时间:2009-12-21 16:23
人气:
作者:admin
基于TH-PPM的RFID安全认证
0 引 言
近年来,很多种RFID安全认证的算法和协议(如Hash-Lock协议、分组加密算法)在协议层和算法层上解决RFID系统的安全认证,而这些方法都假设标签和阅读器之间的通信已经被窃听的情况下实现对信息的保护。数字加密算法必然增加标签电路的复杂程度从而增加标签功耗,研究表明运用3 595个与非门构成的AES算法需要8.5μA电流才能驱动,即使减少了加密算法的功耗和成本,加密算法的时延也不可忽视,因为实现加密算法需多次循环计数,且工作在低频时钟下,使得标签和阅读器的大部分通信都浪费在实现加密上。研究证明,实现一个AES算法需要大约995个周期,假设标签的时钟是1 MHz,那么完成AES加密大约需要1μs,而Gen-2标准的标签只有1.6μs的时间来传输128位信息,可见加密算法的时延是很可观的。
为了解决数字加密的缺点,人们提出多种轻量级的安全认证(如HB,HB+,HB++协议)试图降低标签的成本、功耗。在HB协议中,标签和阅读器共享一个密钥x,HB协议的流程为:阅读器产生的一个随机挑战值a,并发送给标签;标签根据a和x的值,通过一系列计算后把结果发给阅读器;阅读器检测结果是否符合规范;如果阅读器对标签发送来的结果验证失败的次数在规定的次数内的话,标签就通过验证。HB协议虽然使电路结构简单化了,但不能抵抗主动攻击,假如攻击者伪装成阅读器,传送一个经过修改的随机挑战值a给标签n次,就能够推测出x的值。
由于HB协议的缺点,很多学者又对其改进产生了HB+协议和HB++协议,还产生了一些新的协议(如Hash-Lock和Hash链协议),但是都是基于Hash运算模块或分组加密算法,没有减少标签安全认证的成本和功耗。
由于加密算法以上缺陷,所以提出基于UWB的RFID安全认证,这种认证是在通信的物理层上实现对RFID系统数据的保护,采用TH-PPM调制。TH-PPM调制解调系统的每个标签采用各自特定的跳时码,只有知道跳时码的接收机才能解调信号。基于UWB的RFID安全认证的优点有:
(1)UWB信号的功率接近信道的噪声功率,很难被窃听;
(2)UWB信号不需要加密,因为每个标签都有不同的跳时码,而跳时码是绝对保密的;
(3)由于基于UWB的RFID安全认证系统没有加密算法的迟延使得通信迟延更短;UWB信号比窄带信号的抗干扰性能更好,不容易阻塞和窃听,且可实现频率复用。
l UWB RFID安全认证系统
1.1 UWB及TH-PPM
根据香农定律,在有噪声干扰的条件下,通信系统的极限传输速率(信道容量)可以用香农公式表示,即:C=Blog(1+SNR)(C为信道容量;B为信号带宽;SNR为信噪比)。由香农公式,在信道容量不变的条件下,信噪比和信号带宽是可以相互置换的,所以当信噪比不变时信道容量和带宽成正比,增加带宽也就增加了信道容量(极限容量内),同时减小了对信噪比的要求,扩频、超宽带等宽带通信系统就来源于此。
UWB信号是指其相对带宽大于0.2,它是利用很窄的脉冲(脉宽一般小于1 ns)来传输数据,而不采用连续的波形,所以信号的带宽很大。窄脉冲一般用高斯多阶微分脉冲、升余弦脉冲、多周期脉冲和脉冲串等,由于高斯多阶微分脉冲易产生,且阶数选得合适可使信号没有直流分量,还能很好地向空中辐射能量(如一阶、二阶微分等),所以最常用。高斯多阶微分的数学表达式为:
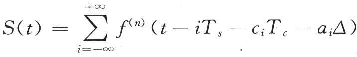
UWB系统有多种脉冲调制方式(TH-PPM,DS-PAM等),由于TH-PPM电路简单,成本低和功耗小,所以可用于UWB RFID系统的调制方式。PPM调制是利用脉冲出现的位置相对于标准位置的偏移量来表示一个特定的符号。TH-PPM是跳时和脉位调制的结合,首先用PN码选择传输码元的时隙(一个周期为2N-1的PN码的跳时,由于伪随机生成器在PN码的一个周期内有2N-1个状态,所以传输一个符号需要2N-1个时隙);然后在PPM调制中用符号来控制脉冲在所选时隙内相对于标准位置的偏移量,TH-PPM信号为:

比如一个二进制的信源,用周期为2N-l的PN码进行跳时,首先根据PN码生成器的状态cj,选择传输PN码的时隙即在位空间偏移ciTc;然后在选择的时隙内,当符号为“0”时,脉冲的位置不发生偏移,当符号为“1”时,在时隙内脉冲的位置偏移ai△,脉冲在位空间的总偏移量就为ciTc+ai△,要求ai△《ciTc(当ci≠0)。
1.2 TH-PPM RFID数据帧结构
TH-PPM RFID的数据帧格式如图1,图中底层为在位空间中一个被随机选择传输符号的时隙,由上分析,位空间只可能有一个时隙才有脉冲,一个时隙内偏移量不同代表不同的符号。由图可见整个数据帧共176 b,分为三个部分:首部、PN序列初态和标签ID。首部由32 b组成,用于标签和读写器的同步。PN序列的初态和标签ID分别由16 b和128 b组成。PN序列的初态传输给阅读器实现伪随机码同步,如果PN码不同步,阅读器就无法对信号进行解扩,无法获得标签信息,所以同步是TH-PPM的关键。

1.3 TH-PPM RFID示签结构
UWB RFID标签的结构如图2所示,主要由能量转换供应电路、PN码生成器、PPM和脉冲成形等模块组成。当标签的能量转换电路收到信号后,将一部分能量转换为标签所需的能量,另一部分通过窄带接收机处理为标签提供时钟;如果标签获得了足够的能量则根据防碰撞算法(在此未加讨论)准备要发送的数据,这时标签的数据帧中的176 b数据经整合后形成一个二进制数据流,以速率Rb=1/Tb输入重复编码器;重复编码器对输入的每个符号重复Ns次编码,将数据流速率提高到Rcd=Ns/Tb=1/Ts(Ts为传输一个符号的位空间),实现对数据的信道编码;然后通过跳时和PPM模块实现对每个脉冲在位空间和时隙的定位,经冲激响应为高斯多阶微分的脉冲成形滤波器后向阅读器发送一个数据帧。以下主要介绍系统中PN码生成器和PPM调制模块。
1.3.1 PN码生成器
PN码生成器的结构采用模件抽头型(MSRG),如图3所示;MSRG型序列生成器的反馈系数由特征多项式f(x)=c0+c1x+c2x2+…+cixi的系数决定,它们的关系是ci=dm-i。MSRG型序列发生器是在两个触发器之间接入一个模2加法器,使得反馈路径上无时延部件,和反馈移位寄存器结构(SSRG)的发生器比较,其反馈支路上没有时延部件,其工作频率为fMSRC=1/(Ti+Ta),而SSRG结构的模2加法器在反馈支路上其工作频率为fSSR=1/(Tt+∑Ta),所以MSRG型结构提高了发生器的工作速率。m序列共产生2m-1种状态,所以跳时编码时一个位空间有2m-1个时隙(m为反馈移位寄存器的级数)。

1.3.2 PPM调制模块
PPM调制可以采用计数器结构产生,但是这种结构耗能大,所用分频器结构如图4所示。

分频器结构PPM调制器由分频器和触发器构成。因为系统选择的是15级的伪随机序列发生器,所以图中共15个模块,每个模块都会对前一模块进行二分频,然后为该模块的触发器提供时钟。每个模块在时钟的驱动下,如果P[i]为‘0’则对输入时延一个时钟周期后输出;如果P[i]为‘1’则时延两个时钟周期输出。15个模块最小延迟215-1个周期(当P[14..0]=00…00),所以数据只有可能被调制在216-1个时隙的后面215-1个时隙上,消除了相邻两个位空间的码间串扰。
2 结 语
文中比较了多种基于算法和协议的RFID安全认证,但这种安全认证方式都会使标签的电路复杂化,不利于集成和降低成本,且标签信息容易泄漏,所以本文提出一种基于UWB的RFID安全认证系统,并对其中的某些重要模块的实现做了研究和仿真。由于篇幅和能力有限,这样的系统还有很多问题需要探讨和研究,比如基于UWB RFID系统的阅读器和标签之间的MAC协议等还需更深入探讨。