Abstract: Residual phase noise from local oscillat
ors (LO)
can be degr
aded by addi
tive noise of on-chip local oscillator drive
rs/buffers in in
tegrated circuit mixers. Reciprocal mixing of strong
RF signals with the LO noise degrades the receiver sensitivity. Specif
ication and evaluation of the LO noise degradation in integrated mixers will enable a system designer to compute the loss of sensitivity in the receiver.
Introduction
Cellular base station receivers work in the presence of high level blockers/interferers while being required to sense weak signals of interest at the antenna. The interferers are usually rejected by filters but only at an intermediate frequency (IF) after the first downconversion. The LNA and mixer preceding the IF filters are required to have high
linearity (IP3) and low Noise Figure (NF).
A typical base station receiver featuring
simplified blocks is shown in Figure 1. The receiver starts with the antenna featuring a tower-top very high-Q cavity-tuned filter, and an LNA located close to the antenna. A long coaxial cable connects the received signal to the transceiver. The transceiver unit has a cascade of LNA, low-noise mixer, SAW filters and IF amplifiers, le
ading to an
analog-to-digital converter (
ADC). The first mixer performs a conversion down to a typical IF of 70MHz–100MHz (C
DMA 800/GSM 900) or 200MHz–300MHz (GSM 1800/GSM 1900/UMTS).

Figure 1. B
asic blocks of a cellular base station receiver.
The linearity and noise requirements of the mixer blocks are usually met by passive
diode-ring mixers requiring > 17dBm drive into the LO port (Figure 2). These base station mixers are discrete designs or hybrid modules driven by external 50Ω buffer amplifiers. Therefore, it is possible to filter the local oscillator residual noise before applying to the mixer. In an IC implementation, care has to be taken to specify and design the local oscillator driver noise to meet the system requirements. Filtering can be performed at the input to the chip at a lower oscillator level to limit the noise to kT. The LO phase-noise floor is degraded by the buffer amplifier. In the presence of large blocking signals, the receiver noise increases due to reciprocal mixing of the LO noise with the strong interferers.

Figure 2. Discrete passive level 17 base station receive mixer with LO filtering.
Mixer Noise Model
Thermal noise is the most commonly specified and measured noise in receive mixers. It describes the noise performance of a mixer that has a 50Ω matched RF input port with a noise power density of -174dBm/Hz (kTo). The input-referred thermal noise is determined from the noise figure (10log10F) specification of a mixer.

where
k = Boltzman's Constant (1.381 x 10-23 J/K),
To = Absolute Temperature (290K),
and
F = Noise Factor of the mixer.
Reciprocal mixing happens in the presence of a strong RF signal at the RF port. This is an additional noise not
accounted for during NF measurements. Reciprocally mixed noise Nrmi referred to the input can be evaluated at a specific blocker level Sbl. Given an LO noise floor

into the mixer and a bandwidth B, reciprocally mixed noise at IF is
The phase noise is assumed flat if the interferer frequency offset is a sufficiently large offset from the desired signal. These two noise sources are independent and can be summed up as illustrated by Figure 4. The signal-to-noise ratio degradation from input to output in the presence of blockers can be expressed as
Specification of LO Noise
Based on the required carrier-to-interference ratio (C/I) at the output of the mixer, the input blocker level (Sbl), the desired signal level (
Sdes) and the receiver noise bandwidth (B), the required LO noise performance in dBc/Hz (

) can be estimated. For GSM basestations the worst case blocker (Sbl) is -13dBm specified for offsets greater than 3MHz. The desired signal sensitivity is -101dBm under blocking conditions. The bandwidth 'B' for GSM system is 200kHz.

The phase-noise floor

works out to -151dBc/Hz for a GSM basestation requiring a C/I ratio of 10. The actual phase noise should be adB or so better to account for the degradation due to the front-end thermal noise. The mobile station has a less stringent blocker specification leading to

= -138dBc/Hz.

Figure 3. Typical integrated circuit base station receive mixer incorporating LO buffer and g
ain function at IF.
Effective Noise Floor of LO Driver
Equations 1 and 2 when
substituted into 3, describes the effect of the LO noise floor,

(in dBc/Hz) on the signal-to-noise ratio of the receiver. High linearity mixers typically require high LO drive levels and the noise floor of amplifiers can increase by an order of magnitude. Since reciprocal mixing impresses the LO noise at the IF port as defined by Equation 2, it is possible to measure the noise floor of the LO driver by measurements at IF. A set-up shown in Figure 5 can be used to measure the mixer noise under blocking conditions. The noise floor is measured under no signal and then under blocking conditions. The Nbl is composed of output thermal noise floor, Ntho and output reciprocal mixing noise, Nrmo altered by the SAW filter and IF amplifier. Ntho is determined from small signal noise (F) and gain (G) measurements.
Nrmo can be separated out of Nbl and the

(dBc/Hz) of the integrated LO driver can be computed. Specifying the effective noise floor of integrated circuit mixers helps the system designer estimate the degradation of the Signal-to-Noise ratio (SNR) from Equation 3.

Figure 4. Representation of mixer noise as a sum of thermal and reciprocal mixing noise.
Calculation Example
MAX9993 is an active mixer designed for PCS/
DCS/UMTS (1.7G–2.2G) applications. It has a typical gain of 8.5dB, an NF of 9.5dB, an IIP3 = 23.5dBm, a P1dB = 13.0dBm, operating with a local oscillator drive PLO between 0 and 6dBm . The input referred thermal noise, Nthi is -174 + 9.5 = -164.5dBm/Hz and the output thermal noise floor, Ntho is -174 + 9.5 + 8.5 = -156 dBm/Hz. The operating frequencies in this example are fIF=190MHz , fLO = 1800MHz and fRF = 1990MHz. Injecting a 5dBm blocker offset 25MHz from fRF (fbl=2015MHz) and using a 190MHz IF Filter (SAWTEK 855770) to reject the blocker at 215MHz, Nbl is measured at -127dBm/Hz with an Agilent E4404B spectrum analyzer. Without the blocker the noise floor of the set-up is measured at Ntho = -134dBm/Hz. The IF amplifier used in the set-up has a gain of is 29.5dB and NF of 2.5dB. The measured Ntho agrees with the calculation using the gain and NF of the blocks in the experimental set-up.

Figure 5. Experimental set-up to measure noise under blocking conditions and deducing

.

Figure 6. Local oscillator noise (

) indBc/Hz versus input local oscillator drive power into MAX9982 as a function of temperature.
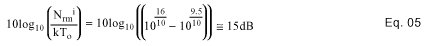
The increase in noise floor in the presence of a blocker is attributed to the degradation in signal-to-noise ratio output of the mixer from Ntho to Nbl. The noise floor (Nbl) measured by the spectrum analyzer has noise contributions from thermal, reciprocal mixing noise, SAW and IF amplifier. The mixer's effective NF is increased from 9.5dB to 16dB for cascaded block analysis to account for the measured total output noise power. From the composite noise (Nbl), the reciprocally mixed noise Nrmi can be extracted by using the Equations developed in the mixer noise section. The signal-to-noise degradation represented in Equation 3 is 16dB. Solving for Nrmi in Equation 3 results in

The input-referred reciprocal mixing noise Nrmi = 15dBm/Hz - 174dBm/Hz = -159dBm/Hz. Since a 5dBm blocker is used,

is -164dBc/Hz. This is well below the GSM requirement of -151dBc/Hz.
The LO noise defined as a signal-to-noise ratio (dBc/Hz) varies with the LO drive as the drive signal is limited by the LO buffers. This is illustrated in a second example.
The MAX9982 is a cellular CDMA/GSM band (825MHz–915MHz) high-linearity mixer with an input IP3 > 26dBm, a gain of 3dB and an NF = 11dB. This mixer is capable of operating with an LO drive ranging from -5dBm to +5dBm. Most of the specifications are invariant with the drive signal. Figure 6 shows a plot of

(dBc/Hz) as a function of the drive-level. The set-up used for this measurement is identical to the one in Figure 5. A 86.6MHz GSM IF filter from SAWTEK (854823) is used to attenuate the blocker signal at the IF (5dBm at the DUT).
Conclusions
The role of the local oscillator buffer amplifier noise in a base station IC mixer design specification has been discussed in this article. Using a simple noise model, the reciprocal mixing component can be extracted from the total noise under blocking conditions. The LO noise of the internal buffer amplifier of two integrated circuit basestation mixers has been characterized by measurement of the total output noise under blocking conditions. This data can be used to compute the loss of receiver sensitivity under blocking conditions.
References
- Frequency Mixers Level 17. Available www.minicircuits.com.
- H. Wohlmuth and W. Simburger, "A High IP3 RF Receiver Chip Set for Mobile Radio Base Stations upto 2GHz," IEEE JSSC, July 2001.
- H. J. Yoo and J. H. Kim, "The Receiver Noise Equation: A Method for System Level Design of an RF Receiver," Microwave Journal, August 2002, pp. 20-34.
- E. Ngompe, "Computing the LO Noise requirements in a GSM receiver", Applied Microwave and Wireless, pp.54-58.
- Draft GSM 05.05 V8.1.0, European Telecommunications Standard Institute, pg 29, Nov 1999.
- J. Lin et al, "A silicon MMIC active balun/buffer amplifier with high linearity and low residual phase noise," 2000 IEEE MTT-S Digest.
- R. G. Meyer and A. K. Wong, "Blocking and Desensitization in RF Amplifiers," IEEE JSSC, August 1995.
- Maxim Integrated Products, MAX9981, MAX9982, MAX9993.
A similar version of this article appeared in the April 2003 edition of Microwave Journal.