时间:2009-03-01 16:27
人气:
作者:admin
声表面波导致的折射率变化
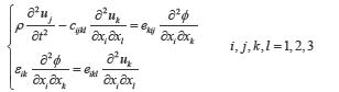
声表面波与光波相互作用是实现机械运动与电磁场运动的相互转换,利用联系两种运动形态的压电性能方程,并考虑准电场近似和连续介质中的牛顿第二运动定律,可以得到声表面波的基本方程

式中 uj为质点位移矢量;cijkl为弹性劲度系数张量;ekij为压电系数张量;εik为介电系数。
式(2)的平面波解不满足边界条件,若振幅不随深度而衰减,则不是声表面波,所以其振幅必须具有一定的横向分布,因此考虑下列类型的解
共线声光效应中模式转换效率的理论分析
上一篇:企业电子商务系统的规划与设计研究
下一篇:CWDM用光纤