时间:2012-07-20 14:26
人气:
作者:admin
摘要:无论是从保护电力系统的安全还是从保护用电设备和人身的安全来看,严格控制并限定电流谐波含量,以减少谐波污染造成的危害已成为人们的共识。
1. 总谐波失真THD与功率因数 PF 的关系
市面上很多的 LED 驱动电源,其输入电路采用简单的桥式整流器和电解电容器的整流 滤波电路,见图 1.

图1
该电路只有在输入交流电压的峰值附近,整流二极管才出现导通,因此其导通角θ比 较小,大约为 60°左右,致使输入电流波形为尖状脉冲,脉宽约为 3ms,是半个周期(10ms) 的 1/3.输入电压及电流波形如图 2 所示。由此可见,造成 LED 电源输入电流畸变的根本原 因是使用了直流滤波电解电容器的容性负载所致。

图2
对于 LED 驱动电源输入电流产生畸变的非正弦波,须用傅里叶(Fourier)级数描述。 根据傅里叶变换原理,瞬时输入电流可表为:

每一个电流谐波,通常会有一个正弦或余弦周期,n 次谐波电流有效值 In 可用下式计算:

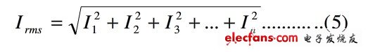
输入总电流有效值

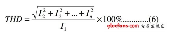
上式根号中,I1 为基波电流有效值,其余的 I2,3,分别代表 2,3,… n 次谐波电流有效值。 用基波电流百分比表示的电流总谐波含量叫总谐波失真(THD) ,总谐波含量反映了波形的 畸变特性,因此也叫总谐波畸变率。定义为

根据功率因数 PF 的定义,功率因数 PF 是指交流输入的有功功率 P 与输入视在功率 S 之比值,即

其中, 为输入电源电压; U cosΦ1 叫相移因数, 它反映了基波电流 i1 与电压 u 的相位关系, Φ1 是基波相移角;输入基波电流有效值 I1 与输入总电流有效值 Irms 的百分比即 K=I1 / Irms 叫输入电流失真系数。上式表明,在 LED 驱动电源等非线性的开关电源电路中,功率 因数 PF 不仅与基波电流 i1 电压 u 之间的相位有关,而且还与输入电流失真系数 K 有关。 将式(6)代入式(7) ,则功率因数 PF 与总谐波失真 THD 有如下关系:

上式说明,在相移因数 cosΦ1 不变时,降低总谐波失真 THD,可以提高功率因数 PF;反之 也能说明, PF 越高则 THD 越小。 例如,通过计算,当相移角 Φ1=0 时,THD=30% @ PF=0.9578;THD=10% @ PF=0.9950.
上一篇:LED回收的重要性和必要性
下一篇:安装LED灯带的5种方法