时间:2008-10-06 23:59
人气:
作者:admin
将50Ω的S参数转换成75Ω的S参数
摘要:有线电视集成电路通常设计为75Ω的输入输出阻抗接口,而大多数RF测试设备的阻抗为50Ω。在大多数情况下,为了进行测试,用一个小损耗衰减网络将输入和输出阻抗从75Ω转换到50Ω,或者从50Ω转到75Ω。这种方法尽管很方便,但是在测量S参数的时候应该避免使用小损耗衰减焊盘。进行这种测量的一种简单的方法是,将电缆器件的输入输出阻抗看作50Ω,进行测量,然后用本篇应用笔记中提供的等式和Excel电子表格将以50Ω为基准测得的S参数转换为以75Ω为基准的S参数。
有线电视集成电路一般设计为具有75Ω输入输出阻抗的接口,而大多数RF测试设备使用50Ω的阻抗。大多数情况下,用一个低损耗衰减焊盘将输入输出阻抗从75Ω转换到50Ω或者进行相反的转换。这种方法尽管很方便,但是在测量S参数的时候应该避免使用低损耗衰减焊盘。
本篇应用笔记给出了一种进行S参数测量的简单方法,把电缆设备的输入输出阻抗看作50Ω,进行测量,然后进行数学变换。我们提供了等式和方便的Excel电子表格把基于50Ω的S参数转换成75Ω的S参数。
把以50Ω为基准的S参数转换成以75Ω为基准S参数由等式1开始。S参数和输入阻抗都是复数(R + jX),其中R表示实部,X表示虚部。ZO通常是实数阻抗。为了简便,本文只研究输入回波损耗(S11)。
对Eq. 01进行一下整理得到输入阻抗(ZIN)的表达式Eq. 02。
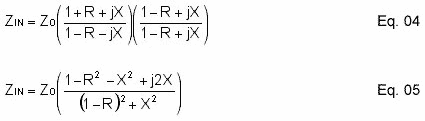
用R + jX代替S11。
用分母的复共扼数乘以Eq. 03的分子和分母,将实部和虚部分开。 
Eq. 06是输入阻抗的实部。
Eq. 07是输入阻抗的虚部。
得到复输入阻抗后,再次使用Eq. 01将阻抗转换成以75Ω为参考的S参数。
Eq. 08是和Eq. 01相同的表达式,只是用R + jX代换了ZIN。 
用分母的复共扼分别乘以Eq. 08的分子和分母,将实部和虚部分开。
Eq. 11是输入回波损耗(S11)的实部。
Eq. 12是输入回波损耗(S11)的虚部。
例子
表1的Excel电子表格可以帮助快速实现50Ω S参数到75Ω S参数的转换。