时间:2023-10-19 08:16
人气:
作者:admin
球体是旋转对称的光学器件,其形状对应于球面的截面。曲率半径与几何中心的距离是不变的。这意味着只需指定一个参数,即半径R,就可以描述光学有效的表面。由于这个参数在整个表面上是恒定的,球体在制造方面具有成本优势。
球面的制造优势
在生产成本方面,球面取得了明显的优势。这要归功于它的几何形状。球体表面的均匀形状确保了简单的制造过程和更短的生产时间,特别是对于小直径的产品,因为在一个支撑体上可以同时制造多个光学器件。这也适用于光学检测和测量的过程,因为可以在整个表面上测量出均匀的、可以快速生成的结果。触觉测量方法(如轮廓仪或三维坐标测量机),但也有光学测量方法,如干涉仪和计算机生成的全息图(CGH)被用于测量球面。与其他光学方法一样,测量仪器的选择是基于成本和效益的比较,以便能够决定使用哪种方法。
球面的应用领域
球面的应用范围很广,例如在计量学、航空航天(安装在卫星内的光谱仪)或医疗技术(用于检查眼睛前段的裂隙灯)。由于低制造成本、快速生产时间和广泛的光学应用的结合,球体是光学市场的一个组成部分,并以非常好的价格性能比来说服人们。
球面单透镜的应用优化
根据不同的形状,球体的收集、散射或聚焦特性被用来将入射光线折射到所需程度。例如,在成像系统中,高图像质量起着决定性作用,并伴随着低成像误差。此外,它还可以通过考虑各种因素来提高--取决于现有系统的要求。这些因素包括,例如,所用光源的位置或有效孔径的选择。通过使用几个球体也可以提高图像质量,但这是一个关于镜头形状和光学系统现有空间条件的问题。通过选择有效光圈,也可以减少球面像差。其原因是对周边入射光线的阻挡。如果没有光圈,外围增加的曲率和由此产生的更强的光线折射会促进球面像差的发展。
多球面透镜组合
消色器是由一个或多个收集和分散透镜组合而成的。通常使用一个低折射率的正凸透镜和一个低折射率的负凹透镜,并将其粘合在一起。这样就形成了一个光学系统,改善了球差和色差。例如,在摄影领域的摄影镜头中,就使用了消色差。
非球面透镜
如果在一个光学装置中必须考虑各种因素,如高图像质量、数值孔径或最大限度地节省空间,非球面是最佳选择。非球面透镜是旋转对称的光学器件,其曲率半径在径向上偏离透镜的中心。由于这种特殊的表面几何形状,与球面透镜相比,非球面可以显著提高光学系统的成像质量。它们不同的曲率半径导致了对球面的偏离。
仔细观察镜头外围的平坦半径,就会发现与球面形状的偏差。一般来说,以下说法比较合适:当一个透镜的半径偏离球面形状时,它就是一个非球面。透镜的半径是以这样的方式确定的--如图3所示--有一个入射光线的束缚,它们相交于一个共同的焦点,从而防止球面像差。因此,非球面是一个优化的聚焦光学器件。相比之下,球体的入射光线随着与光轴的距离增加而发生更强烈的偏转,并且不在一个共同点上相遇。由球面引起的像差的结果是稍微模糊的、不清晰的图像。因此,非球体可以用来改善图像质量。
非球面的数学描述
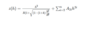
关于他们的光学设计,非球面与球体相比有更多的自由度,这意味着可以创造出更复杂的表面。传统上,旋转对称非球面的光学有效表面是由以下非球面公式定义的:

具体参数如下:
z = 表面的弧度
h = 垂直于光轴的距离(入射高度)
R = 半径
k = 圆锥常数
A2i = 校正多项式的非球面系数
如果非球面系数为零,则表面形状对应于旋转对称的圆锥截面。表示如下:

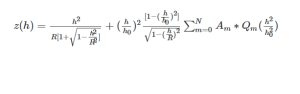
自从2015年出版的ISO 10110更新后,对非球面有了另一种描述。它基于一组正交的多项式,即所谓的Qbfs多项式,它对非球面的最佳拟合球面的偏转差进行建模。表面商在以下公式中给出:

新描述的优点是描述表面形状所需的有效数字更少。此外,最大的挠度偏差可以通过将最大的系数Am乘以这个系数的阶数的最大振幅来估计(见图4)。

图4:Qm的图形描述
用非球面缩小光学系统
与传统透镜相比,非球面透镜的另一个优点是可以减少光学系统的总长度。在光束扩展领域可以找到一个例子,就是来自ashericon的单片式光束扩展器。仅由一个单一的透镜组成,通过两个透镜表面中的一个非球面化,可以实现非焦点系统,它可以扩展光束,甚至更大的光束直径,而没有开口误差。由于该系统的非焦距特性,几个单片可以连接成一排。这允许减少光学系统,同时,改变总光束直径。由ashericon开发的光束扩展系统a-BeamExpander与传统系统相比,总长度缩短了50%。下图是一个10倍放大率(M=10)的开普勒和伽利略望远镜。这是与放大率相同但长度减半的a-BeamExpander的比较。

图5:BeamExpander
与开普勒和伽利略望远镜的比较
系统减少的现象也可以在其他光学排列中发现,例如在摄影镜头内。另一个有利的副作用是重量的减少。在 "每克都很重要 "的情况下,可以实现巨大的节约,例如在卫星检查中,如哨兵-4卫星。由欧盟和欧空局的哥白尼计划发起,哨兵-4卫星通过两个高分辨率光谱仪为欧洲和北非的环境管理提供可靠的实时数据。
非球面的生产和测量
就像球面一样,非球面也可以通过各种方法生产,例如通过研磨和抛光。长期以来,人们认为非球面镜只适用于实验室、研发项目或原型建造,大批量使用不经济。随着现代制造和测量技术的发展,非球面也可以以可重复的精度进行系列生产。通过增加批量,分配设置成本,最终导致单价降低。
asphericon公司完全数字化的生产世界是全世界独一无二的。从第一次与客户接触到最终光学系统的出货,所有的过程、信息和制造步骤都由内部开发的基于软件的控制工具进行数字化控制。因此,生产流程可以得到显著的优化,通过简单的数据分析(目标/实际)提高产量,并组织数据运输,没有损失。与此相伴的是制造过程的日益自动化以及对供应商和物流过程的数字化控制。
由于在选择工具方面具有高度的灵活性,可行的光学形状的范围也大大增加。因此,非球面镜片的几何形状对成本的影响越来越小。除了材料的选择和光学元件的直径外,表面形状偏差和表面质量是影响制造成本的主要因素。
近年来,非球面镜片的测量也变得更快、更不复杂。诸如用CGH测量、干涉测量法和使用探针的触觉测量等技术已被进一步优化,制造过程本身也是如此。此外,新的测量方法已经被开发出来,如倾斜波干涉测量。这个过程使用不同的倾斜波面,只需20到30秒就能完成对光学表面的测量。测量系统在许多子孔中无接触地获取光学元件,将这些元件的干涉图案组合成一个表面形貌,并确定与目标形状的偏差。
使用非球面镜
由于非球面具有纠正球面像差的能力,因此非球面的应用范围很广,例如在计量和成像方面,以及在激光应用方面(见 "用非球面缩小光学系统 "一节中的激光扩束实例)。例如,它们是对现代荧光显微镜、投影系统或激光系统的光学设置的补充。由于在光学系统中用非球体代替球面镜,具有系统缩小的特殊优势,可以额外减轻重量,这在航空航天领域起到了决定性的作用。例如,通过减轻重量,在发送地球观测卫星时可以降低燃料消耗。
球面VS非球面最后对比
非球面镜在成像质量方面明显占优势,但这仍然反映在较高的生产/测量工作上,因此与球面镜相比成本较高。然而,这被单个透镜的节省所抵消了。下表显示了两种透镜几何形状的比较。

上一篇:光学检测之角度分辨光谱技术的应用