时间:2010-01-13 11:05
人气:
作者:admin
如何获得大功率射频信号的真实PA输入阻抗
非理想PA(power amplifier,功率放大器)的输入阻抗是在负载拉移系统中采用源拉移方法测量的,这种方法不存在由测量设备阻抗引起的不准确性。但是,对源和负载调谐器采用多点测量和双端口S参数值的测试方法能够在探针/器件基准面上提取射频信号功率级真正的PA输入阻抗。
随着人们越来越多的关注集成式射频功率应用,对片上元件进行准确的特征分析对于成功实现集成电路设计变得至关重要。尤其对于PA而言,这一问题更加复杂。发送通路最后一级的高功率量级决定了PA的多种特殊属性。其中之一就是它的输入阻抗较低,该阻抗是随着功率量级的变化而变化的。一般地,我们采用负载拉移系统测量片上元件的阻抗,或者其他一些不是50Ω理想阻抗的器件。
在负载拉移系统中,具有最小回波损耗的源阻抗通常被看成是DUT(device undertest,待测器件)的共轭阻抗。如果回波损耗确实在DUT的基准面上,那么使用这种阻抗值是准确的。但是,由于回波功率是在源调谐器基准面上测量的,因此人们采用不同的方法从在调谐器基准面上测得的回波功率中提取或“去嵌入”DUT基准面上的回波频率。与输入和输出功率的功率去嵌入方法不同的是,回波功率去嵌入对相位非常敏感。这使得去嵌入回波损耗只能得到一个近似的结果,只是在调谐器损耗可以忽略时这一结果才是准确的。
分析与方法
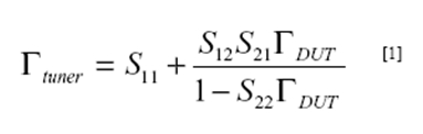
为简化起见,假设在调谐器基准面上有一个理想的(即纯电阻的)50Ω源阻抗。图1给出了源调谐器基准面、DUT输入基准面、DUT输出基准面、Γo、Γtuner、Γs和ΓDUT的基本定义。为叙述方便,我们称源调谐器基准面为“调谐器基准面”,称DUT输入基准面为“DUT基准面”,这里只分析输入通路。

图1中反射系数(Γ)、S端口参数(S)、阻抗(z)和回波损耗(RL)之间的数学关系表达式如下所示:

我们的目标是找到RLtuner和RLDUT之间的关系:
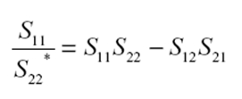
由于

它满足

其中Sij是源调谐器模块的双端口S参数,它连接调谐器基准面和DUT基准面。
经过化简,可得
显然,这是Γtuner幅值和相位的函数。这种相位关系确实有一个消失点,它出现在下列情况下

进一步的分析表明,这一条件等效于理想的匹配网络(即第二端口上的共轭匹配在第一端口上产生50Ω的阻抗)。这一条件在史密斯圆图边缘的高损耗区域不成立,因为带有靠近传动杆中心的内部抽头的调谐器具有较高的损耗。
在测量过程中采用的另一个近似处理是假设回波功率可以忽略。在这种情况下,相位差不存在问题。但是,从负载拉移系统测得的回波损耗的大小通常都较大,足以推翻这一假设。而且,回避损耗会随着功率的变化而变化,因为DUT的阻抗是随着功率的变化而变化的。因此,在整个射频功率量级的扫描范围内,回波损耗不可能保持较低的水平。