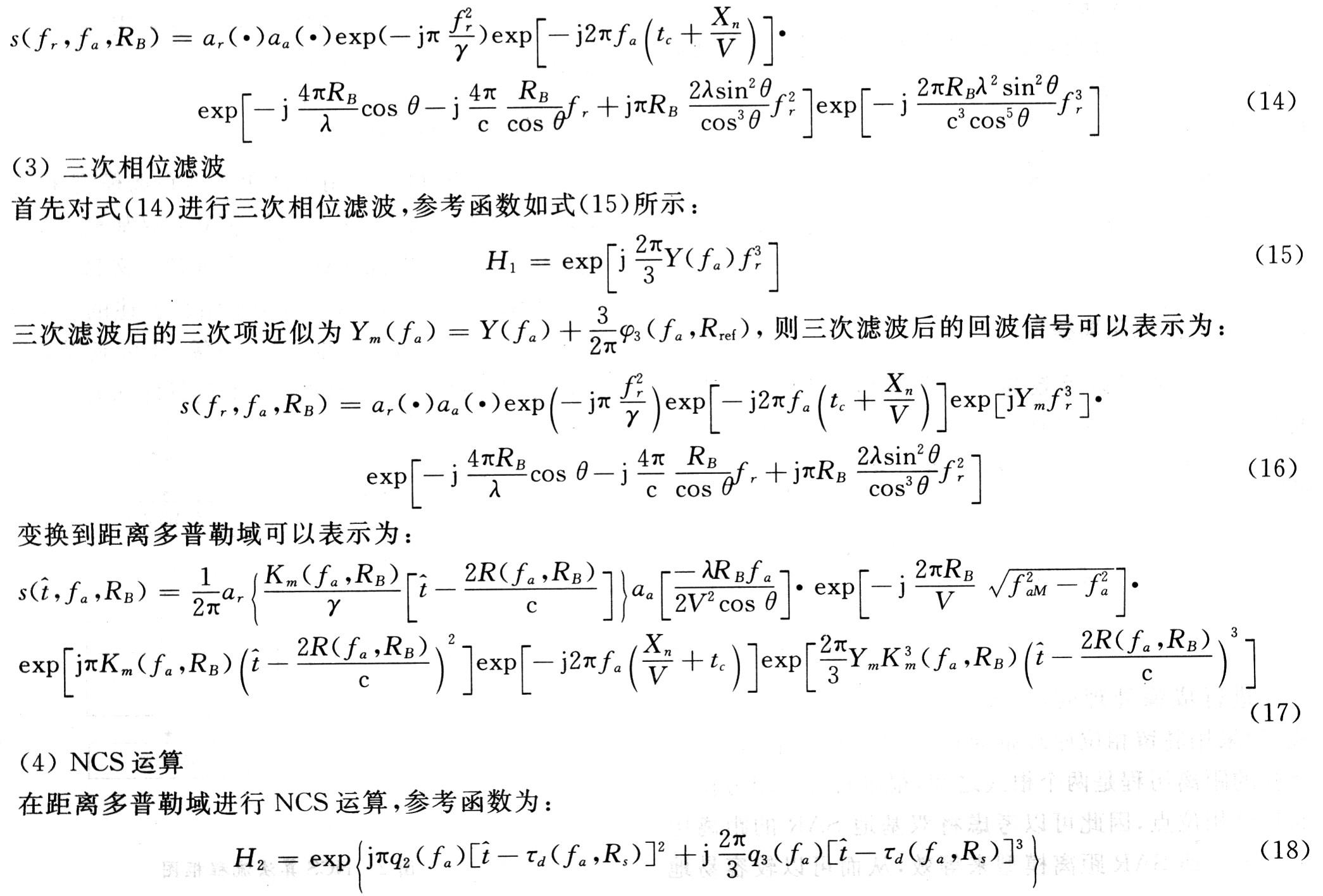
2 等效单基地距离模型
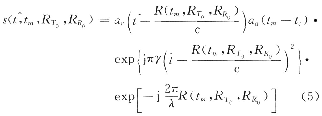
GPS信号可以等效为线性调频信号,则点目标回波经解调后,双基地SAR回波信号可以表示为:

进行成像处理时,需要推导回波的二维频谱,对式(5)采用驻留相位原理推导回波的二位频谱时,由于目标的距离历程是两个根式之和,很难直接求出方位向的驻留相位点,因此可以考虑将双基地SAR的距离历史用单基地SAR距离模型来等效,从而可以较容易地推导回波的二维频谱。
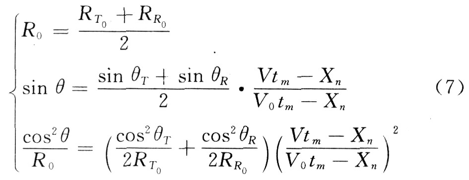
将双基地SAR等效为单基地SAR时,式(4)的距离历程可以等效为:

其中:R0为等效斜距;θ为等效斜视角;V0为等效速度。为了计算等效参数,将式(6)进行泰勒级数展开,取前三项系数相等,可以得到:

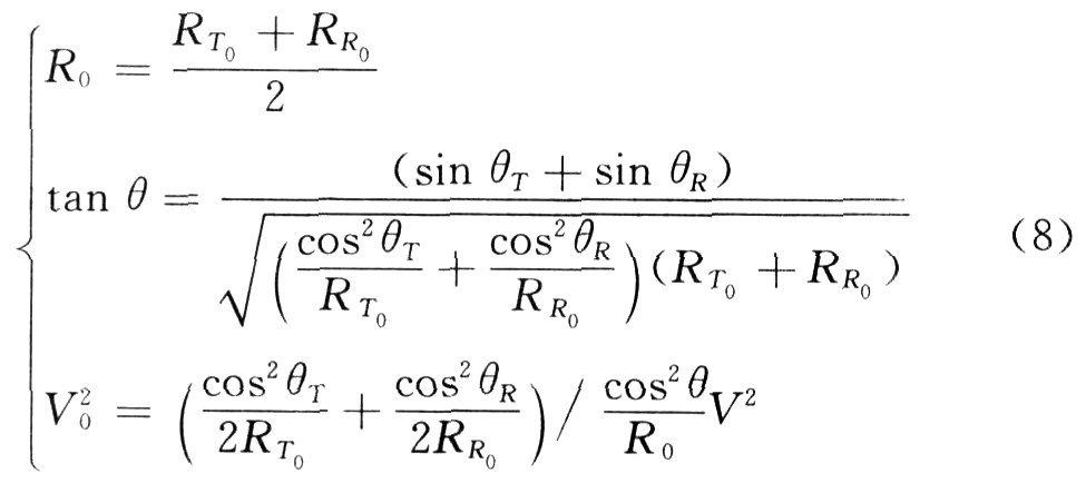
若认为目标位置Xn在零点的位置,将式(7)可以化简,通过解方程可以得到等效参数:

将双基地SAR等校为斜视角为θ,目标斜距为R0,速度为V0的单基地SAR,这时可以采用单基地SAR常用的算法进行成像处理。
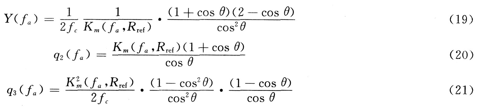
3 斜视NCS成像算法
根据分析,可以采用等效单基地距离模型来代替双基地SAR距离历史,从而大斜视角下双基地SAR成像就转化为单基地斜视SAR的数据处理。文献[5]研究了大斜视情况下的NCS算法,这里结合上述的等效模型,参考本算法实现对双基地SAR成像,算法流程如图2所示,各匹配函数的具体形式在下面进行详细的讨论。

(1)双基地SAR回波信号
双基地SAR的回波信号如式(5)所示,通过双基地SAR等效为单基地SAR的处理后,可以得到近似后的单基地SAR信号形式,如式(9)所示:

(2)将回波变换到二维频域
采用驻留相位原理将式(9)变换到二位频域,可以表示为:

在NCS算法中,考虑了三次以内相位项的影响,而忽略了高次相位项的影响,取泰勒级数展开的前四项进行近似处理,得到:

NCS运算后的结果变换到二维频域,将随距离变化的RCMC和SRC项去除,可以求得3个系数:

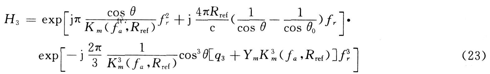
(5)距离压缩和弯曲校正
CS运算后,回波信号(这时只考虑相位项)可以表示为:

距离压缩、弯曲校正参考函数为:

距离压缩、弯曲校正后,将回波信号变换到距离多普勒域。
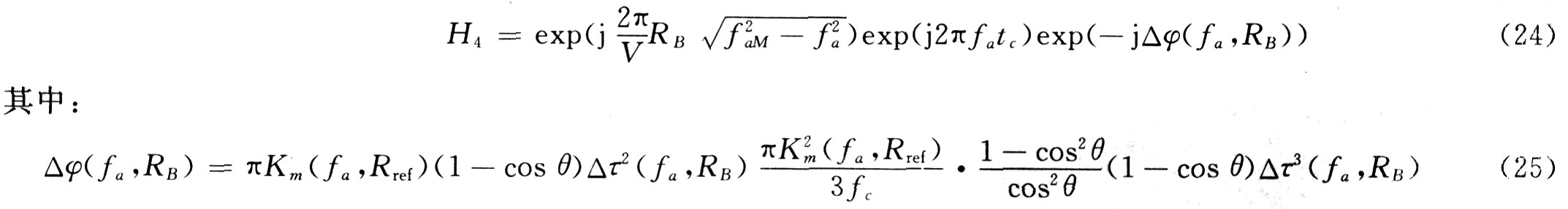
(6)方位压缩、剩余相位补偿
方位压缩与剩余相位误差补偿函数如式(24)所示:

4 误差分析
(1)相位误差随基线长度的变化
将双基地SAR等效为单基地SAR会产生一定的相位误差,该相位误差随基线长度的不同也在发生着变化。固定发射机的斜视角,可以计算得到不同的基线长度,对应着将双基地SAR等效为单基地SAR不同的等效斜距、等效速度、等效斜视角,也就对应着不同的相位误差,图3给出了相位误差随基线长度的变化。
图3中,双基地SAR等效为单基地SAR所产生的相位误差随基线长度的增加而增大,在基线长度达到200 km的时候,所产生的相位误差仍小于π/8。

(2)有效测绘带宽度
NCS算法考虑了相位泰勒级数展开的三次相位项,这也就使得相位泰勒级数近似所产生的相位误差很小,在这里就不作分析。同时NCs算法考虑了调频率随距离的变化,减小了由于调频率近似所产生的相位误差,使得NCS能对大测绘带进行成像处理。式(26)为NCS算法中二次距离压缩项所产生的相位误差:
![]()
双基地SAR测绘带的宽度主要由等效的单基地SAR所决定。图4给出了相位误差随测绘带宽度的变化。若以π/8作为相位误差对成像质量有无影响的临界值,有效的测绘带宽可以达到200 km。

5 仿真买验
为了验证等效单基地距离模型,在大斜视角情况下的对基于GPS反射信号的双基地SAR成像的适用性,采用计算机仿真对上述算法进行了验证,设置斜视角为31.4°,目标分别为(一300,一200),(一300,200),(0,O),(300,-200),(300,200)。如图5分别给出了仿真的场景设置以及仿真结果的二维和三维显示,可见采用等效单基地距离模型能够很好地近似双基地SAR的真实距离历程,它可以将成熟的单基地非线性CS算法直接应用于双基地SAR数据,简化双基地SAR成像过程。表1给出了不同位置点目标的聚焦性能,其中“PSLR”表示峰值副瓣比,“ISLR”为积分副瓣比,单位为dB,表中数据进一步证明了等效单基距离模型的可用性。


6 结 语
在顺轨飞行斜视双基地SAR中,CS算法被认为是比较有效的算法,在正侧视或者斜视角比较小的情况下,Chirp Scaling算法具有较好的聚焦性能和广泛的实用性,但在大测绘带大斜视角情况下该算法将不能很好的聚焦,这里提出了用等效的单基地距离模型来代替双基地距离历史的方法,解决了大斜视角情况下距离模型二阶近似误差较大的问题,并结合单基地非线性CS算法,实现了在大斜视角情况下基于GPS的双基地SAR高精度成像,最后通过Matlab进行了仿真验证。
上一篇:全球信息栅格通信能力建模