时间:2023-07-25 09:22
人气:
作者:admin
摘要:文章从多光束干涉的理论出发,介绍了光学薄膜的反射率并对其进行简单分析,进而说明光学薄膜作为增反膜(增透膜)应满足的条件,最后还给出了光学薄膜反射率与入射光波长之间的曲线关系。 关键词:反射率;增反膜;增透膜 现代的任何一种光学仪器或光电装置,几乎都与光学薄膜息息相关,如光纤通讯、生物晶片、光显示器。干涉仪、人造卫星、太空遥测系统、半导体镭射、微机电系统、光资讯的存储、及各式光学元件;或是日常生活用品,如眼睛、各式家电、及钞票上的防伪方法,都是光学薄膜技术的延伸,由此可见光学薄膜技术发展的重要性。对于光学增反膜和增透膜的工作原理及用途很多的文献都对其进行了分析和说明。本文从多光束干涉的理论出发,介绍了光学薄膜的反射率并对其进行简单分析讨论,从而说明光学薄膜的增透和增反作用应满足的条件,最后通过光学薄膜反射率与入射光波长之间的关系曲线,说明增反膜(增透膜)对可见光来说,只要不满足干涉相消条件,其反射率(透射率)都有所提高。
1 薄膜的反射率
设在一平面玻璃基片上镀上一层折射率为n的均匀薄膜,膜厚为h,如图1所示,薄膜两边的媒质折射率分别为n0和ng。当光束入射到薄膜上表面时,会得到一系列互相平行的反射光束1',2',3'…,和透射光束1',2',3'…,应用多光束干涉原理可以得到反射光的合成振幅,从而可以得到反射光强度:
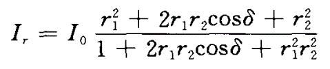
(1) 式中r1,r2为入射光束在薄膜上下表面的反射率,为反射光束中相邻光之间的相位差,I0为入射光强度,
其i中为折射角。 在正入射的条件下,有:
(2) 将(2)式代如(1)中,可以得到薄膜光强的反射率:
在没有镀膜时,光强的反射率为:
2 几点讨论
2.1 薄膜光强反射率与nh/λ的关系
在正入射条件下,取n0=1,ng=1.5薄膜光强反射率与nh/λ的关系曲线如图2所示,图中纵坐标为薄膜光强反射率,横坐标为nh/λ.由图2可以看出:
1) 在没有镀膜时,入射光强的反射率为一定值,在图中为一平行于横轴的直线.在镀膜时,薄膜光强反射率随nh/λ呈周期性的变化,其值大于或小于尺R0,说明光学薄膜可以增强或者减弱反射光(透射光).当n0
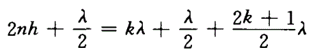
2) 图2中我们可以看出,当nh/λ=0.5k,(K=0,1,2,…)时,薄膜反射率R与R0相等,说明该光学薄膜不起作用。我们以增反膜为例分析其原因:
若nh=kλ,对增反膜有n0

(3) 始终满足相干光干涉相消条件,因而薄膜不起作用。对于增透膜也是如此,因而在这些点上R与R0相等。
3) 图2中只有当nh/λ=0.25k,(k=1,3,5,7…)时,增透膜R才能达到最大值,增反膜R达到最小值,也就是全透或者全反条件。同2)中所述,光束1,2,3…(1',2',3'…)满足的相干条件为:
(4) 为相干光干涉加强条件。
2.2 薄膜反射率与入射光波长之间的关系
我们分别选取n=2,h=100nm(增反膜),n=1.2,h=100nm(增透膜)给出了薄膜反射率与入射光波长之间的关系曲线,如图3所示。在薄膜厚度一定的条件下,R随λ而变化,只有满足(4)式,R才能达到最大值。
当薄膜相对于上下相邻介质的折射率确定,对可见光范围内入射波来说,只要不满足(3)式,光学薄膜反射率比不镀膜时(透射率)有所提高。要满足一定的工程要求,需要镀多层膜来是实现更高的反射率(透射率)。
3 总结
通过以上对光学薄膜反射率的分析讨论,可以看出光学增反膜(增透膜)应满足的条件。
而光学薄膜反射率与波长之间的关系,说明了增反膜(增透膜)对可见光范围内,只要不满足干涉相消,其反射率(透射率)都有所提高。
审核编辑:刘清
上一篇:舞台租赁LED显示屏关键注意事项
下一篇:首个抗反射集成光学隔离器特征