时间:2009-11-10 09:54
人气:
作者:admin
多脉冲组合调制超宽带通信性能研究
0 引 言
超宽带技术的主要特点是它的系统结构实现比较简单,设备集成更为简化;高速的数据传输,UWB以非常宽的频率来换取高速的数据传输,在10 m范围内的传输速率可达到500 Mb/s,是实现个人通信和无线局域网的一种理想调制技术。
UWB的调制及多址方式是其中的关键技术之一。调制方案的选择影响信号功率谱密度的结构,如传统调制方式:TH-PPM,TH-BPSK,DS-BPSK等,本文在文献[2]研究多脉冲位置调制的基础上,加入脉冲信号的极性调制,利用扩展等重码(ECWC)构建了一种称为双极性多脉冲位置调制(MPPPM)的UWB跳时调制方案,并对其信号构建、调制做了设计,对其通信性能进行了分析与比较。
1 MPPPM信号模型
1.1 信号形式
MPPPM是一种多脉冲组合调制,它是普通单脉冲PPM和多脉冲PPM的推广,允许每符号间隔有多个脉冲,它应用符号时隙帧中多个脉冲的位置和极性的不同组合传递信息,每个脉冲可以改变它的时隙位置和极性。
L维的MPPPM超宽带跳时信号能被描述成多个脉冲放入到L个时隙中,在一个符号时间内的间隔是Ts=Nb×L×Tm,此时Nh是一个信号符号的每比特重复次数,Tm为脉冲响应的时间间隔。明显地,把ω(l<ω

调制信号采用了二次重复编码,分别表示(-1 0+1 0)和(0-1-1 0)两个码字。
1.2 信号通信系统结构
图2给出在结合多进制PPM和BPSK的TH-WUB中,UWB信号的发射方案。

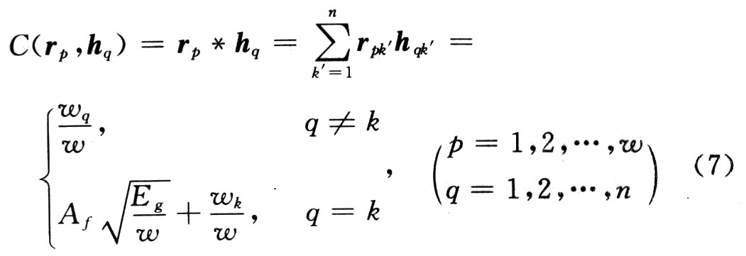
结合该模型,MPPPM跳时UWB信号的生成接收过程如下:给定待发送的L(假定L=2wCwn)进制序列B=(…,B0,B1…,Bi…),其速率为RB=1/TB。图2中的重复编码器模块使每一位重复Ns次,产生1个新的L进制序列B=(…,a0,a1,…,ai,…),新的波特速率Ra=Ns/TB=1/Ts。这一过程属于信道编码,引入冗余有助于降低接收端的误码率。新序列a进入第2个模块ECWC编码器,序列a被映射为ECWC编码,生成ECWC序列b=(…,b0,b1,…,bi,…),其中,bi为扩展等重码C(n,d,w)的相应码字。映射信号b通过发送编码器,应用跳时码序列c=(…,C0,C1,…,Cj,…)产生1个新序列d,序列d的一般元素可表示为:

式中:bjk为第J个扩展等重码码字中的第k个元素;cj为序列c中的第j个元素,c通常为伪随机序列,是分配给用户的跳时码。上述过程实现了码分多址编码,并对发射信号的频谱产生影响。序列d进入的第4个模块是MPPPM调制模块,该模块产生单位脉冲序列,并且这些脉冲被调制到时间轴上的位置为jTs+djk(0≤k≤n-1)。其中,Ts为符号时间。信道前的最后1个模块是冲激响应为P(t)的脉冲形成滤波器,保证输出序列没有重叠。系统在信道前的发送信号为:
2 MPPPM的信号数据速率和AWGN信道下的误码率
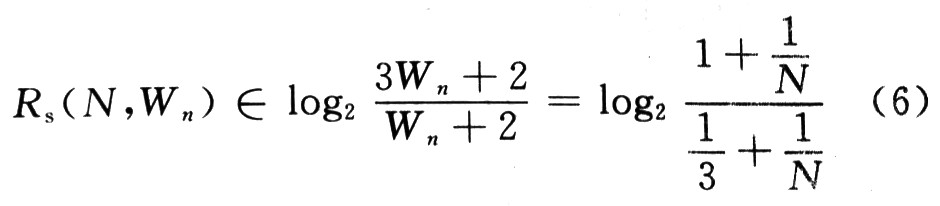
2.1 理想信道下的信号数据速率
MPPPM的特性可以表示成在N个时隙下W个脉冲向量,向量的值为+1或者-1,其余的N-W个时隙中为0。这向量可以表示的个数为:

因此,每一个时隙中代表的数据速率为:

从文献[4]中可以得到在最大数据速率情况下的N和W的关系为:


2. 2 AWGN信道下MPPPM的误码率
为了简化分析,假设系统在同一时刻只有一个用户,高斯白噪声信道是一的信号干扰。假设Tc/n≥Tm,这样能够避免相邻脉冲之间的重叠,使各个脉冲之间满足信号的正交性,基于上述假设来研究MPPPM信号的误码率。
假设hq(1≤q≤n)表示第q位基本信号矢量,表达式为[0,0,…,1,…0],其中1在该矢量的第q维,假设发送信号为Sl,接收机根据信号之间的最小欧几里得距离进行判决;

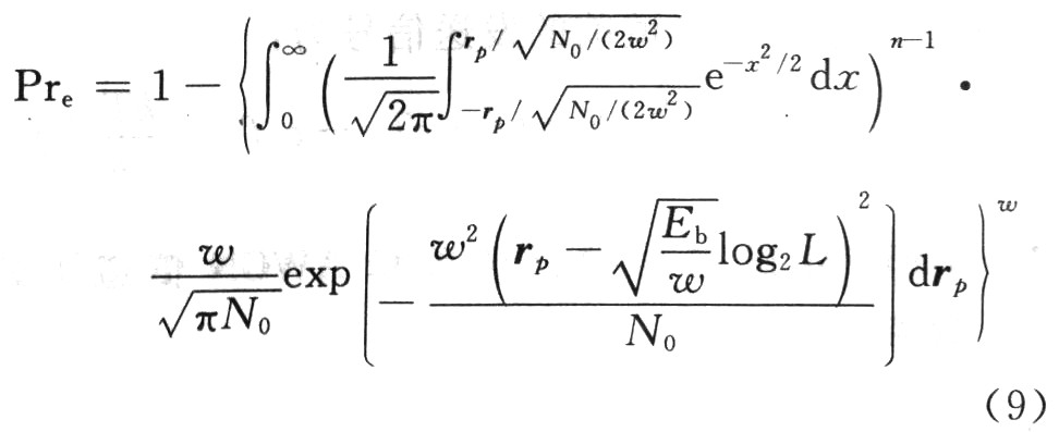
假设脉冲重复次数1,得到解调信号为:

根据文献[8,9]的方法,推导出MPPPM的误码率为:

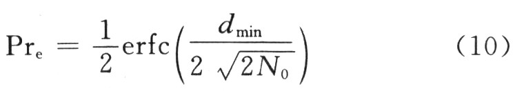
由于式(9)的误码率表达式很复杂,所以下面推导该误码率的上限表达式。两个信号欧几里得距离最短的情况是导致了误码率产生的主要因素,当信噪比很高的情况下,误码率的表达式可以表示如下:

这里dmin是任意一对调制信号的最小欧几里得距离,能够表示为:

在理想状态下,所有的向量个数2wCwn都能被使用,但是由于最小汉明距离与更低误码率的关系,最小汉明距离越大,信号的误码率越低,只能选取其中一些有较大汉明距离的向量来使用。在这种情况下,这里MPPPM的最小欧几里得距离表示成:

式中;n,w分别为构建L进制MPPPM所选用的扩展等重码的参数;n为发射接收信号矢量的维度;w为所使用的脉冲数。
3 数值比较结果
L—ary—SPPM,MPPPM的误码率随信噪比的变化曲线如图3所示,仿真参数设定为L=[2,4,8],n=[2,2,3],w=2。由图可知,L进制SPPM和L进制MPPPM的性能有所提高。另外,L进制MPPPM的误码率比相应的L进制PPM低,只有2一PPlc’M的性能比8一SPPM的性能差些。

4 结 语
本文利用扩展等重码构建了一种称为双极性多脉冲位置调制(MPPPM)的UWB跳时调制方案,对其通信性能进行了分析与比较。结果表明,在一定的条件下,MPPPM调制技术能以较高的数据速率和较低的误码率得到比多脉冲位置调制和单脉冲多位置调制更好的性能。
上一篇:数字调谐滤波器原理及方案