时间:2009-12-19 10:23
人气:
作者:admin
AF协作分集中的功率优化分配方案
1 引言
协作通信技术指利用多个不同用户的天线组成虚拟天线阵,从而获得类似MIMO系统的性能增益。通过用户协作来增加系统容量,有AF(Amplify and Forward)和DF(Decoded and Forward)两种协同方式.由协作带来的分集称为协作分集。AF指中继不对接收的信号进行解调和解码,而是直接对其进行模拟处理后放大转发。DF指中继先要对接收到的信号进行解调、解码(如果编码)和判决,然后将判决后的数据进行编码调制再转发。在AF方式下可得到多重分集,分集重数等于参与协作的用户数,利用其他用户的天线形成Alamouti空时码,称为空时码协同。将协同与信道编码相结合即编码协同(Coded Cooperation),其本质是把码字分成数据位和校验位两部分,对冗余校验位进行协同。协同分集仅适用于慢衰落信道。对于快衰落信道,协同分集几乎没有增益。
针对AF模式,在中继端进行功率分配的方法:发送端用一半的功率,所有中继端用另一半的功率且功率平分,但该方法未考虑优化接收端也未考虑各个信道功率因素。在发送端和中继端进行功率平均分配,在接收端进行最大比合并MRC(Maximum Ratio Combiner),方法虽然简单,但性能不是最佳。这里提出在大信噪比条件下,以降低系统的中断概率为目标的一种功率优化分配方案。
2 系统模型
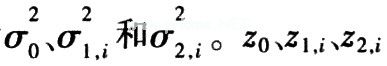
图1为多用户协作分集通信模型。其中,h1.i是Sender(记作S)到Relay(记作R)i的信道,z1,i是噪声。同理,h2,i是Re-lay i到Destination的信道,z2,i是相应的噪声。作如下假设:共有K个中继一发送端一中继,接收端均是单天线。所有终端都是半双工的,即不能同时发送和接收信号。

在第1个时隙,发送端S发送信号x,中继Ri(i ∈1,2,…K)和接收端D接收信号。在第2个时隙,中继Ri将信号放大并前传,S未发送新的信号。h0是S到D的衰落信道,h1,i是S到Ri的信道,h2,i是Ri到D的信道。z0、z1、z2,i是相应信道的加性高斯白噪声。h0、h1,i、h2,i是均值为零且相互独立的复高斯分布随机变量,其方差分别为
是相互独立、均值为零、方差为σ2的复高斯随机变量。
所有K个中继节点均参与协作通信,接收端节点采用最大比和并方式处理接收信号,针对放大转发策略,其瞬时互信息量为:
信号总的发射功率为
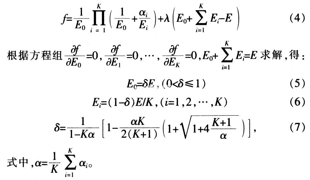
为使中断概率最小,根据拉格朗日乘数法,令:
可看出,当α→0时,δ→1,即当源到中继和中继到接收端的信道增益之比值足够小时,功率都分配在源到接收端的传输,当
可知当源到中继和中继到接收端的信道增益的比值足够大时,功率平均分配。
3 仿真验证
在准静态瑞利平坦衰落信道中仿真.取R=1 bps/Hz,σ2=1。对功率分配效果进行数值计算。为使结果具有一般性,网络节点在3×3的xOy直角坐标系内随机产生如图2,源节点有4个中继节点。根据仿真假设任意源节点到中继节点,中继节点到目的节点间的信道衰落系数分别服从均值为
的瑞利分布,方差与两节点之间距离d0,d1,i,d2,i的关系为:σ20=cd
其中c是与传播环境有关的常数,η是路径损耗指数,其取值一般在2~5之间。不失一般性,仿真中取η=4,c=1。

图3中的中断概率是按式(3)计算的数值结果。作为比较.这里还给出了2种传统算法的中断概率性能曲线。传统算法1将功率在源与所有中继节点间平均分配,而传统算法2则是源占一半功率.所有中继平均分配一半功率。从图3中可看出,在中断概率为10-3dB处,该算法比传统算法1和算法2分别带来3 dB、0.5 dB左右的增益。

图4、图5对不同功率分配因子时的系统中断概率进行仿真。图4为系统中存在4个中继节点且源与中继、中继与接收端之间的距离都相等时的仿真结果。此时取信道平均增益,σ1,i2=σ2,i2=1。图5是针对图2的节点分布情况进行的仿真。从图4可以看到.功率分配因子在大约0.41处是最佳的功率分配方案,而由式(7)可以得到δ≈0.41。从图5可看到,功率分配因子在大约0.7处是最佳的功率分配方案,而由式(7)可得δ≈0.704。


4 结论
针对多中继放大转发协作通信网络提出一种中继节点的改进功率分配策略.在功率一定的条件下,分析了基于AF模式的协作分集的功率优化分配,根据信道平均状态信息对所有潜在的中继节点进行功率的优化分配,从而提高了系统资源的利用率。理论和仿真分析表明,该方案优于两种传统算法。但由于中继端的功率分配涉及整个传输中所有信道和噪声,无论是S→D,还是R→D的传输,显然有更多复杂度。
上一篇:微波通信天线选择与优化方法研究