时间:2011-09-23 11:18
人气:
作者:admin
基于MEMS的闪耀光栅数字微镜显示技术是一种全新的显示技术, 它的基本工作原理为:平行的复合白色光线以固定的入射角照射在闪耀光栅微镜阵列上,驱动电路驱动每个像素单元的闪耀光栅微镜偏转不同角度,在特定的衍射方向上得到的R、G、B以及不可见波长的光线经过成像镜头后形成彩色画面。
微镜结构设计的基本要求
闪耀光栅数字微镜显示技术的核心部件是闪耀光栅数字微镜。要达到便携应用和投影应用的目的,闪耀光栅数字微镜结构设计需满足以下基本要求。
尽可能减小显示单元的尺寸
为了得到准确的基色,要求入射的复合白色光线在微镜总像素尺度范围内保持平行,否则,由于入射光线的角度偏差,将导致画面色彩的偏离。当微镜总像素尺度较小时,容易得到理想的、具有较强亮度的平行照射光线。若增加像素单元尺寸,需要更大面积的平行强光,这无疑会增加光源系统的功率和制造成本。
尽可能提高像素的填充率
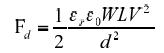
闪耀光栅数字微镜的填充率主要取决于像素间距,而像素间距的大小又与驱动方式有关。在MEMS系统中,最为高效的驱动方式为静电驱动。通过在两块板上施加电压,可以在板间形成静电场,两片板间的静电力由以下公式计算。

式中,er为相对介电常数,eo为自由空间介电常数,W是电极板的宽,L是电极板长,d是电极板间的距离,V为施加于电极板之间的电压,是垂直于电极板的静电力。
从以上公式可知,静电力的大小与电极板之间的距离平方成反比,与电极板的面积成正比,降低板间距离和增加电极板面积都能增加静电力。梳状电极是增加面积的常用方式,在单镜以及扫描镜成像方式中,梳状致动器被广泛采用。通常,梳状致动器需耗用较大硅面积,对于像素阵列而言,这将极大降低填充率,无法形成可以接受的显示画面。提高静电力的更好办法是尽可能降低电极板之间的距离。
采用尽可能低的驱动电压
从静电力公式还可以看到,静电力的大小与驱动电压的平方成正比。提高驱动电压可以有效地提高静电力。对于便携应用,电源通常是锂电池,输出电压多为十伏以内。这就要求微镜的驱动电压也必须与之相适应,基于固定应用的220V电压驱动电压显然不适合用于移动应用中。
确定的几何结构参数要确保微镜具有足够的强度和寿命
与GLV通过光栅节距的变化来实现光线的空间调制不同,闪耀光栅微镜是通过微镜的偏转,使入射光线的入射角发生变化来实现光线的空间调制。微镜的偏转主要有变形、移动、活塞和扭转等方式。变形、移动和活塞方式通常利用材料的变形来产生,例如,在压电或聚合材料上施加电压时,能使这些材料产生较大尺度的变形,经过运动机构的作用,使材料变形转变为镜面的转动。在以上方式中,扭转轴方式以响应速度快、黏结性低、无磨损的优点被广泛采用。扭转微镜结构设计时要考虑的主要内容是要能够用尽可能低的驱动电压达到所需偏转角度的同时,还需保证特定材料的几何结构能通过剪切应力的校核。
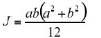
根据材料力学,矩形截面扭转轴的扭转角由以下公式确定:

式中,T为电极板产生的静电力引起的对于扭转轴的扭矩,L为扭转轴支点到扭转轴镜面连接点的长度,G为扭转轴所用材料的剪切弹性模量,J为矩形截面扭转轴的惯性矩。矩形截面扭转轴的惯性矩J由以下公式确定。

式中,a,b分别是扭转轴矩形截面的高和宽
从扭转角公式可以看到,扭转轴的扭转角度取决于材料的剪切弹性摸量、扭转轴长度、材质特性以及施加的力矩。在材料以及驱动静电力确定的情况下,扭转轴的截面尺寸和长度在很大程度上影响了扭转角的大小。当扭转轴的扭转刚度GJ变小时,相同的驱动电压下可以得到较大的扭轴转角。对于给定的扭矩和材料,计算出满足所需转角的几何尺寸后,还需利用计算出的几何尺寸反算扭转轴的剪切应力,只有当剪切应力在材料的许可范围内时,才能保证扭转轴具有可靠的寿命。
满足现有的半导体工艺制程
微镜结构设计的一个重要基础是结构设计须基于所采用的工艺制程来展开,不能将传统机械设计的传统加工方法应用到微机械的设计上。微镜结构拟订的工艺制程为表面加工技术。为了达到较高的1024×768的分辨率,最好采用0.13微米的工艺,这需采用8英寸晶圆的生产线来生产。为降低试制成本,也可以先设计640×480VGA标准的显示器,这样,就可选用我国普遍具备的6英寸晶圆生产线的0.5微米工艺来实施制造。
上一篇:大功率白光LED的可靠性探讨
下一篇:低功耗液晶电视LED背光源设计