时间:2009-05-15 22:23
人气:
作者:admin
1 引 言
在无线电测量中,经常需要测量设备或网络的频率特性,矢量网络分析仪用于测量二端口线性非时变网络的频率特性,包括幅频响应和相频响应。频率特性测量的关键是产生频率步进的信号源,该信号源的频率、幅度及相位应能精确测定。以往的扫频信号源大多是基于压控振荡器(VCO)、函数发生器及锁相环(PLL)技术。这些技术存在转换频率时间长、频率精度不高、硬件耗费比较大等问题。随着超大规模集成电路的迅速发展,由单片微处理机和直接数字频率合成(DDS)芯片为核心构成的DDS扫频信号源应运而生。与其它频率合成方法相比较,DDS技术的主要优点是:分辨率高;频率转换速度快;频率切换时相位保持连续;合成频率准确;全数字化控制,可与微处理器接口。DDS对信号质量的改善在于其系统的相位噪声主要取决于参考时钟振荡器,基本不受系统其他部分的影响。现在,DDS技术已经广泛应用于本振、信号发生器、仪器、通信、雷达等系统。
2 直接数字频率合成(DDS)技术
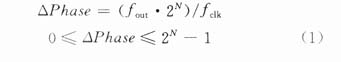
直接数字频率合成DDS(Direct DigitalSynthesis),是一种新颖的频率合成技术。这种技术的实现依赖于高速数字电路的产生,目前,其工作速度主要受D/A变换器的限制。DDS技术就是利用正弦信号的相位与时间呈线性关系的特性,通过查表的方式得到信号的瞬时幅值,从而实现频率合成。为了输出一定频率的信号,在每一个时钟周期中,存储在频率/相位字寄存器中的相位增量值ΔPhase被送到相位累加器中,输出的结果送入正弦、余弦函数表中,通过查询将相位信息转换为对应的正弦幅度值,产生数字化正弦信号。相位增量值ΔPhase与输出信号频率fout和fc参考时钟频率之间的关系为

式中,N是相位累加器的字长。由公式(1)知,相位增量值ΔPhase与输出信号频率fout成正比。
由取样定理,DDS所产生的信号频率不能超过时钟频率的一半,在实际运用中,为了保证信号的输出质量,输出频率不要高于时钟频率的33%,以避免混叠或谐波落入有用输出频带内。
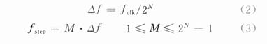
扫频信号源频率分辨率fstep直接取决于DDS的频率分辨率Δf,计算公式如下


本仪器扫频范围为1mHz~2MHz,采用美国AD公司的DDS芯片AD9850,用单片机作控制器,实现频率的合成与控制。AD9850芯片内包括一个32位相位累加器,一个正弦和余弦查询表,和一个10位高速数模转换器,核心是相位累加器。该芯片最高时钟参考频率为125MHz,对于该频率,输出正弦波的频率精度为0.0291Hz;控制接口简单,可以用8位并行接口或串行接口输入控制数据;40位控制字,其中32位频率控制字,5位相位控制字,1位电源休眠功能,2位厂家保留测试功能;允许输出相位以180°、90°、45°、22.5°、11.25°或者这些相位的组合为增量而改变;先进的CMOS工艺不仅使AD9850性能优异,而且功耗小,+3.3V供电时,功耗仅为155mW;接上精密时钟源,AD9850可产生频谱纯净,频率、相位编程控制的模拟正弦波输出。
采用单片微处理机对DDS进行控制,构成扫频信号源的电路非常简捷,其电路方框图见图2。

该电路由单片微处理机(CPU)、DDS、参考时钟、低通滤波器(LPF)和宽带放大电路组成。低通滤波器是扫频信号源中一关键器件,负责滤除输出信号中所含有的高频杂散信号和谐波信号。DDS的输出杂散有三个主要来源:N比特相位累加器只输出高M位对ROM进行寻址;ROM存储的幅值编码仅为有限位;DAC的有限分辨率和非线性特性;DDS的输出包括基本脉冲谐波谱,出现在下列位置:
Kfclk±fout K=1,2,3LL
笔者设计的是1mHz~2MHz低频矢量网络分析仪,输出最高频率是2MHz,采用了50MHz的参考时钟,使谐波信号频率远离输出信号频率,减小对低通滤波器的要求。笔者设计了一7阶椭圆滤波器,取得了较好的效果。宽带放大器选用低噪声的运放,对DDS输出的信号进行放大,以达到扫频信号源的要求。
利用单片微处理机可以对DDS的逻辑和输出信号进行实时控制,笔者选用Intel公司生产的MCS-51系列芯片AT89C51。AD9850的CS信号,由地址译码得到,W-CLK和FQ-UD信号直接由89C51的P1口给出。在程序中,需严格按照AD9850的时序要求。其软件流程图如图3(以并行接口方式为例)所示。

图3中,AD9850初始化是DDS芯片的复位,复位后除输入寄存器以外的寄存器清零,输出变成高阻,复位脉冲的高电平至少保持5个时钟周期。控制字定义是否相位调制、低功耗选择和置数模式。相位增量值由公式(1)计算得出。
DDS是近几年出现的新一代频率合成技术,笔者有几点建议供实际运用时参考:在程序设计中要注意DDS的时序要求,正确送出逻辑控制字、相位增量值;DDS是超大规模CMOS器件,对时钟信号的质量要求比较高,时钟信号的上升沿和下降沿应无大的尖峰和凹坑,时钟信号用地线屏蔽;给AD9850的时钟信号不能低于1MHz,低于1MHz时,芯片自动进入电源休眠方式,高于此频率时,系统恢复正常;要考虑良好的去耦电路,去耦电容尽可能靠近器件,注意良好接地,模拟地、数字地分开。
4 结束语
本文介绍直接数字频率合成(DDS)技术的基本原理,并给出了一种用DDS实现低频矢量网络分析仪中扫频信号源的系统构成和实现方法。直接数字频率合成(DDS)技术有很多优点,如:DDS的输出稳定度取决于时钟源的稳定度;DDS是个开环系统,无反馈环节,其频率合成时间主要决定于输出端低通滤波器的延迟时间,适用于需频率捷变的场合;DDS可实现mHz的频率分辨率;DDS的信号输出是一个平稳变化的过程,其连续的相位是其他频率合成所不具有的。DDS的诸多优点很好地满足了扫频信号源的要求,但它也存在一定的缺点,如:输出频谱杂散较大;另外,输出受限于器件的工作频率。本课题1mHz~2MHz低频矢量网络分析仪应用AD9850于扫频信号源,取得了良好的效果,达到了预期的目标。
参考文献