时间:2006-03-11 13:23
人气:
作者:admin
摘要:介绍一种最新推出的电力载波调制解调器芯片ST7538的基本原理,给出ST7538的主要控制电路和接口电路,讨论应用该芯片后些注意事项。
利用电力线作为通信介质的电力载波通信,具有极大的方便性、免维护性、即插即用等优点,在很多情况下是人们首选的通信方式。ST7538是最近SGSTHOMSON公司在电力载波芯片ST7536、ST7537基础上推出的又一款半双工、同步/异步FSK(调频)调制解调器芯片。该芯片是为家庭和工业领域电力线网络通信而设计的,与ST7536和ST7537相比,主要具有以下特点:
*有8个工作频段,即:60kHz、66kHz、72kHz、76kHz、82.05kHz、86kHz、110kHz和132.5kHz;
*内部集成电力线驱动接口,并且提供电压控制和电流控制;
*内部集成+5V线性电源,可对外提供100mA电流;
*可编程通信速率高达4800bps;
*提供过零检测功能;
*具有看门狗功能;
*集成了一个片内运算放大器;
*内部含有一个具有可校验和的、24位可编程控制寄存器;
*采用TQFP44封装。
可以看出,ST7538是一款功能强大的、单芯片电力线调制解调器。
图1
1 ST7538工作原理
ST7538是采用FSK调制技术的高集成度电力载波芯片。内部集成了发送和接收数据的所有功能,通过串行通信,可以方便地与微处理器相连接。内部具有电压自动控制和电流自动控制,只要通过耦合变压器等少量外部器件即可连接到电力网中。ST7538还提供了看门狗、过零检测、运算放大器、时钟输出、超时溢出输出、+5V电源和+5V电源状态输出等,大大减少了ST7538应用电路的外围器件数量。此外,该芯片符合欧洲CENELEC(EN50065-1)和美国FCC标准。图1为ST7538内部原理框图。
1.1 发送数据
当RxTx为低时,ST7538处于发送数据状态。待发数据从TxD脚进入ST7538,时钟上升沿时被采样,并送入FSK调制器调制。调制频率由控制寄存器bit0~bit2决定,速率由控制寄存器bit3~bit4决定。调制信号经D/A变化、滤波和自动电平控制电路(ALC),再通过差分放大器输同到电力线。当打开时间溢出功能,且发送数据时间超过1s或3s时,TOUT变为高电平,同时发送状态自动转为接收状态。这样可以避免信道长时间被某一节点(ST7538)点用。
1.2 接收数据
当RxTx为高时,ST7538处于接收数据状态。信号由模拟输入端RAI脚进入ST7538,经过一个带宽±10kHz的带通滤波器,送入一个带有自动增益AGC的放大器。该滤波器可以通过控制寄存器bit23置零取消滤波功能。自动增益放大器可以根据电力线的信号强度自动调整。为提高信噪比,经过放大器的信号送入一个以通信频率为中心点、带宽为±6kHz的窄带滤波器。此信号再经过解调、滤波和锁相,变成串行数字信号,输出给出ST7538相连的微处理器。

可以通过使控制器的bit22置位,使ST7538处于高灵敏度接收状态。
1.3 工作模式选择
通过微处理器与ST7538的串口RxD、TxD和CLR/T,可以实现微控制器与ST7538的数据交换。ST7538的工作模式,由REG_DATA和RxTx的状态决定。
微处理器对电力线的访问可以采用同步方式或异步方式。异步方式只需要RxD、TxD和RxTx,无需辅助时钟信号。无载波信号时,RxD输出低电平,对于同步方式,需要CLR/T作为参考时钟,并且ST7538必须是通信发起者(Master)。
对ST7538控制寄存器的访问必须采用同步访问方式,需要RxD、TxD、CLR/T和REG_DATA,CLR/T上升沿有效,发送数据高位在前。
1.4 复位及看门狗
ST7538内部嵌入一个看门狗,可以产生一个内部和外部的复位信号,保证CPU的可靠工作。
2 系统硬件组成
电力载波通信节点模块一般包括以下几部分微处理器部分、载波部分信号滤波部分和电力线信号耦合与保护部分。图2给出了利用ST7538和Atmega8L构成的通用电力载波通信模块。这里仅就滤波部分作简要介绍。
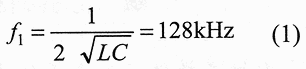
信号滤波部分是整个模块的关键部分,它包括输入窄带滤波器和输出窄带滤波器两部分。图3为输入滤波电路,它采用并联电流谐振电路构成滤波电路,滤除指定频率以外的无用信号和噪声。该谐振点频率f1为

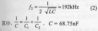
图4为输出滤波电路,它采用串联电压谐振电路,避免无用信号耦合到电力线上。该谐振点频率f2为:

电力线耦合部分采用1:1宽带通信变压器,同时二次侧采用瞬间电压抑制器P6KE6V8A,保护后级电路。
3 应用注意事项
ST7538比早期推出的ST7536、ST7537功能强大得多,引脚也从28脚增至44脚,使用起来仍然很方便,但还需要特别强调以下几点:①注意保证上电复位时间和顺序。ST7538复位时间为50ms,微处理器上电复位时必须有足够长的硬件延时和/或软件延时,保证ST7538可靠复位。ST7538可靠复位后,方可对其进行初始化操作。
②ST7538有8个通信频段,但是同一时刻只能采用一种通信频率。要改变通信频率,则需要调整硬件参数。
③ST7538内部提供的仅是纯透明的物理层通信协议,当噪声信号混入通信频率时,ST7538无法区分,它将与有用信号一起被解调。因此,ST7538要求用户必须自己制制MAC层通信协议,以保证通信的可靠性。
④用ST7538组成系统时,多个节点通信可以采用总线介质访问竞争性协议,例如CSMA(载波监听多路访问)。但是,电力载波通信毕竟通信速率低、效率不高。因此,可以考虑利用ST7538的这零检测功能。利用过零点,实现同步数据传输,进而可以在一个比较大的系统中实现非总线介质竞争的“类TDMA”(时分多址)协议,该协议经常用于GSM等数字无线通信系统。
结语
ST7538是一款功能强大、集成度很高的电力载波芯片,它为家庭和工业环境应用而设计,因此采取了多种抗干扰技术。虽然它采用FSK调制技术,而没有采用扩频技术,没有扩展通信的优点,但是,正因为如此,它可以在噪声频带很宽的信道环境下实现可靠通信。如果能够很好地利用它的多频段性,将可以克服窄带通信的缺点。