时间:2009-06-29 11:04
人气:
作者:admin
双离谐平衡鉴频器电路

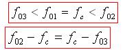
双离谐平衡鉴频器电路如图7-33所示,有三个调谐回路,它们的谐振频率分别满足:

且:
原理:双离谐平衡鉴频器的输出是取两个带通响应之差,即该鉴频器的传输特性或鉴频特性,如图7-35中的实线所示。其中虚线为两回路的谐振曲线。从图看出,它可获得较好的线性响应,失真较小,灵敏度也高于单回路鉴频器。
不足:不容易调整
上一篇:微分鉴频电路
下一篇:互感耦合相位鉴频器电路