时间:2024-03-15 11:43
人气:
作者:admin
贝塞尔光束因其无衍射的特性,在很多领域都有广泛的应用,因此一直以来都是研究的热点,产生贝塞尔光束的方式有很多种,目前主要分为主动式和被动式两种,主动式是指通过特定的谐振腔结构,在谐振腔内部直接获得高质量贝塞尔的谐振腔法,被动式是指利用光学元件等将其它激光调制为贝塞尔光束的方法,如环缝-透镜法、轴棱锥法、全息法、球面相差法等。
环缝-透镜法 1987 年,Durnin第一次利用环缝和透镜的简单装置得到了贝塞尔光束,原理图如图所示。

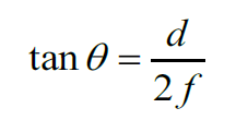
在焦距为f、半径为R的透镜前焦面放置一个直径为d的圆形环缝,在平面波的照射下,就可以在透镜后面锥形区域内产生最大无衍射焦距为
的零阶贝塞尔光束。 由图中的几何关系可得:

从几何关系可推导出最大无衍射距离为:

该方法装置简单,但是大部分入射光无法通过圆形环缝,被挡在了环缝外面,因此光能利用率低,不实用。 轴锥透镜法 轴锥透镜也叫作轴棱镜,最早是在1954 年McLeod J H 提出来的一种有着对称结构的锥形光学元件,可以用于光束的线性聚焦。1992 年,Scott G 等首次利用轴锥透镜产生了贝塞尔光束,其原理图如图所示。

该方法的理论依据是将贝塞尔函数的表达式解释为一系列在传播方向上具有相同倾角的平面波的叠加,且这些平面波都具有0~2π不同方位角,这种位于一个椎体的锥形波失可由锥形透镜来合成。 相比于环缝-透镜法来产生贝塞尔光束,利用轴锥透镜的方法可以使入射光全部通过,因此该方法有着更高的转换效率。
全息法 轴锥透镜法和全息法是实验室最常用的两种产生贝塞尔光束的方法。全息法是利用空间光调制器可编程的特性,将计算机生成的全息图加载到空间光调制器上来获得贝塞尔光束。1989 年,Vasara A 等首次阐述了利用一束激光和计算全息图来生成近似贝塞尔光束的方法,并通过实验产生了任意阶贝塞尔光束和旋转非对称光束,该方法最大的优点就是可以灵活调制贝塞尔光束的参数,从而实现期望的目标光场分布。
审核编辑:黄飞