时间:2009-03-11 11:58
人气:
作者:admin
无线传感器网络在智能交通中应用的有着巨大前景,在道路交通中,传感网又有其特殊的网络拓扑结构,带状的拓扑结构。本文结合无线传感器网络的特点,研究适合带状拓扑结构的易实现的网络路由协议。
1 网络结构及路由分析
现有的路由技术的局限性使其不能直接用于传感器网络,而针对移动Ad Hoc网络设计的组网和通信协议一般也不适合于传感器网络。其重要原因之一是其扩展性的要求不同,移动Ad Hoc网络相对节点的移动性来讲,扩展性问题并不十分突出;而传感器网络要求支持大规模网络,节点的移动性较弱甚至没有,主要问题变为如何延长网络的生存时间。这决定了两种网络有不同的优化目标。因此,有必要针对交通示范工程中交通信息数据采集、传输等特点,研究传感器网络路由协议,重点解决提高扩展性、低功耗、适应网络拓扑结构的变化等问题。
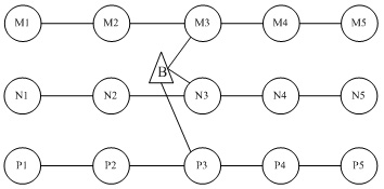
带状拓扑的网络,如图1,网络呈树型链状结构,借用分级网络[1]的概念,将网络分为两层,底层是传感器节点采集环境参数,高层是网络的汇聚节点,或是本地区小网络的管理中心,汇聚本地区的信息经数据融合后传至更高层的网络。由于带状网络的特殊性,按地理位置将底层网络分为多个簇,合理的簇结构是按链的方向分簇,并不指定簇头,所以底层网络也可称为无簇头的分级网络。正常情况下,不同簇间节点互不通信,所有节点的采集信息经本簇节点传送至上层网络。

图1 带状结构的网络拓扑图
如图1中,将底层分为M、N、P三个簇,簇内成员数可以在带状区域任意扩展。上层网络节点B可以高速移动[2]。
这样一个带状结构的网络,路由建立与维护都有其特殊性。由于底层节点无需移动,或在某一范围缓慢移动,其目的是将采集的信息传至上层移动的节点。所以底层网络路由采用表驱动方式。由上层网络节点来建立整个网络的路由,但维护路由的任务却由本地节点来完成。
2 带状网络结构路由协议
2.1 路由建立
路由建立过程的思想是,由上层节点在全网范围内广播路由请求数据包RREQ,底层节点收到RREQ后即更新邻居链表,同时更新路由表,然后同样以广播的方式转发RREQ,但只转发同一簇内的RREQ;本地节点在同一簇内建立路由,但维护的邻居链表包括整个网络的邻居信息,以记录网络的连通性。
借用AODV路由协议中RREQ包格式,定义协议RREQ格式如表1[3,4]。

其中,包类型:用于标明该数据包是RREQ包,广播包;源地址:发起RREQ的节点地址,应为上层网络节点的地址;跳数:源节点到接收到RREQ包的节点经过的跳段数;广播ID:由源节点维护的序列号,用于唯一标识RREQ包。

其中,目的节点:记录目的节点地址,应为上层网络节点的地址;路由状态:路由是否有效标志;下一跳:本地节点到目的节点的下一跳节点地址;路由过期时间:路由不再有效的时间点。
按照建立路由过程中不同节点的作用,路由建立过程如下:
1)上层移动节点:向全网广播RREQ用于建立路由;接收各个簇内节点携带信息的数据包。如图1中节点B。由广播ID和源地址序列对唯一标识RREQ,用于判断处理是否收到重复的RREQ包
2)可以和移动节点直接通信的节点:接收到RREQ后,首先更新邻居链表,然后将本地路由表里的下一跳写下B,更新路由表。如图1中,M3、N3、P3此时和B直接相连,分别是三个簇内其它节点接入上层节点的出口。

图2 本地节点建立路由流程
3)底层网络中其它节点:M3、N3、P3接到B的RREQ,更新路由表后同样以广播的方式转发RREQ,此时不同簇内节点会互相收到转发的RREQ,利用此信息更新本地节点的邻居链表。例如图1中,N4收到N3转发的RREQ,同时也可能收到M3、P3转发的RREQ,N4利用此信息更新其邻居链表。但N4用同一簇成员转发的RREQ更新路由表,路由表中下一跳记录为N3地址,然后丢掉接收到的其它同一RREQ包。同样以广播的方式再次转发RREQ。这样处理的好处是,在同一簇内广播RREQ,即建立了路由,记录了本地节点的所有邻居节点,包括其它簇内的邻居节点,又有效的避免了RREQ在整个网络中引起“广播风暴”的问题。其它节点均按同样的方式处理,直到RREQ包达到最大的网络半径。
路由建立的过程见图2的流程图。
2.2 路由维护
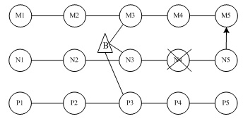
在带状的拓扑结构里,同一簇内邻居节点有限,多数情况下只有左右两个节点是其邻居节点,如果某一节点由于能量耗尽,簇内节点可能会断开,将影响网络的健壮性和可扩展性,如图3,节点N4由于某种原因不再具有传感器节点的功能,N4以右的节点按先前发现的路由无法将数据传送至目的节点B,因此必须采取某种措施以维护网络的连通性。节点同时拥有其它簇内的邻居节点,可以借助其它簇内的节点续传数据包。

图3 网络故障时路由的维护
鉴于带状拓扑结构的特殊性,数据报文在找到目的节点的方向(即路由)后,如“接力”的方式依次往下传,所以不采用端到端的应答方式,而采用点到点的应答,这样节点能够知道下一节点的状态,发送数据包时,如果不能收到下一跳节点的应答包,则重复发送一次,仍然没有应答情况下,即认为下一跳发生故障,立刻从邻居链表中选择其它簇内的邻居节点作为下一跳节点,由此簇节点负责传送数据包。
在图3中,N5以右的数据包转发至N5后,由于N5没有收到N4的应答, N5需要从邻居链表中选择其一作为下一跳,如果有簇内其它邻居节点(如N3也是N5邻居),优先选择(注意避免路由环),如果没有,选择其它簇内邻居,图中N5选择M5,N5将数据包成功的交给簇M内的成员,由簇M负责将数据包转发至目的节点。此时N5路由表下一跳字段更改为M5,路由过期时间为邻居节点M5的过期时间,直至N5再次收到同簇内的节点转发的RREQ更新路由。同时N5将N4的故障信息及时通知上层网络。
路由维护的过程见图4流程图。

图4 本地节点维护路由流程
3 带状拓扑结构在道路交通中的应用与实践
无线传感器网络能够实现远距离可靠的数据传输。传感器节点自组成网,快速形成相对稳定的网络拓扑结构。道路交通中的无线传感器网络是带状网络的典型应用。在道路交通中,无线传感器网络具有以下功能:传感数据迅速可靠地传输到用户终端;拓扑结构随上层节点位置而变化;网络关断或增加某个节点,网络的动态变化强;节点唯一编号,在上层部分汇总传感信息;根据上层网络节点收到的信息在用户终端复现网络拓扑结构的变化过程;例如,沿道路两旁布下传感器节点,采集路面信息等,上层网络可以是相互独立的快速移动的汽车节点,汽车可以根据需要接收底层网络传来的信息,这样汽车可以及时准确的知道前后路面的状况。汽车可以将信息通过更高层的网络传到交通控制空心。
项目中,射频芯片选择CC1100,频率选择433MHz,最大有效射程调为150米左右。处理器选择LPC2210,操作系统移植代码公开的μC/OSⅡ.同时,由于项目的特殊应用环境,来自汽车的噪声影响严重,必须严格控制数据包的正确性。应用实践表明,本方案路由协议简单容易实现且路由开销小。
针对无线传感器网络带状拓扑结构的特殊性,提出分级网络管理的方法,底层网络采用无簇头的分簇结构,这样对网络的路由建立与维护都容易实现。对带状拓扑结构的网络路由协议的研究,极大推动传感网在道路交通中的应用。改变目前道路信息采集手段单一的技术手段。通过传感网采集的多元交通信息的数据融合处理,提高道路交通信息的准确性、可靠性。
本文作者创新点,针对无线传感器网络在道路交通中的应用,根据其特殊的带状拓扑结构,将网络分为两级,提出无簇头的易实现的分簇路由协议,即由上层移动节点建立路由、底层节点维护路由的机制。该路由协议在道路交通应用中表明,易实现,开销小,容易维护。
下一篇:DTMF甚高频发码电路