全球最实用的IT互联网信息网站!

AI人工智能P2P分享&下载搜索网页发布信息网站地图

当前位置:诺佳网 > 电子/半导体 > 通信网络 >

高频信号发生器电路图整理

时间:2008-02-03 13:29

人气:

作者:admin

标签: 高频 

导读:高频信号发生器电路图整理-高频信号发生器由高频石英晶体振荡电路和告警电路组成。振荡电路采用新颖单管变量器反馈式电路,在反馈回路中,串接了石英晶体谐...

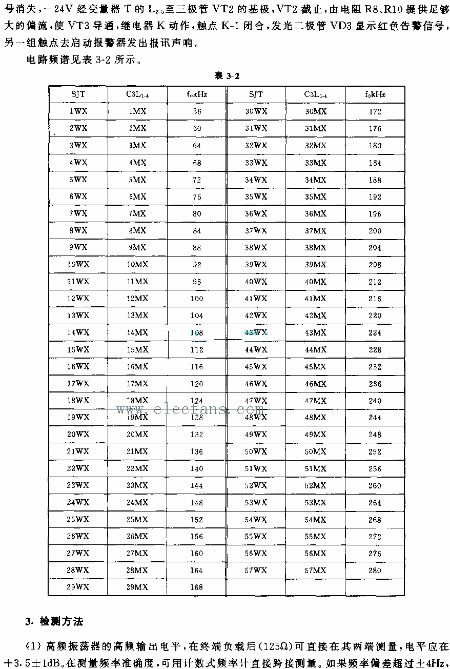
高频信号发生器由高频石英晶体振荡电路和告警电路组成。

振荡电路采用新颖单管变量器反馈式电路,在反馈回路中,串接了石英晶体谐振器。从而使振荡频率取决于石英晶体振器的特性。

能产生100KHZ--27MHZ的信号发生器电路

温馨提示:以上内容整理于网络,仅供参考,如果对您有帮助,留下您的阅读感言吧!
相关阅读
本类排行
相关标签
本类推荐

CPU | 内存 | 硬盘 | 显卡 | 显示器 | 主板 | 电源 | 键鼠 | 网站地图

Copyright © 2025-2035 诺佳网 版权所有 备案号:赣ICP备2025066733号
本站资料均来源互联网收集整理,作品版权归作者所有,如果侵犯了您的版权,请跟我们联系。

关注微信