时间:2024-11-07 08:03
人气:
作者:admin
工业设备的持续微型化过程引发了对高级磁性微结构表征技术的需求,这些技术需结合高分辨率、短测量时间和定量磁场数据。尤其是在磁性设备制造过程中进行在线质量控制时,这一点尤为重要,例如工业定位应用中的磁性标尺。这些标尺的表征非常具有挑战性,因为目前的磁极尺寸已经达到了微米级别。这种小型结构的磁场会在局部纳米级范围内变化,且整个样品中会出现所有三种磁场矢量分量。因此,需要一种具有高空间分辨率的分析技术。此外,空间快速变化的磁场会随着与样品距离的增加迅速衰减。对于具有有限厚度的传感器,这甚至可能导致垂直于传感器方向的额外磁场变化,从而导致磁结构尺寸依赖的场平均效应。
一种常用的磁性纳米和微结构测量技术是扫描探针显微镜(SPM),例如磁力显微镜(MFM)和扫描霍尔探针显微镜(SHPM)。这两种方法都具有纳米级的空间分辨率,使用小型和薄型传感器,能够实现低测量高度。然而,MFM不是直接定量的,且由于扫描过程,这两种方法都需要较长的测量时间。另一种非常适合的技术是利用磁光法拉第效应可视化纳米结构材料的磁场和电流。这种测量由于可以一次性测量二维平面,因此速度很快。
MOIF技术已经通过对薄硬磁样品的定量分析和超导体中的涡旋动力学研究得到了证明。现有的定量MOIF测量和校准方法考虑到了非均匀的MOIF照明和MOIF厚度上的场平均效应。然而,没有研究综合考虑所有这些效应或更复杂的磁各向异性,如立方各向异性场。此外,也缺乏全面的系统不确定性分析,这对于校准程序来说是不可或缺的。
MATESY磁场相机基于一种位置分辨校准的方法,并结合对MOIF材料磁性参数的全面分析,校准和模拟了一款商业MOIF设备(Matesy GmbH的CMOS-MagView XL)。该设备使用了一个60 × 45 mm²的大MOIF,一个光学检测路径和一个1520 × 2048像素的CMOS相机进行读出。通过成像过程,一个28.4 µm × 28.4 µm的传感器区域被映射到一个相机像素上,这定义了最小分辨率。

校准方法
1
宏观校准
校准CMOS-MagView XL设备需要一个具有良好空间均匀性和高重现性的磁场。我们使用了极靴直径为250 mm的电磁铁,电磁铁的磁场Bext由Bruker电源提供的稳定电流设定,并通过水冷系统将温度稳定在23℃。通过霍尔磁力计测量的环境温度稳定在24℃至27℃之间。为了表征极靴间位置处的磁场Bext (x,y,z),采用了一种扫描单元,该单元可以使用电动平台平行于极靴(x和y方向)扫描,并通过手动平移台垂直于极靴(z方向)移动。通过旋转电机的轴向扫描结果调整和控制探针与极靴的平行对齐。
2
CMOS-MagView XL校准过程
校准CMOS-MagView XL设备包括三个步骤:
(i) 首先,调查设备本身的特性,如噪声、重现性和温度影响。
(ii) 建立测量设备强度与样品垂直磁场之间的理论函数关系。
(iii) 在电磁铁中不同磁场下测量设备响应强度,并将结果整合到校准算法中。
为了确定CMOS-MagView XL的噪声特性,从每个像素的30次测量中确定强度的标准偏差。建立基于物理机制的校准算法时,考虑了不同的测量强度贡献。通过拟合磁场与强度的关系,得到每个像素的校准参数。

图1:石川图总结了垂直均匀磁场杂散场的CMOS-MagView XL校准的不确定度贡献。
3
微观校准
在校准微结构时,均匀磁场的校准是不够的。MOIF设备的响应取决于MOIF磁化的垂直分量Mz,MOIF。MOIF磁化方向不仅由样品杂散场的垂直分量决定,还与MOIF材料的磁各向异性和传感器厚度的平均效应有关。利用DC-SQUID和FMR测量分析MOIF材料的磁各向异性参数,并进行设备响应的前向模拟。
MOIF的强度I通过下列公式描述:

其中,I是通过MOIF后光的强度,α是两个偏振滤光片之间的角度,β是法拉第旋转角,由MOIF磁化的z分量决定。通过拟合不同磁场下的强度,建立像素级别的校准参数:利用利用FMR确定的磁各向异性常数,模拟了cosθ对z方向外场的函数依赖关系,如下所述。模拟结果与三次方程cosθ (B) = a∗B 3 + b∗b进行拟合,最终得到了CMOS-MagView XL对应用均匀垂直磁场的强度响应方程:


图二:对位于传感器膜中间的像素700×1000的校准数据I (B)的多项式拟合。
4
磁性标尺的测量和模拟
在这项研究中,我们对一个商业磁性标尺进行了测量和模拟,以验证CMOS-MagView XL设备的校准效果。首先,我们在设备上测量了标尺表面的磁场分布,然后通过二值化处理获得了样品的磁化图像。接着,我们使用前向模拟方法计算了传感器响应,模拟结果与实际测量数据高度一致。最后,通过与SHPM技术测量结果的比较,进一步验证了校准方法的准确性和有效性。此方法证明了其在快速定量表征磁性微结构中的独特优势。

图3.在测量高度为50µm时,使用MOIF与CMOS-MagView XL和可追踪SHPM进行相同磁尺度的测量结果比较。MOIF数据的不确定性为±2.5 mT,小于数据点的大小。
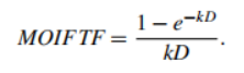
对于小结构的测量,由于空间快速衰减的杂散场,CMOS-MagView XL测量的信号会比样品侧传感器表面的场减弱。通过传递函数修正MOIF传感器厚度的影响:

其中,D为MOIF传感器的厚度。修正后,传感器厚度对测量结果的影响显著减小。
下一篇:LCD屏和OLED屏的对比分析