时间:2008-10-19 11:17
人气:
作者:admin
射频结环行器的设计流程与仿真
关键词:铁氧体,微波,射频环行器
摘要:本文研究的对象是用于基站中,中心导体为双Y 结的带线铁氧体环行器。同时本文
通过把结环行器的场理论与路理论结合起来,推导出一些通用的设计公式,给出简明的设计
流程,并结合计算机辅助设计给出仿真结果,对一般设计者起到一定指导意义。
1 引 言
铁氧体是一种在微波频段具有旋磁性质的特殊磁材料,由于他具有一系列非互易特性,可以
使用他构造出环行器等一系列微波非互易器件。微波环行器已成为信息通讯、电子对抗、航
天航空等领域不可缺少的关键性器件之一。如今微波环行器的应用迅速向民用通讯、能源技
术、工农医等领域扩展。
环行器具有单向传输特性,入射信号能顺利通过,反射信号由于被吸收电阻吸收而不能通过。
其工作原理就是利用中心结构在射频场和外加偏置磁场之间满足一定关系时产生的谐振效
应,从而获得环行效果。目前环行器大致上使用的是圆盘结,Y 型结,双Y 结,三角结的
中心谐振导体。本文研究的对象是用于基站中,中心导体为双Y 结的带线铁氧体环行器。
根据设计,仿真结果在工作频带内满足隔离度大于26 dB,插损小于0.3 dB,回波损耗大于
26 dB,电压驻波比小于1.14,中心导体外接半径尺寸约为5 mm,达到高性能与小型化兼顾,
基本满足几乎所有GSM 基站对于环行器的要求。同时本文通过把结环行器的场理论与路理
论结合起来,推导出一些通用的设计公式,给出简明的设计流程,并结合计算机辅助设计给
出仿真结果,对一般设计者起到一定指导意义。
2 设计过程
图1 为双Y 带线结环行器结构示意图。金属导体圆盘半径为R,小Y 臂长度为R0,耦合角为φs 宽为Ws,电长度为θs,大Y 臂宽为W,耦合角为φ,铁氧体厚度为H,金属导体厚度为t。环行器的核心是一个外加恒定磁场的铁氧体非互易结,中心导体一般可以是圆盘形、Y 形、双Y 形或三角形等各种形状。通过网络理论分析可证明一个匹配的无耗对称三端结就是一个环行器,用散射矩阵表示为:

如果此非互易结是无耗的,则通过圆盘结波动方程加以正负与同相本征激励推导出圆盘双Y
结的同相与正负激励阻抗本征值:
其中Z0 与Z±都是纯虚数。若其归一化值在阻抗圆图上的分布以及其所对应的S 本征值间的相角差互成120o,则此非互易结是环行的。这里可取其归一化的导纳本征值进行讨论,其满足环行条件时必有:

这里yq 表示对应的是归一化导纳本征值,sq 对应的归一化散射矩阵本征值,这样非互易结
的散射参量可以通过其本征值表达

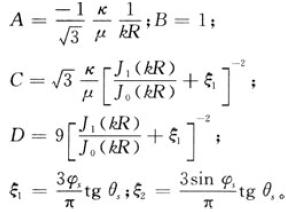
上述环行条件是所有非互易结通用的,环行性能参数为满足环行条件的理想参数。然后通过
上式推导可得在基模下圆盘双Y 结的环行条件,他是在结阻抗归一化情况下得到的,在两
种基模的共同作用下可知第一与第二环行条件:
式中:

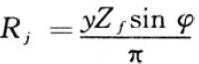
然后通过环行条件得到y 值可推出结阻抗
。非互易圆盘结的结
阻抗Rj 的概念为,若非互易结的三端均接上阻抗为Rj 的源或负载阻抗,则此非互易结是环
行的。其中Zf 为铁氧体带状线的特性阻抗,φ 为Y 臂与圆盘的耦合角。
由以上算式通过定义环行器的工作频率,选择合适的饱和磁场强度的铁氧体,然后确定外加
偏置磁场,得到归一化饱和磁矩和归一化内场等磁参数。再通过双Y 结环行条件推导可得
到一组参数(y;K/μ;kR)。因此,如果按这组参数来设计器件,则必然是一个理想环行器,
所以环行器的设计在于仔细研究这组参数,了解他们彼此之间有何关系,相互间怎样制约,
以便合理选取获取更好的性能。
y 参数为归一化的导纳参数,从上式可看出,他主要取决于双Y 结环行器的结构参数W,H,
t,φ,ξ1,ξ2,铁氧体介电常数εf 以及有效张量磁导率μeff。环行器结构参数及εf,通常事
先已决定,所以y 主要取决于铁氧体磁参数μeff 的选取。
k/μ 参数为张量磁导率非对角分量除以对角分量,他也是铁氧体的磁参数。
kR 为贝塞尔函数的宗量,其中R 是铁氧体的半径,k 为波数
而μeff,μ,k 这些磁参数取决于铁氧体归一化磁矩和归一化内磁场。在饱和磁化且无耗情
况下的磁参数k,μ,μeff 可由下式获得:
式中,p 和σ 分别代表归一化饱和磁矩和归一化内场:
式中,Ms 为铁氧体饱和磁化强度;Hi 为外加偏置磁场的大小。 < p < 2。
下面分析主要的设计流程:
首先确定kR,即选取半径R 以及选取磁场工作点,确定μeff,k/μ,得到kR。再计算y,即
已知kR,由第一环行条件计算得y。通常由y 得到的结阻抗Rj 是无法与连接环行器的传输
线。因为一般传输线特性阻抗为50 Ω,环行器需匹配才能接人,故必须添加匹配网络,或
者改变结构参数,尤其是H 或φ,ξ1,ξ2 等,使系统匹配。
然后计算k/μ,即已知kR 及y,由第二环行条件计算得k/μ。若计算结果符合之前由p 和σ
所确定的k/μ 值,则设计成功;否则需重新确定kR,进行循环计算,直到符合条件为止,
可由Matlab 进行计算,通常误差在0.05 以内是可以接受的。
从以上设计流程中可以看出,结环行器设计的关键是在于选取R,p 和σ,因而需要给出一
个合理的范围。例如对于低场器件,为了避免零场损耗,p 通常选在0.4~0.7 之间,而
外加磁场要使材料饱和,即σ=0,偏置磁场为0。可得k/μ=p;μeff=1-P2。至于R 的选取,如
果考虑器件小型化,则应尽可能小;反之,若是高功率应用,则必须大一点。通常kR 的值
在0.8~1.8 之间确定,而对于高场器件,必须使σ>1,p>1,同时也不能太大,大致范围为
1.5<σ<2,1
3 仿真结果与分析
本文研究的频率范围为GSM 接收端的925~960 MHz,属于微波频率段的低端,所以环行
器所需的偏置磁场选用高于铁氧体谐振场。处于高场工作,器件尺寸才能尽可能小,同时也
要求较高磁化强度的饱和磁化材料和较高的偏置磁场。仿真选用饱和磁化强度为1 800 高斯
(Gauss),线宽△H 为40 奥(Oe),损耗角正切tan δ=O.005 的铁氧体材料。
参照上述设计流程计算得到的参数为,R=4.0 mm,R0=1O mm,W=3.1 mm,φs=36,φ=22,
H=2.2l mm,t=0.2 mm,k/μ=0.52,归一化导纳y=4.53,结阻抗Rj=14.6,环行条件误差为0.003。
在计算机上使用HFSS 电磁场仿真软件进行三维建模仿真,设置好合适的边界条件和激励
源。仿真分别对工作频率F 以及内偏置磁场强度Hi 进行了扫描,对性能参数作了对比分析。
由于匹配部分使用的是二级非递增式匹配,计算得到的结果在仿真中性能并不是最理想,见
图2。这里使用HFSS 自带的优化功能OPtimetrics 模块,以环行器的结构参数为变量,创建
COST 函数为目标函数进行优化,环行性能得到很大改善,见图3。另外通过对内磁场大小
的比较,分析可得在相同外形尺寸的条件下,内磁场的大小对环行器的性能影响非常大,尤
其在接近谐振频率处曲线更陡峭,见图4。在谐振频率940 MHz 处选择最佳内场接近39
000(A/m)。通过对内磁场多次循环微调,最终性能曲线为频带内隔离度大于24 dB,插损小
于0.3 dB,回波损耗大于26 dB,电压驻波比(VSWR)小于1.12。谐振点处隔离度为41 dB,
插损为0.22 dB,回波损耗38 dB,电压驻波比(VSWR)为l.03,完全满足实际GSM 高性能
要求。从电场能量示意图明显可以看出1~3 端口的能量传输,而2 端口近乎无能量,被隔
离,见图5。仿真结果证明,按照本文的设计方法得出的参数值已非常接近最佳性能指标,
验证了本文的设计流程以及仿真是切实可行的。


对于双Y 结环行器的铁氧体环行器研究和设计,按照环行条件给出了自己的设计方案,通
过仿真软件对设计结果进行了检验,证明了设计的正确性,可行性和实际应用价值。对一般
结环行器设计有较强的指导意义,符合现代更高的性能优势和小型化特点的发展趋势。
上一篇:环行器的作用