时间:2023-03-09 13:44
人气:
作者:admin
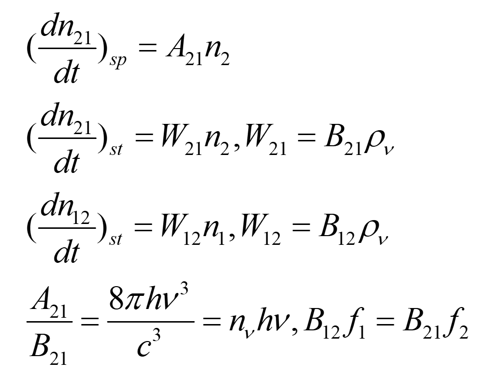
表征激光器腔内光子数和工作物质各有关能级上的原子数随时间变化的微分方程组,称为激光器速率方程组。 归纳共性,针对一些简化的、具有代表性的模型列出速率方程组,所谓的三能级和四能级系统。激光速率方程理论的出发点是原子的自发辐射、受激辐射和受激吸收概率的基本关系式。
1,爱因斯坦采用唯象法得到光和物质相互作用的关系式

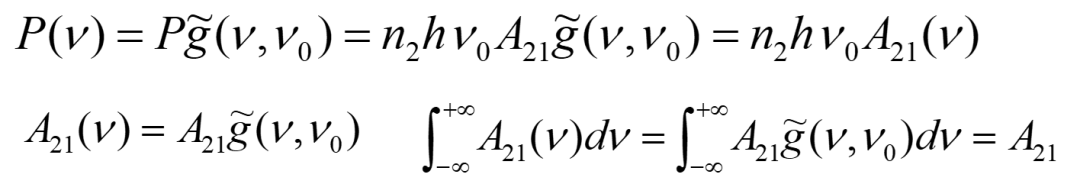
2,考虑线型函数后必要的修正
线型函数可以理解为跃迁概率按频率的分布函数


对表达式进行修正


3,原子和准单色光相互作用


4,发射截面和吸收截面



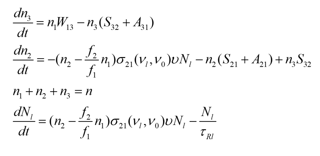
5,单模振荡速率方程组
三能级系统速率方程组:各能级集居数随时间变化的方程和激光器腔内的光子数密度随时间变化的规律。


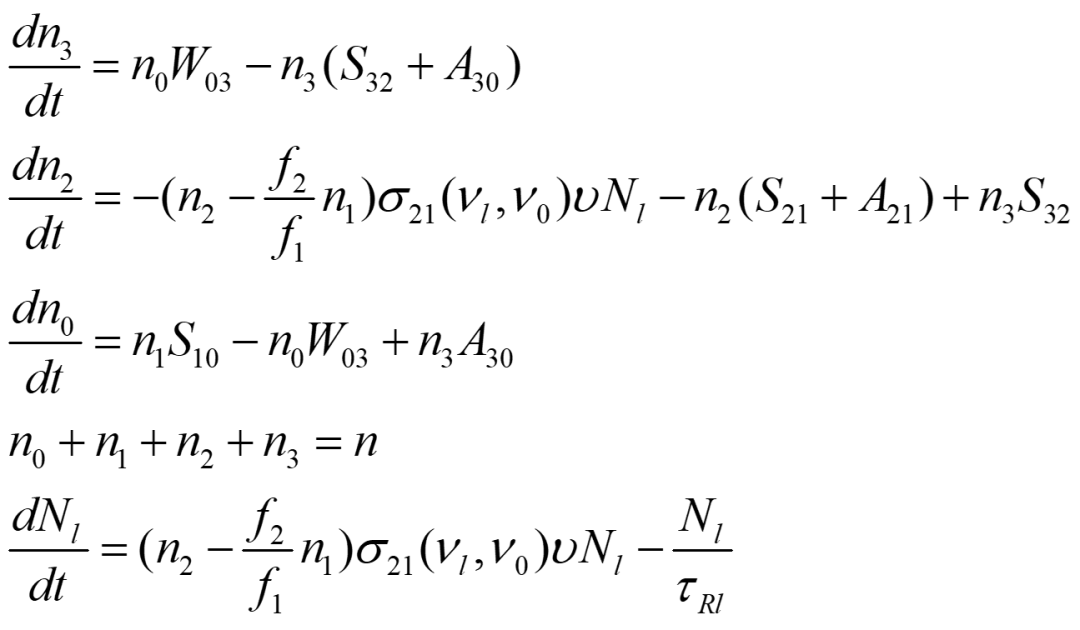
四能级系统速率方程组



采用激励速率和能级寿命来描述粒子数变化速率而不涉及具体的激励及跃迁过程。前面的速率方程忽略了激光下能级的激励过程,对大部分激光工作物质来说,这一忽略是允许的。根据所研究工作物质的激励与跃迁过程选择或建立适用的速率方程。
6,多模振荡速率方程




7,总量子效率

编辑:黄飞