时间:2006-03-11 13:33
人气:
作者:admin
摘要:提出了一种5.8GHz微波接收机电路设计方案,针对系统标准给定的要求,提出了接收机系统设计的原理和方法,介绍了具体电路设计,给出了实验结果和分析。
DSRC作为一种专用的无线短距通信协议,主要针对固定于车道或路侧的路侧单元(RSU)与转载于移动车辆上的车载单元(OBU)之间的通信接口规范。本文采用广泛使用的被动式欧洲DSRC标准,其主要技术指标如下:工作频率为5.8GHz,下行数据为FMO编码,速率为500kbps,调制方式为幅度(AM)调制;上行数据为NnZI编码,速率为250kbps,调制方式为2MHz或1.5MHz副载波的二进制相移键控(BP5K)调制,数据误码率为10-6。图l为DSRC通信系统工作模式。它采用半双工的通信模式,主要有两种工作方式:下行和上行方式。 当在下行方式时,RSU为发射模式,而OBU为接收模式,RSU发射以AM调制方式把调制信号F AM加到5.8GHz的载波频率F0上。当在上行方式时,RSU为接收模式,而OBU为发射模式,RSU发射连续的j.SCHz载波FO给OBU,并与OBU中的2MHz或1.5MHz的副载波BP5K调制信号Fm混频后,再通过天线反射回R5U上的接收机进行同步解调。
本文针对DSRC通信系统给定的要求,提出了一套含OBU和RSU的频率为5.8GHz的微波接收电路,具有灵敏度高、动态范围大等特点,并在最后介绍了系统的实验情况。
图1
1 设计原理
1.1接收系统的作用距离和灵敏度估算
OBU的下行唤醒作用距离为:

(1)式中,λ=载波的波长=5cm;po=RSU发射机的功率输出=18dBm;Gt为RSU的天线增益:13dB;Gr=OBU的天线增益=6dB;Ls=车辆挡风玻璃造成的损耗=-5dB;Smin=OBU的唤醒灵敏度=-40dBm。因此可求得OBU的下行唤醒作用距离在15m左右。
OBU接收到的功率,经OBU的BP5K副载波调制后,再发射回RSU接收机,故接收功率为:

(2)式中,Lb为OBU的副载波调制和转发损耗,约为-6dB;月为上行链路时OBU与RSU接收机的距离。所以当只为5m-1lm的正常通信范围时,R5U接收机射频端的动态起伏为-84dBm~-97dBm,RSU接收机灵敏度必须<-97dBm。
1.2 RSU接收机的总体设计
本系统为微波反射式系统,OBU反射RSU发射机的载波作为上行发射载波,故RSU接收机的RF信号与本振10信号相同。所以本接收机采用零中频接收方案设计,因为上行副载波BPSK调制信号是双边带调制,它的频谱位于载频的两边,故不需要镜频抑制。如图2所示,RSU接收机主要由射频带通滤波器、低噪声放大器、1昆频器、中频带通滤波器和中频放大及BPSK解调电路组成。
图2
针对系统对接收机的要求,在接收机设计中,主要注重以下几个方面:接收机的噪声系数设计、接收机的大动态范围设计、接收机微波无源部件的准确设计。考虑其全面的性能,在具体电路设计中,必须均衡设计各级的噪声系数、功率增益,保证各个无源部件的准确性,合理分配部分电路的指标,以达到系统对接收机的要求。
1.3 RSU接收机的灵敏度
对于相干解调的BPSK信号的比特误码率BER为:

(3)式中,S/N为输入信号的信噪比。因此,为了获得10-6或更少的数据误码率,中频放大器端的信噪比必须大于10.5dB。而RSU接收机所需的信号功率可表示为:
PUR=10lg(kT)+10lgB+NF+S/N (4)
(4)式中,k=波尔兹曼常数,T=室温(290K),B=中频带宽=1MHz,NF=RSU中频放大器前端的噪声系数,S/N为中频放大器输入端信噪比>10.5dB。
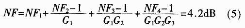
RSU中频放大器前端的噪声系数为:

(5)式中,NF1=1/G1=射频带通滤波器插入损耗=2dB,NF2=低噪声放大器噪声系数=2.1dB,NF3=混频器单边噪声系数=5dB,G2=低噪声放大器增益=24dB (见图2)。G3=混频器的增益=-8dB,NF4=中频带通滤波器噪声系数=3dB。
当S/N为最小所需信噪比(10.5dB)时,可求得RSU接收机的灵敏度为:
Pmin=(-114+4.2+10.5)dBm≈-99dBm<-97dBm
故可以满足系统的设计要求。
1.4 RSU接收机的动态范围
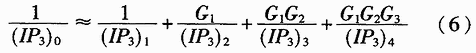
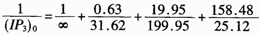
动态范围是指以某种方式降低接收机性能的较强带外信号电平与极微弱信号之比。通常考虑的弱信号就是接收灵敏度。动态范围通常有两种表现方式,即用IdB增益压缩表示的单音动态范围和三阶互调表示的双音动态范围。本接收系统中,主要考虑单音动态范围。RSU接收机总的三阶互调输入截断点(IP3)3为:

(6)式中,(IP3)1=射频带通滤波器的I/P=∞,(IP3)2=第一级LNA的IP3=15dBm,(IP3)3=第二级LNA的IP3=23dBm;(IP3)4=混频器的IP3=14dBm;Gi为以上各级的增益,其中G2=15dB,G3=9dB,两级共24dB,其他增益值如图2所示。故可求得:
,
得(/P3)o=-8dBm。
一般而言,IdB输入压缩点Pldb-in要比三阶互调截断点约低10dB,所以RSU接收机总的Pldb-in约为-18dBm,故接收端动态范围为-99dBm--18dBm。本系统正常通信时接收端工作信号范围为-97dBm--84dBm,但因为发射机的输出功率为18dBm,而收发天线之间的隔离度>38dB,考虑发射的强信号耦合,则接收机收到的最大信号Pmax=(18-38)dBm=-20dBm。故实际接收射频信号端动态范围为-97dBm~-20dBm。显然,RSU接收机的动态范围满足系统的要求。
1.5 RSU接收机的微波部件设计、仿真和制作
射频带通滤波器采用耦合微带线三级级联方式,结构紧凑,寄生通带的中心频率较高,适用频带范围大。图3为带通滤波器仿真的S21和S11参数图,带通滤波器3dB带宽为5.65GHz~5.95GHz,在5.3GHz和6.3GHz带外频率点处衰减>20dB。实际测试的带内插损S21比仿真设计的要大1~2dB,这是因为滤波器相对频带仅为4%左右,此时耦合线的辐射损耗对Q值影响大,导致带内衰减加大。
图3
扇形线应用于微波有源器件的直流偏置电路中,它与隔直电容一起确保直流偏置与射频信号的隔离。扇形的长度和连线长度都为中心频率1/4波长左右,连线一般作成弯曲的形式,便于对其长度进行微调,夹角为45度如图4扇形线的S11和S22参数仿真图所示,扇形偏线在5.7GHz~5.9GHz频段内,插损小于0.5dB,其回波损耗约大于40dB,故能较好地对射频信号进行隔离。
2 接收机电路设计技术
2.1 OBU电路设计
OBU电路框图如图5所示,SB_out为唤醒直流输出最大信号, DATA_out为解调后的下行FMO码输出,MOD为下行的2MHz载波的BPSK调制信号输入端,OBU有闲置、下行和上行方式三种工作模式,由WK in和T/R来选择控制。OBU的唤醒灵敏度约为-40dBm,转发损耗约为-6dB。在PCB制作时,要注意周边器件尽量靠近IC,布线尽量短,减少分布参数的影响。在RF端口接一1/4波长的短接线到地,保护OBU不受静电或其它瞬态干扰损坏。
图4
2.2 RSU接收机低噪声放大电路
为了更好地达到噪声与增益的平衡,本系统采用了两级低噪声放大。要把idb压缩点小、噪声系数小和增益大的作为前级放大。要注意低噪曹的防静电保护和电磁屏蔽,防止其振荡影响性能。
2.3 RSU接收机混频器电路设计
一般说来,无源平衡混频器的性能最好,它具有较高的二阶、三阶截获点,有更好的噪声平衡性能,但缺点是需要大的本振功率并具有较大的变频损耗。这里采用无源双平衡混频器MMIC,在RF信号频率为5.8GHz、本振LO输入功率为10dBm的情况下,变频损耗为8dB,双边噪声系数为5dB(双边带为8dB),输入1dB压缩点为9dBm,三阶互调截断输入点为14dBm,本振-射频信号的隔离度为30dB,本振-中频的隔离度为25dB。

2.4 RSU接收机中频滤波/放大电路
中频系统的频率特性如中心频率、通频带、带内起伏、带外衰减等主要取决于中频滤波器,通常为LC型滤波器,这里采用低通-高通构成的带通滤波器。BPSK信号的频谱类似载波抑制的双边带,其带宽为基带信号带宽的2倍,即500kHz。但考虑到2MHz或1.5MHz作为载波中心频率,所以滤波器中心频率为1.75MHz,3dB带宽为1MHz,带外抑制在0.3MHz处大于30dB,滤除因反射强耦合混频后产生的直流低频信号,在10MHz处大于35dB,防止带外信号的干扰。
中频放大器由四级组成,前三级为低噪声系数和宽频带工作范围的双极型放大器MMIC,末级为视频宽带运放。四级增益共为7&lB左右。因为增益高,很容易导致正反馈产生自激,可在级间并接稳定电阻到地,一般为100欧姆左右。
2.5 日SU接收机系统指标测试
RSU接收机系统指标测量方案如下:接收机本振端输入频率为5797.5MHz,功率为10dBm的频率源,网络分析仪HP8753ET输出端经衰减器衰减后与接收机信号端相连,HP8753ET输出频率为5799.5MHz的单频连续波,功率可调整,用频谱仪测试中放2MHz频率处的输出功率值,测试结果如表1。
表1实验测试结果
| 信号输入端功率(dBm) | 本体噪声(不加输入) | -102 | -97 | -92 | -88 | -86 | -84 | -82 |
| 相应的功率值(dBm) | -21 | -13 | -9 | -4 | 0 | 2 | 4 | 4 |
由表1可见,实际的本体噪声要比设计的大2dB左右。在输人为-97dBm处,输出信号信噪比S/N为11dB。当接收机信号端输入功率为-82dBm时,出现削顶失真。但在接收机信号端输入功率为-97dBm·-84dBm时,增益为+87dB,基本都呈线性放大,满足系统要求。
本文提出丁一套5.8GHz的微波接收机电路,并给出了实验结果。它可应用于基于DSRC的高速公路无线不停车收费系统或其他工作频率为5.8GHz的无线通信系统。