时间:2009-03-01 19:12
人气:
作者:admin
WVD和STFT的定义及变换原理
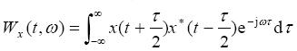
WVD是广泛用于非平稳信号分析的一种时频分布,其定义为
WVD可以看作是信号时间自相关函数的傅里叶变换,由于它是信号的二次时频,所以对于多分量信号必然存在交叉干扰项。目前已有的许多时频分析方法,基本都是在多分量交叉干扰项抑制和保持信号时频聚集性之间进行折中。实际上即使是单分量信号,WVD也存在自身干扰项。考察信号

STFT是信号的线性表示,本身不存在交叉项的干扰,适用于多分量信号分析,其分辨性能很大程度依赖于窗函数类型及窗宽的选择。实际中被考察信号一般都是非平稳的,但STFT假定在窗函数宽度内信号近似平稳,其窗函数类型通常选择低通型窗函数,如高斯窗,汉宁窗等。当窗函数一旦选定,其时频聚集性也就随之确定。根据不确定原理,窗函数时宽和带宽不可能同时达到任意小,因此其时频聚集性不佳,如图2所示。

图1 WVD信号时频分布 图2 STFT信号时频分布
由图1、2可以看出,对于非平稳信号,STFT无自身干扰项,但聚集性较差,而WVD的聚集性较好,但存在的自身干扰项已经使信号本身无法清晰分辨。改进非平稳信号的分析方法
上一篇:神经网络分类