时间:2009-03-12 10:45
人气:
作者:admin
选频网络的基本特性
要求选频电路的通频带宽度与传输信号有效频谱宽度相一致。理想的选频电路通频带内的幅频特性
通频带外的幅频特性应满足
理想的幅频特性应是矩形,既是一个关于频率的矩形窗函数。
矩形窗函数的选频电路是一个物理不可实现的系统,实际选频电路的幅频特性只能是接近矩形 
矩形窗函数的选频电路是一个物理不可实现的系统,实际选频电路的幅频特性只能是接近矩形
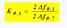
定义矩形系数K0.1表示选择性:

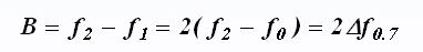
2Δf0.7称为通频带 :
显然,理想选频电路的矩形系数K0.1=1,而实际选频电路的矩形系数均大于1。
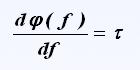
另外,为不引入信号的相位失真,要求在通频带范围内选频电路的相频特性应满足

即理想条件下信号有效频带宽度内的各频率分量都延迟一个相同时间τ,这样才能保证输出信号中各频率分量之间的相对关系与输入信号完全相同。

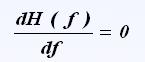
实际选频回路的相频特性曲线并不是一条直线,所以回路的电流或端电压对各个频率分量所产生的相移不成线性关系,这就不可避免地会产生相位失真,使选频回路输出信号的包络波形产生变化

上一篇:RC选频网络的研究与应用
下一篇:变压器阻抗变换电路