时间:2023-12-28 17:18
人气:
作者:admin
光学薄膜反射率测试方法
光学薄膜的光学性质和功能是通过干涉作用改变光在光学元件表面的特性,获得所需要的反射率或者透过率。

“测试方法”是光学薄膜制备中极为重要的一环,它的评价和反馈机制保证了产品的最终光学性能,其中最为基本和关键的是反射率和透过率测试。本期“福晶新视界”主要为大家介绍光学薄膜的反射率测试方法。
福晶科技持续引进各类先进测试设备和方法,已建立起分光光度计测试法、光腔衰荡法、激光直接测量法、透过率换算法等多种测试方法,根据不同产品的要求,来匹配最佳的测试方案。

01
分光光度计测试法
福晶科技最初引入PerkinElmer Lambda 900,通过相对法实现反射率测试。随着产能的扩充及测试技术的提升,公司目前拥有PerkinElmer、Agilent、Shimadzu等多品牌、多型号的分光光度计。
传统的分光光度计测量反射率为相对法测试,以熔石英片作为参考样品。先测量参考样品的反射光强Ι1,再测试待测样品反射光强Ι2,则样品的反射率Rs为:

其中,Rref是参考样品反射率。该方法适用于增透膜或抛光样品测试[1]。
区别于相对法,Cary全能型测量附件(UMA)可以自动测量各种不同角度、不同偏振光下样品的绝对反射率[2]。
样品测试区域和主要的光路系统如下:

反射测试曲线如下所示:

02
光腔衰荡法
Cavity Ring-Down,CRD
福晶科技亦具备利用光腔衰荡法测量超高反射率的测试能力,可对532 nm、1064 nm和1550 nm波段的超高反射率元件测量其超高反射率,测试范围可达到99.9%~99.9995%。值得关注的是,对1064 nm和1550 nm波长,福晶科技可以提供反射率高达99.999%的超反镜。
原理:
两片高反射腔镜组成光学谐振腔,当一束脉冲激光沿着光轴入射到腔内,忽略衍射及散射损耗,单脉冲激光在两个腔镜之间往返振荡时,遵从单指数衰减规律,其所测的反射率是衰荡时间的函数。因此,获取衰荡时间,即可求出待测样品的反射率。

腔内光子衰荡寿命:(1)

其中,α为腔内介质吸收系数,L为腔长,V是散射。谐振腔内损耗很小,可忽略不计。
简化后为:(2)

即:(3)

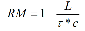
RM为两片腔镜的综合反射率:(4)

Rref为已知参考镜片反射率,结合(3)(4),计算出待测样品的反射率:(5)

从公式(5)可以看出,光腔衰荡法测量的高反射率是衰荡时间的函数。因此,通过探测器获取衰荡时间τ,即可求出待测样品的反射率[3]。
CRD测试1064nm反射率结果图示:

随着强激光传输系统功能的扩展,反射率超过99.9%的高反射率光学元件广泛应用于激光陀螺、强力波探测、激光核聚变等激光光学系统,其镀膜反射率直接关系到这些光学系统的性能。福晶科技公司引入CRD高反射率测试仪,实现高反射率元件反射率的精确测量。
03
激光直接测量法
激光直接测量法通过记录加入样品前后的功率比,计算出样品反射率:


04
透过率换算法
在不考虑样品吸收、散射的情况下,实际透明介质薄膜的反射率和透射率之和近似为100%,反射率便可以从透射率中采用R≈1-T的方法近似推算得到。其中T为样品透过率,R为反射率。因此只要测出透过率,即可计算出待测样品的反射率。

审核编辑:黄飞