时间:2023-12-12 09:13
人气:
作者:admin
广州大学物理与材料科学学院潘书生教授团队梳理了通过添加剂辅助法、器件界面工程和结构优化法,将传统荧光材料、磷光材料、热激活延迟荧光材料引入器件,改善绿光和蓝光PeLEDs的光电性能方面所做的尝试,并简要介绍了激子限制作用的原理,以及不同类型的发光材料引入PeLEDs中激子的能量转移机理和器件光电性能提升的物理机理。
导读
1994年,M.Era等人首次报道了第一个基于二维钙钛矿发光材料的钙钛矿发光二极管(Perovskite light-emitting diodes, PeLEDs)。但是由于当时器件只能在极低温(液氮温度)下工作,很难得到实际应用。直到2014年,R. Friend等人制备出可以在室温下工作的、基于有机-无机金属卤化物钙钛矿发光材料 CH3NH3PbBr3(MAPbBr3) 的PeLEDs,才受到越来越多的关注。研究表明,金属卤化物钙钛矿发光材料具有光致发光量子产率高、带隙可调、色纯度高、激子扩散长度长等出类拔萃的光学性能。经过研究者们近10年来的努力,实现了薄膜质量的提升、载流子传输的平衡和激子利用率的改善,使PeLEDs的外量子效率(External quantum efficiency, EQE)由最早的不到1%,到30.84%,实现了30%的超越,可以与量子点发光二极管(Quantum dot light-emitting diodes, QLEDs)、有机发光二极管(Organic light-emitting diodes, OLEDs)的效率媲美,在照明和显示器方面拥有巨大的潜力,被视作下一代显示和照明领域的发光光源。
研究背景
激子利用率是影响PeLEDs效率的关键因素之一。激子是由从PeLEDs的阳极和阴极分别注入的空穴和电子在空穴传输层/发光层界面、电子传输层/发光层界面形成或钙钛矿发光材料内部相遇形成的“电子-空穴”对。激子由25%的单重态激子和75%的三重态激子组成。在 PeLEDs 中,常引入具有荧光发光性能的有机小分子半导体传输材料 (TPBi)、有机聚合物空穴传输材料 (PVK)或传统聚合物荧光材料 (PEO)等作为钙钛矿发光薄膜的添加剂或近邻层。这些材料中的激子在退激发时,由于自旋“禁阻”,以及单重态和三重态能级差较大,只有单重态激子可以通过发光辐射的形式退激发,而三重态激子不能以发光的形式退激发,导致四分之三的激子被浪费。这就使得用传统荧光材料作为掺杂剂或者界面缓冲层的 PeLEDs 的内量子效率(Internal Quantum Efficiency, IQE)不会超过25%。
为了使单重态激子的利用率更高和回收利用三重态激子能量,我们在PeLEDs的引入不同种类的发光材料,使PeLEDs中IQE有望达到100%。本文将概述近5年来,我们课题组与江苏海洋大学班鑫鑫老师组、苏州大学王照奎老师组合作,通过添加剂辅助法、器件界面工程和结构优化法,将传统荧光材料、磷光材料、传统的热激活延迟荧光(Thermally activated delayed fluorescence, TADF),封装的热激活延迟荧光树形材料(Encapsulated-TADF dendrimer)、有机热激活延迟荧光聚合物材料(TADF polymer)引入器件,来钝化薄膜中的缺陷、平衡载流子的传输和提高激子辐射复合效率,以提高PeLEDs的效率和稳定性,改善绿光和蓝光PeLEDs的光电性方面所做的尝试:将绿光器件PeLEDs的电流效率提高到66.1 cd/A,蓝光PeLEDs的EQE提高到12.38%。
主要内容
1. 结构优化法
我们采用结构优化法,将钙钛矿发光薄膜/传统有机小分子荧光材料单元(CsPbBr3/TmPyPB)多次旋涂制作如图1所示的(CsPbBr3/TmPyPB)n多量子阱结构,其中n=1或4。在具有4个单元的绿光PeLEDs中,激子产生界面比只有1个单元的多6个,激子的形成区域加宽,继而使激子产生界面处的激子浓度降低,减少激-激淬灭,使更多的激子辐射复合发光,改善了器件的EL性能和稳定性。

图1 激子产生的界面和区域示意图(a)对比PeLEDs (n=1);(b)优化PeLEDs (n=4)。黑色实线代表产生激子的界面,红色虚线框代表产生激子的区域
2. 器件界面工程法
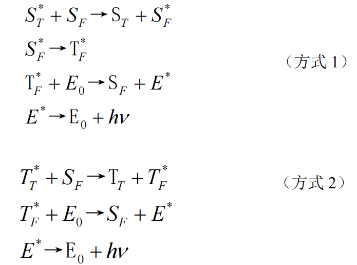
前述,我们在PeLEDs中使用具有传统荧光发光性能的电荷传输材料作激子阻挡层(例如TAPC, TmPyPB),虽然可以一定程度上抑制单重激子和三重态激子的扩散,但是这些材料由于自旋禁阻效应,其本身的三重态激子无法通过辐射复合的方式退激发,使得钙钛矿发光层中的三重态激子不能被充分利用来发光。为了解决这个问题,具有IQE接近100%的磷光材料FIrpic和具有电子传输能力的TmPyPB以共蒸的形式热蒸镀沉积到钙钛矿发光层(CsPbBr3)和电子传输层之间。如图2所示,CsPbBr3/ TmPyPB: FIrpic 界面产生的所有激子都可以利用:FIrpic作为磷光敏化剂,是主体材料TmPyPB的受体;是发光材料 CsPbBr3 的施主,其能量传递有两个途径,分别为:

这里hʋ是发出光子的能量,S和T分别表示单重态激子和三重态激子,下脚标T和F表示分别用主体材料TmPyPB 和染料敏化剂 FIrpic, E0 和 E*分别表示钙钛矿发光材料CsPbBr3 的基态和激发态,上角标*表示激发态。最终,基于TmPyPB:FIrpic复合激子阻挡层的PeLEDs的电致发光效率和稳定性都比参考器件提高了2倍多。

图2 CsPbBr3发光层和TmPyPB:FIrpic复合激子阻挡层之间的多级能量转移示意图,其中虚线箭头表示 Dexter能量转移,实线箭头表示Förster 能量转移
3. 添加剂辅助法

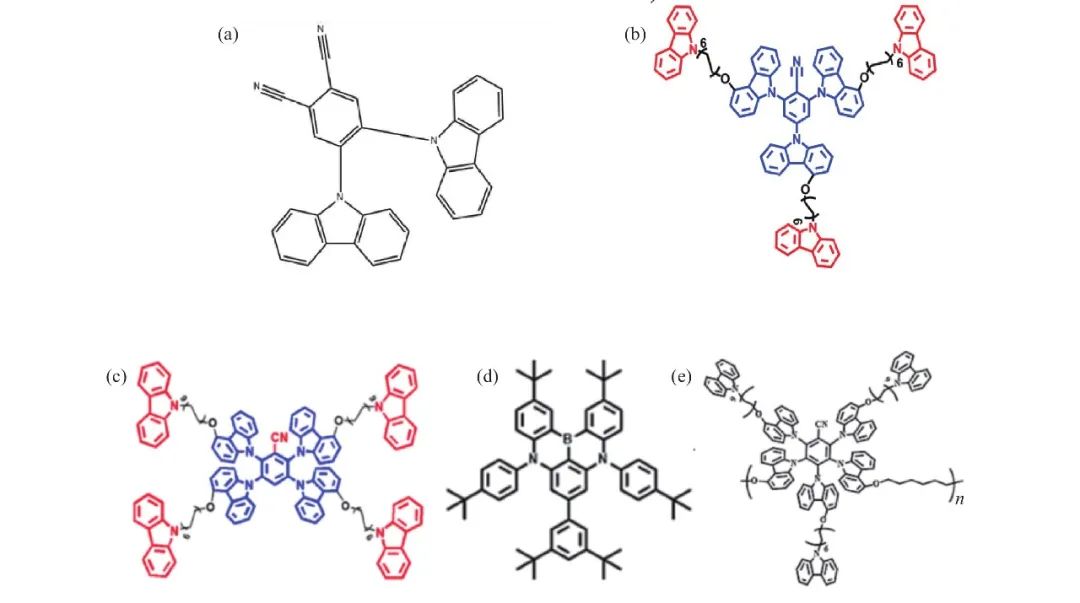
图3 热激活延迟荧光材料(TADF)的分子结构 (a)2CzPN (传统TADF);(b)Cz-3CzCN (TADF 树形分子);(c)Cz-4CzCN (TADF 树形分子);(d)t-DABNA-dtB(TADF 树形分子)(e)P-Cz5CzCN(TADF 聚合物)
有机磷光材料中,稀有金属元素(如Ir或Pt,Re等)的引入,使成本增加。为了解决这个问题并突破自旋禁阻效应,实现100%的IQE,Adachi课题组在2012年提出并获得了无需引入重金属元素的、IQE接近100%的热激活延迟荧光(TADF)材料。与传统的荧光材料相比,TADF的单重态激子(S1)能级和三重态激子能级(T1)的能极差小很多(小于100 meV),使得能量可以通过反向系间窜越过程(Reverse Intersystem crossing, RISC)由单重态激子转移到三重态激子上,然后辐射复合发出荧光,实现100%的激子利用率。接下来将讨论将不同种类的TADF分子(分子结构如图3所示)引入PeLEDs中的能量转移机理。

图4(a) 钙钛矿、添加剂、陷阱和晶界分布的示意图(b) 发光薄膜的电荷注入、激子复合和能量转移示意图
TADF树形分子可以很好地回收利用单重态激子和三重态激子,也可以很好地避免TADF分子发光核之间的激-激淬灭,但是TADF树形分子的导电性不好。为了解决导电性差的问题,我们采用班老师组合成的两种聚合物作为钙钛矿发光薄膜的添加剂,即导电性差的无“TADF发光核”-“壳”结构的绝缘聚合物P-5CzCN和导电性较好的有“TADF发光核”-“壳”结构的半导体TADF聚合物P-Cz5CzCN。研究表明两种聚合物都可以钝化钙钛矿膜的缺陷来减少钙钛矿的非辐射跃迁从而抑制俄歇复合,但是无有“TADF发光核”-“壳”结构的绝缘体聚合物P-5CzCN不能有效地抑制激子的淬灭,而具有“TADF发光核”-“壳”结构的半导体聚合物P-Cz5CzCN更有利于改善载流子传输和改善激子利用率,如图4所示。进一步的研究表明具有“TADF发光核”-“壳”结构的聚合物更有利于增强疏水性、钙钛矿的热稳定性、结晶的均匀性和发光性能。最后,基于有“TADF发光核”-“壳”结构的TADF聚合物的绿光quasi-2D PeLED实现了66.1 cd/A的高电流效率和17.4%的EQE,小的效率滚降和高的色纯度。
结论
研究表明引入能隙比钙钛矿能隙更大的传统荧光发光材料可以更好地回收单重态激子;引入单重态和三重态激子能量都远高于钙钛矿能隙的内量子效率接近100%的有机磷光材料和不同种类的TADF材料可以更好的回收利用单重态和三重态激子,使PeLEDs的IQE有望达到100%。与传统的TADF材料相比,新型TADF材料:具有“核”-“壳”结构的TADF树形分子(例如Cz-3CzCN和Cz-4CzCN等)、具有“TADF核”-“壳”结构的半导体TADF聚合物(P-Cz5CzCN),可以钝化薄膜内的缺陷的同时,还可以有效地抑制TADF发光核之间由于直接接触所导致的激-激淬灭,进一步提高激子的利用率,使绿光和蓝光PeLEDs的效率和稳定性得到极大的提高。这种方法在基于3D的钙钛矿发光薄膜(CsPbBr3)和quasi-2D钙钛矿发光薄膜(PEA2Csn-1PbnBr3n+1、p-F-PEA2Csn-1PbnBr3n+1)的PeLEDs中得到了论证。该方法也可以应用其它类型的钙钛矿发光器件,以实现高效率和高稳定性,为钙钛矿发光器件的商业化提供一条可行的参考策略。
团队及作者介绍
课题组依托于广州大学物理与材料科学学院、广东省硅基信息材料与集成电路设计高校重点实验室。凝聚态物理是广东省特色重点学科,材料科学学科进入ESI全球前5‰,位列软科2021世界一流学科排名前201-300。团队目前有教授1位,副教授1位,讲师2位,助理实验师1位。主要从事新型发光材料与器件方面的研究。
潘书生,博士,广州大学物理与材料科学学院教授、博士生导师,先后在中国科学院固体物理研究所、新加坡南洋理工大学、香港理工大学等地从事科研工作。多年来在新型光电探测材料与器件、发光材料、非平衡材料生长等领域开展研究工作,取得了多项研究成果。发表SCI论文90余篇,引用3400多次,H指数34。申请日本、中国发明专利等10项(授权8项)。主持国家自然科学基金、广东省自然科学基金、人社部“香江学者”计划等。
高春红,博士,广州大学物理与材料科学学院副教授、硕士生导师,曾在西南大学物理科学与技术学院副教授。多年来从事巨磁电阻、有机/钙钛矿发光二极管和太阳能电池、探测器相关的材料与器件物理方面的研究工作。主持国家自然科学基金青年项目,中央高校一般项目,西南大学博士基金(引进人才计划),“光电信息技术”湖南省应用基础研究基地项目等。发表SCI论文30余篇,申请并授权中国发明专利5项。
葛军,博士,广州大学物理与材料科学学院讲师。曾在法国国家科研中心微电子电子及纳米技术研究所(CNRS-IEMN)从事研究工作,在加拿大国立科学研究院(INRS-EMT) 微纳加工实验室(LMN)做博士后,获评广州大学广州学者。多年来致力于神经形态计算,研究兴趣包括不同类型的阻变式神经形态器件及阵列系统,如硅基氧化物忆阻器、二维层状材料忆阻器,氧化物界面型忆阻器,光电多模态忆阻器等。主持国家自然科学基金、广东省自然科学基金、广东省教育厅、广州市科技局等多个科研项目。在主流研究期刊发表SCI论文20余篇,Google学术H指数15,申请和授权专利10余项。
审核编辑:黄飞