时间:2023-08-16 12:03
人气:
作者:admin
一、
简介
本实验基于Liquid 公司moku:Pro和Stable laser公司的超稳腔系统,实现了对普通1064nm激光器的PDH稳频,获得了正确的调制边带和误差信号,并进一步对激光器进行锁频和PID锁定优化输出。
二
理论基础
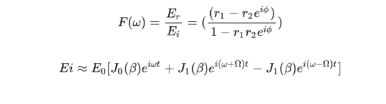
腔对于光场的反射率公式如下F(ω):

r1,r2是前后镜面的反射率,E为光强,ω,∅为本振频率和调制频率。
然后根据这两个公式可得从腔反射回的光场Er:
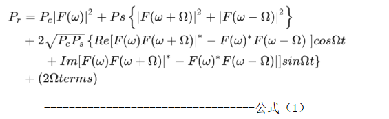
反射光场打到光电探测器中,光电探测器相应的是光功率Pr=ErEr*
经过计算有

上式第一行是直流项;第二行第三行是由载波和边带之间产生的干涉项,频率为Ω;第四行是两个边带之间的干涉项,频率为2Ω。
其中频率为 Ω的项中包含了在两个载波的参考下,激光频率偏离腔的谐振频率的失谐量。提取探测器的交流信息并且和调制频率的射频本振源混频并经过低通后(只剩频率为 Ω 的项和射频本振源混频的信号),就可以得到 PDH 技术的误差信号。
在载波和腔近似谐振的情况下,边带几乎完全被反射,即 F (ω ± Ω) ≈ −1,此时F (ω)F (ω + Ω)|*− F (ω)*F (ω − Ω)| ≈ 2iIm[F (ω)],
即可以忽略(1)式中的cosΩt项,只剩下sin Ωt 项。因此可以得到混频后(混频时需要使得本振源的信号和反射信号的相位差保持 90◦,以确保得到最大的误差信号。这可以通过在某一臂加入移相器或者简单的加长射频传输电缆的长度实现。)的误差信号为:


PDH误差信号
可以看出,若激光频率和光学腔共振频率一致时,PDH信号经过零点,当激光频率大于或小于光学腔谐振频率时,解调信号或正或负,满足鉴频特性,可以作为误差信号使用。
通过光电探测得到激光和参考腔之间的频率误差信号,对激光频率进行实时补偿,使之紧紧地锁定在参考腔的谐振频率上。这其中,从误差信号的获取到最终反馈到激光频率之间,需要对误差信号进行滤波,放大,平均等处理以后才能对激光频率进行最佳的补偿,这个中间过程中需要用到环路滤波器。通过环路滤波器反馈到激光器来保证超稳激光长期稳频。
三
实验内容
1064nm激光器首先经过一个光学隔离器,光学隔离器的作用是防止返回的光影响光的原有电磁场状态。然后来到一个分束器,分束器的作用是将一路光用来做PDH稳频,另外一路做稳频后的激光真实应用。用于PDH的稳频光路进入EOM调制器,再通过一个光纤环路器射入到超精细度超稳腔中,返回信号再耦合到光纤环路器中,由光纤环路器的另一端(part3)进入到探测器,然后产生反射信号。透射信号在超稳腔出射口位置放置。
Moku:Pro在这个位置起到了波形发生器,混频器,低通滤波器,PID控制器(快反馈给PZT,慢反馈给了温度反馈)的作用,然而这些功能都集成在了Moku:Pro的Laser Frequency Box功能里面。通过Laser Frequency Box可以给EOM进行调制,也可以产生三角波扫描信号,并同时监视输入信号,输出信号,并与反射信号进行混频产生PDH误差信号。通过获得的反射信号,并对其扫描信号的中间位置,自动找到锁定点,轻轻一点,就可以完成锁定。再通过PID进行优化,即可完更精细的PDH稳频。
实验光学设计图和电学设计如下图:

在没有加EOM调制的情况下,我们得到了正确的入射信号和反射信号:


加EOM调制后获得明显的边带

通过示波器来观察误差信号,可以看到明显的误差信号的产生。

通过锁定点锁定,获得了过零轴的误差信号,并成功锁定激光器的频率,再通过PID的优化调整输出稳定的激光功率。

总结
本文通过学习PDH稳频的基础理论,了解了误差信号产生的原理以及数学表达。在实验中,通过使用1064nm激光器,光学隔离器,EOM,环形器,Stable laser 公司的超精细度超稳腔和Liquid 公司提供的Moku:Pro的laser Frequency Box 功能方便简洁的对整个系统的透射信号,反射信号,误差信号,以及PID反馈信号的监视和参数的调整,快速的获得了透射信号,反射信号,PDH信号,以及锁定后的PDH信号。本系统的搭建快速,简便,方便使用者能够快速入手。