全球最实用的IT互联网信息网站!

AI人工智能P2P分享&下载搜索网页发布信息网站地图

当前位置:诺佳网 > 电子/半导体 > 通信网络 >

一种实用的压力传感器测量电路

时间:2009-05-17 12:48

人气:

作者:admin

标签: 传感器 

导读:一种实用的压力传感器测量电路-介绍了扩散硅压力变送器这种实用电阻有源惠斯登全电桥传感器电路,定性分析了其电路原理,定量分析了零点/量程的调整及迁移、输出信号反馈方式等...
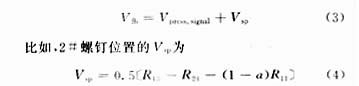
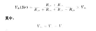
介绍了扩散硅压力变送器这种实用电阻有源惠斯登全电桥传感器电路,定性分析了其电路原理,定量分析了零点/量程的调整及迁移、输出信号反馈方式等技术措施和性能。 关键词:传感器,测量电路,电桥,零点,量程   采用电桥构成测量差压的传感器电路,是一种具有较高灵敏度的测量方法。扩散硅变送器主要就是电阻有源惠斯登全电桥压力测量电路。它能在达到较高精度和稳定性的前提下,使变送器具有较强的实用性,如零点/量程的调整和迁移方便快速。但是,一些文献[1,2]对扩散硅电桥传感器的介绍过于简单,仅限于定性分析。本文将定量分析扩散硅传感器测量电路中采用的零点/量程调整、输出信号的反馈稳定等技术措施。       1 传感器电桥工作原理 传感器测量电路如图1所示。无差压时,电桥两臂电流相等。差压信号加到四个硅压敏电阻上,压敏电阻的阻值随差压而变化,引起电桥不平衡。电桥输出电压馈入放大器A1。A1的输出电压通过晶体管Q8改变输出电流I0的大小。I0流过电桥的电阻反馈网络,使电桥恢复平衡。这样,电桥输出电压的变化与差压变化成对应比例关系。从而将差压的变化直接转换成电信号。 2 定量分析和计算 2.1 测量电路和量程调整 图2是包括零点及量程调整电路、反馈电阻网络和差压传感电桥的测量电路。恒流源I0表示输出电流。四个桥臂电阻是R1S、R3S、R4S和R6S。当被测的正压力增加时,R1S和R6S阻值减小,R3S和R4S阻值增加,电桥的输出信号VBr负向增加。这个VBr对应于被测压力变化值的电压偏差信号。经过测量电路中负反馈电阻网络的作用,VBr信号将保持非常接近于零。 基本反馈电压公式是
    Vfb=V1-V2=IO1[aR2+R1] 对应于传感器的量程上限压力,压敏电阻和电桥给出最大变化和最大不平衡。此时,为了保持VBr接近于零,需要最大的反馈电压值。当式(1)中a=1,IO2=0时,Vfb值最大,传感器得到最大的测量范围。量程粗调螺钉处于A位而R2滑动头处于最下部时,就满足以上要求。而当a=0,IO2最大时,测量范围最窄,这种情况是三颗粗调螺钉同时处于B、C、D位置,而R2滑动头又处于最上部。通过R2滑动头和粗调螺钉其他位置的组合,可获得中间的测量范围。R2有充分的调节范围,以便在由量程调整粗调螺钉对应不同的粗调范围之间提供重叠。       电桥输出处得到反馈电压Vfb的分量为 2.2 零点调整和迁移电路 图3是基本电桥电路加上迁移±100%的电路。电桥两侧中间各插入一个1000Ω的电阻串。这串电阻有六个电压输出点以提供所需的零点调节范围。即:     VBr=Vpress.signal-Vfb+Vsp    (2) 由于Vfb近似等于零,于是有     式中,a由调零电位器R11上滑动触点的位置决定。从公式(4)可以看到,调零电位器和螺钉的不同位置对应于不同的Vsp,这就是输出零点能够被调整的原因。调零电位器处于上端时,a=1,Vsp最大。螺钉提供零位粗调,调零电位器提供零位细调。   参考文献   1 王家桢,王俊杰.传感器与变送器.北京:清华大学出版社,1996,8:85~86 2 强锡富.传感器.北京:机械工业出版社,1998,8:44~46
温馨提示:以上内容整理于网络,仅供参考,如果对您有帮助,留下您的阅读感言吧!
相关阅读
本类排行
相关标签
本类推荐

CPU | 内存 | 硬盘 | 显卡 | 显示器 | 主板 | 电源 | 键鼠 | 网站地图

Copyright © 2025-2035 诺佳网 版权所有 备案号:赣ICP备2025066733号
本站资料均来源互联网收集整理,作品版权归作者所有,如果侵犯了您的版权,请跟我们联系。

关注微信