时间:2009-01-01 06:42
人气:
作者:admin
本文先是简单介绍FM的基本原理,一般的数字解调方案,指出FM解调门限的存在,并且给出了仿真结果;接着详细讨论了噪声问题,指出噪声的自相关特性与通道滤波器的关系,并根据噪声的这些性质提出了一种新的数字解调方案,最后是新方案的实际仿真结果。
FM的基本原理
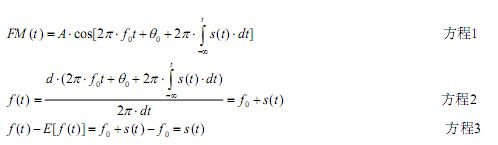
FM 是把信号调制到载波的频率参数上,瞬时频率与平均频率的差是信号,表达式如下:

下图是利用 ADS 产生的 FM 信号时域与频域波形,从时域波形能很明显看到 FM 的恒包络特
征,瞬时频率随时间变化特征。这里产生的 FM 载波频率为 200KHz,单声道,调制信号为
5KHz 点频,调制度为 65KHz,没有考虑预加重。

图 1:FM信号的频域波形

time, msec
图 2:FM信号的时域波形
FM的简单数字解调与门限效应
利用数字方式对 FM 信号解调,原理上就是计算瞬时频率,瞬时频率是相位的导数,在数
字中导数用一阶差分替代,下面是一个简单的 FM数字解调框图:

利用上面这种简单解调方式,我们调整输入信噪比,看输出信噪比的变化,可以清楚的看
到门限的存在,下面是仿真数据和曲线图形:
表 1:简单数字解调输入 SNR与输出 SNR关系,此处 FM调制度为 22K,单声道
SNR in 5 6 7 8 9 10 11 12 13 18 23 28
SNRout 9.5 12.8 16.5 20.2 23.4 24.5 25.6 26.6 27.6 32.7 37.7 42.6

图 4:FM解调原理图
注意上面没有考虑去加重对信噪比的改善,噪声是考虑 1.5k~15K 带宽内噪声。输入噪声
是滤波器带宽内的噪声,信道滤波器按 70K 计算的。由上面曲线明显看到在输入信噪比
9dB 以下时,输出 SNR 与输入 SNR 不再是线性关系,输入信号在 9dB 处有一个拐角,称该
点为这种解调方案的解调门限。
从 IQ 平面可以比较容易理解解调门限的存在,如下图,当信噪比较低时,噪声矢量有时
会大于信号矢量,造成相位 180 度的变化,从而造成噪声迅速增加,就形成了门限,一般
弱信号受限于接收机噪声系数,而噪声系数反映的噪声符合高斯分布,从高斯分布的函数
看,超过 3 倍标准差的情况非常少,也就是说当 SNR 大于 20log(3)时,很少有 180 度翻
转情况,这样 20log(3)就成了 FM 的解调门限。20log(3)=9.5dB,与上面的仿真曲线吻合
非常好。

图 5:FM解调门限示意图
噪声自相关特性与噪声预测
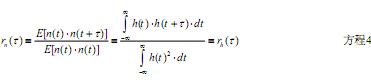
接收机接收弱信号所受限的噪声一般是接收机热噪,电流噪声等,这些噪声对我们的信号
带宽而言可以算是白色噪声,这也就意味着噪声前后不相关,幸运的是接收通道都有信道
选择滤波器,在数字判决的时候,噪声前后是相关的,因为这种相关性是有接收通道滤波
器引起的,所以噪声的自相关函数就等于滤波器冲击响应的自相关函数,其公式如下:
上式中 h(t)是通道滤波器的时域冲击响应。因为一般接收机的通道滤波器是固定的,这
样噪声的自相关特性也就确定下来了。
如果 t1 时刻噪声电压为 n1,t2 时刻噪声电压为 n2,那么 t3 时刻的噪声电压该是多少?
在这里我们可以将 t3 时刻的噪声电压 n3 做一个分解,分出与以前相关的部分和不相关的
部分,如下式:

根据前面讨论的噪声相关特性我们可以得到下面几个方程:

图 6:噪声预测和抵消示意图
上图中的 c1,c2,c3,…是与信道滤波器相关的参数,如果上图中没有信道滤波器,则噪声
前后不相关,这些系数全部是 0。前面方程 5 至方程 10 已经讲了两阶情况的系数求法,
此处不在赘述。下面是利用 ADS 做的仿真结果,此处滤波器带宽为 70K,数字时钟用的是
500K,噪声预测模型是两阶的,因为通过分析发现噪声差 3个时钟就基本不相关了。

图 7:噪声抵消示意图
上图中红色的是抵消之前的频域和时域噪声波形,蓝色的是抵消之后的频域和时域噪声波
形,有此处看到噪声功率被抑制了很多。利用噪声抵消有很大好处,但前提是必须相对精
确地找到噪声分量,也就是找出采样点里面的信号分量。信号与噪声是合在一起的,如要
把它们分出来,就需要一个判决过程,针对数字通信,这个判决往往比较明显,如 QPSK
解调,在判决时,只要看(I,Q),如果落在了第一象限,我们就判它是(1,1),落在第二象
限,我们就判它是(-1,1),理想星座点到实际 IQ的向量就是噪声分量,如下图所示:
FM信号的判决与噪声抵消
通过上面的讨论,我们可以整理出这样一个接收机模型,如下图:

前面已经讨论过噪声预测和数字通信中的判决,针对 FM 信号,该如何判决?FM 信号没有
数字通信常有的最佳判决时刻,但 FM 有一个非常明显的特征,理想 FM 是恒包络的,我们
根据这一特征可以做一个判决,很明显这种判决不能完全区分噪声和信号,因为噪声的切
向分量无法从信号里面分出来,尽管如此,这种判决还是可以比较好的解决 FM 解调门限
问题。通过下面图形可以比较容易理解这种判决,并了解它的局限性:

图 10:FM基于恒包络特性的判决示意图
从上图看到,理想的噪声分量为 n1,而我们仅找出了法向噪声分量 n1r,n1t 确无法识别
出来,这就是这种判决的局限所在。利用这种判决原理我们搭建了下面仿真电路图,并做
了仿真分析:

图 12:新旧数字解调方案性能对比
上图蓝色的是新解调方案性能曲线,对比看到新解调方案可以将解调门限降低 1dB,在弱
场接收时,输出信噪比提高了 3dB。
下一篇:毫微微蜂窝基站面临的设计挑战