时间:2009-05-22 20:19
人气:
作者:admin
【摘 要】采用全能OrCAD混合电路仿真Pspice A/DV9软件,对OKI(900)型手机信号发射电路中的鉴相器进行了噪声仿真。
关键词:电子噪声 仿真分析 鉴相器
本文采用了OrCAD公司2000年3月推出的全能OrCAD混合电路仿真Pspice A/DV9软件,对OKI(900)型手机信号发射电路中的鉴相器进行了噪声仿真,通过分析仿真结果,对电路噪声的特点有了更充分的了解,需要提到的是:Pspice A/DV9功能强大,它不仅可对电路进行噪声仿真,也可对电路进行直流扫描分析、交流扫描分析、暂态分析和温度分析等等,电路设计者若掌握这一利器,将有助于提高电路设计效率。
1 噪声的产生
在电子电路中,噪声主要来自两个方面:
(1)电阻热噪声是由内部自由电子的热运动产生的。自由电子在热运动中经常相互碰撞,其运动速度的大小和方向都是不规则的,温度越高,运动越剧烈。自由电子的这种热运动在半导体内形成非常微弱的电流,这种杂乱起伏的状态称为起伏噪声电流。起伏噪声电流流过电阻就会在其两端产生起伏噪声电压。
由于起伏噪声电压的变化是不规则的,其瞬间振幅和瞬时相位是随机的,所以无法计算其瞬时值,起伏噪声电压的平均值为零,噪声电压是不规则地偏离此平均值而起伏变化的,但起伏噪声电压的均方值是确定的,可以用功率计测量出来。实验发现,在整个无线电频段内,当温度一定时,单位电阻上所消耗的平均功率在单位频带内几乎是一个常数,对照白光内包含所有可见光波长这一现象,人们把这种在整个无线电频段内具有均匀频谱的起伏噪声称为白噪声。
(2)晶体管噪声
晶体管的噪声主要有热噪声、散热噪声、分配噪声和闪烁噪声等。其中热噪声和散热噪声是白噪声,其余为有色噪声。
热噪声:在晶体管中,电子不规则的热运动会产生热噪声,它主要存在于基极电阻内,发射极和集电极的热噪声一般很小,可以忽略。
散热噪声:由于少数载流子通过PN结注入基区时,即使在电流工作情况下,其数量也是随机的,即单位时间输入基区的载流子数目不同,因而到达集电极的载流子数目也不同,由此引起的噪声称为散热噪声。散热噪声具体表现为发射极电流以及集电极电流的起伏现象。
分配噪声:在晶体管中,通过发射结的非平衡载流子大部分到达集电结,形成集电极电流。这两部分电流的分配比例是随机的,从而造成集电极电流在静态值上下起伏变化,产生噪声,这就是分配噪声。
分配噪声实际上也是一种散热噪声,但它的功率谱密度是随频率变化的,频率越高,噪声越大。
闪烁噪声:产生这种噪声的机理目前还不甚明确,一般认为是由于晶体管表面清洁处理不好或缺陷引起的,其特点是频谱集中在约1kHz以下的低频范围,且功率谱密度随频率降低而增大,在高频工作时,可以忽略闪烁噪声。
2 鉴相器的原理分析
鉴相器是一个相位比较装置,用来检测输入信号的相位ui(t)与反馈信号相位uo(t),它的输出是与uo(t)成函数关系的误差信号
![]()
这个误差信号的特点可以是多种多样的,有正弦特性、三角特性、锯齿特性等等。本文用的是正弦特性,它由模拟相乘器和低通滤波器(LPF)串接而成,如图1所示。

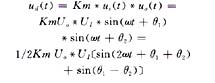
设相乘器的相乘系数为Km〔单位为1/V〕,输入信号ui(t)与反馈信号uo(t)经相乘作用:

经过低通滤波器(LPF),滤除2ω成分之后,得到误差电压:
![]()
相器的鉴相特性为:
ud(t)=Ud*sinθe

3 鉴相器的噪声仿真
本文采用Pspice A/DV9软件对鉴相器进行了噪声仿真,具体步骤如下。
(1)绘出电路图,设置交流参数。
·建立项目文件,使用Pspice\NewSimulationProfile选项,在Simulation对话框中输入所仿真的电路文件名。
·在Simulation Setting下拉菜单中选择ACSweep项,执行交流分析。
·设置Noise Analysis栏内各噪声分析的参数,设置内容如下:
Enable:噪声分析功能,用鼠标打勾。
Output Voltage:指定对此输出电压节点或两节点之间电压差执行噪声分析,现设置为Vo(Vo)。
I/VSource:指定等效输入噪声源,其实就是将各文件的噪声以均方根的形式合并到该信号源上,本文取VS·RC。
Internal:设置文字输出档间隔频率数,若不设置或设置为0,则不会产生输出记录。
(2)存档并执行Pspice。
·用File\Save存档。
·单击Pspice\Run功能来启动Pspice执行仿真,屏幕会自动打开Probe窗口。
(3)使用Probe观察结果。
·使用Probe空图的Trace\Add Trace的选项上,打开Add\Trace对话框,选择V(ONOISE),并调整横轴坐标范围,观察等效输出噪声的频谱分布图(见图3)。

·从图(3)的输出噪声频谱图中可明显看出:在高频时,曲线下弯,也就是噪声振幅变小,若在低频时,噪声曲线稍高,这说明该电路在低频时更易受噪声干扰,电路中各元件受噪声干扰的数值可参见Probe所产生的输出文本文件的内容。
本文仅对鉴相器电路进行了噪声分析,用同样的方法,还可对该电路进行直流扫描分析、暂态分析和温度分析等等。鉴于篇幅关系,这里不再一一叙述。