时间:2009-02-23 11:53
人气:
作者:admin
光纤陀螺的工作原理
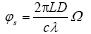
光纤陀螺的基本工作原理来自Sagnac效应。Sagnac效应是相对于惯性空间转动的闭环光路中断传播光的一种普遍的相关效应,即在同一闭合光路中从同一光源发出的两束特征相同的光,以互为相反的方向传输并最后汇聚到同一探测点;若绕垂直于闭合光路所在平面的垂线,相对惯性空间存在着旋转角速度,则正、反两束光走过的光程不等,产生光程差。理论上可以证明,其光程差与旋转角速度成正比,即
式中 L为光纤长度;D为光纤环直径;λ为光波长;c为真空中光速;Ω为转动角速度。
使用低损耗单模光纤形成环状,其总长L可达几百米甚至上千米,可大幅度地提高环形干涉仪的灵敏度,即使是微小的转动也能够产生可探测的相位差。因为光纤环内的单模光纤处于双光束干涉状态,其输出光强可表示为
式中 I0为Imax/2。由式(1)和(2)可知,输出光强是角速度的余弦函数,如图1所示。由图1可知,无论Ω是正还是负,I值读数不变,即输出光强不能反映旋转的方向。同时,小信号灵敏度低,在多数场合的Sagnac相移很小,而系统灵敏度dI/dΩ在Ω=0处为0。为此,在两束反向传输光之间引入90o的相位差,导致输出光强变成I=I0(1−sinϕs)。显然,经过90o的相位差的陀螺在Ω=0处的灵敏度即dI/dΩ达到最大值,同时解决了输出I能反映旋转方向的问题。
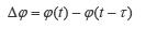
图2表示的互易性结构是光纤陀螺的基本原理结构,能完全保证陀螺在静止状态下顺、逆时针光波的光程相等。耦合器的功能在于使返回光耦合出一部分到探测器,作为陀螺的光输出。偏振器位于光纤环与耦合器之间,使单模光保持单偏振状态,从而消除光纤双折射变化对陀螺性能的影响。当顺、逆时针两光波通过光纤环时,由于路径不一致,造成它们在不同时间经过相位调制器。设其时间差为τ,相位调制器的结果为
将式(3)代入式(2),则陀螺的光输出有

图2 光纤陀螺原理图
以正弦信号调制为例,设ϕ(t)=ϕm sin(ωt),代入式(4),则得
式中 η=2ϕmsin(ωτ/2)。当陀螺静止时,其输出只有调制频率ω的偶次谐波;旋转时,其输出将有奇次谐波。采用锁定放大器检测一次谐波,则得到陀螺输出为
式中 K为电压增益,通常η选值是1.84 rad,贝塞尔函数J1(η)取最大值0.53,正弦波调制如图3所示。利用式(6),根据检测出的Iω,则可求解ϕs,再用式(1)得到角速度Ω。图2中的集成光学相位调制器,一个用于偏置信号调制,另一个用于反馈信号调制,以提供反馈相移形成闭环陀螺。
图3 正弦波偏置调制
光纤陀螺用Y分支集成光学调制器的研究