时间:2022-11-08 20:45
人气:
作者:admin
一 概述
转向系统自汽车诞生起就开始了一步步的演化,与其他底盘部件相比,转向系统经历了最多迭代,且还在继续。与三十年前的车型相比,二十年前的车型在一个功能上就有了显著差异,液压转向系统转变为了电机驱动。在过去的十年中,又发生了另一种这样的转变,EPS经历了几次发展,已经成为了ADAS的一部分,不仅是车辆转向的一个因素,还会与操控、舒适性、安全性和转向感相关。转向系统对整车来说非常重要,很大程度上影响行车安全以及驾驶操控性。感受一辆车的操控性能,除了动力、底盘之外,更加直接的第一感触往往来自“路感”,也就是车辆的转向系统。转向系统性能好与不好,除了影响车辆操控性能之外,更关乎车辆的行驶安全。发展到今天,有了各种普遍使用的形式,汽车的转向系统经历了机械转向系统、机械液压助力转向系统、电控液压助力转向系统、电动助力转向系统的发展过程。传统纯机械转向系统几乎被替代,由机械液压助力转向系统(HPS),升级至电子液压助力转向系统(EHPS)之后,由电力驱动的电动助力转向系统(EPS)逐步占据主流。

在现代汽车系统及模块电子化的趋势下,转向系统电子化渗透率加速,电子控制执行系统技术不断涌现,电动助力转向逐步占据主流。

二 定义
汽车行驶中,驾驶员通过操纵转向盘,经过一套传动机构,使转向轮在路面上偏转一定的角度来改变其行驶方向,确保汽车稳定安全的正常行驶。能使转向轮偏转以实现汽车转向用来改变或保持汽车行驶或倒退方向的一整套机构(装置)称为汽车转向系统(Steering System)。汽车转向系统的功能就是按照驾驶员的意愿控制汽车的行驶方向,作用是通过驾驶员转动转向盘,根据需要改变汽车行驶方向。

汽车转向系统能够让汽车按照驾驶员的意愿改变行驶方向,也能让驾驶员利用这套机构,在汽车转向轮受到路面干扰作用自动偏转而改变行驶方向时,使转向轮向相反方向偏转,从而使汽车恢复原来的行驶方向。毋庸置疑,汽车转向系统对汽车的行驶安全至关重要。汽车转向系统和之前介绍的制动系统,都是保证汽车行驶安全的重要系统。
1.转向系统的基本要求
(1)良好的操纵性
(2)合适的转向力和位置感
(3)具有回正功能
(4)适当的路感
(5)工作可靠
(6)节能
(7)低噪声
三 组成(以机械式转向系统为例)
机械转向系以驾驶员的体力作为转向能源,又称人力转向系。汽车转向时,驾驶员作用与转向盘上的力,经过转向轴(转向柱)传到转向器,转向器将转向力放大后,又通过转向传动机构的传递,推动转向轮偏转,致使汽车行驶方向改变。汽车的转向,完全由驾驶员所付的操纵力实现的,操纵较费力,劳动强度较大,无法同时满足转向轻便和转向灵敏,但其具有结构简单、工作可靠、路感性好、维护方便等优点,多应用于中小型货车或轿车上。
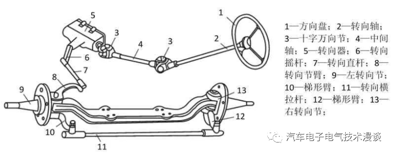
汽车机械式转向系统,是指不借助外在动力,依靠驾驶员操作,以驾驶员的体力作为转向动力来源,其中所有力学传递结构都是机械的。机械转向系由转向操纵机构、转向器和转向传动机构三大部分组成。其主要结构包括方向盘、转向轴、十字万向节、中间轴、转向器等,具体下图所示。

机械式转向系统结构图
在汽车转向时,驾驶员转动方向盘,通过转向轴将力矩传递到转向器,经转向器降速增矩后,通过转向摇臂与转向直拉杆传递到转向节臂上,使左转向节以及与其固定的左转向轮绕主销进行偏转运动。同时,左转向节及装于其上的左转向轮发生偏转会将运动通过左转向梯形臂、转向横拉杆以及右转向梯形臂的传递到右转向节,使得右转向节以及与其固定的右转向轮产生相同的偏转运动,从而实现车辆的转向功能。作为完全依靠人力的机械式转向系统,在车辆行驶过程中,人力和机械双重动作的配合,为保证汽车灵活和稳定的形式起到关键作用。





1.转向操纵机构
转向盘到转向器之间的所有零部件总称。转向操纵机构由方向盘、转向管柱、转向轴、转向传动轴、转向万向节、快拆器、快拆轴、轴承座等组成,它的作用是将驾驶员转动方向盘的力传给转向器。


(1)方向盘
古时候驾驭马车要控制好缰绳,现在驾驶汽车就要控制好方向盘。最早期的汽车方向控制是用舵柄来控制,那是连接在方向舵的控制杆。现在的汽车方向盘,结合安全气囊以及各种控制开关。时髦的环形,加上中间的喇叭,还有用来控制定速以及其他功能的开关。
方向盘是汽车中非常重要的组成部分,是汽车转向系统必不可少的组件,是每个人都非常熟悉的,也是我们开车时所掌握和控制的。因为它可以通过最大程度地控制车轮来确保更安全的驾驶,除了不时操纵的变速杆之外,您的手始终会放在方向盘上。简而言之,方向盘可让您控制汽车在道路上行驶的方向。过去的方向盘直径比较大,也相对较薄,并且主要由硬塑料制成。当今的方向盘设计很有舒适感,经过设计师设计,可以将方向盘设计得很“轻”,方便驾驶员使用,可以很好的握住方向盘。
▲ Audi steering wheel
方向盘的尺寸在驾驶中很重要,因为尺寸与转动方向盘所需的力成反比。这意味着方向盘的直径越大,转动方向盘所需的力就越小。相反,方向盘的直径越小,转动方向盘所需的力就越大。

转向盘包括轮缘、轮辐、轮毂,轮毂细牙内滑花健与转向轴连接。

转向盘上装有喇叭按钮,有些轿车的转向盘上还有车速控制开关和安全气囊。


转向盘集电环

转向盘电缆盘

(2)转向轴和转向柱 转向柱管固定在车身上,支承着转向盘;转向轴是连接转向盘和转向器的传动性;转向轴从转向柱管中穿过,支承在柱管内的轴承和衬套上。 转向轴和转向柱统称为转向管柱,将方向盘连接到转向系统在车轮附近或车轮中的其余部分。大多数现代汽车都配有由两根钢管组成的伸缩式转向轴,其中一根是实心的,另一根是空心的。

1)万向传动装置(转向万向节和转向传动轴)作用:
① 方便布置
②消除安装误差和安装支架变形引起的不利影响
③可以方便的实现转向盘和转向器等部件的通用化和系列化。
2)吸能机构:弯曲支架式、球式、波纹管式等,使用较多的是弯曲支架式。
①弯曲支架式




②钢球滚压变形转向管柱

③波纹关吸能式转向管柱

④网络式吸能式转向管柱

转向轴和转向柱管吸能装置的基本工作原理是:当转向轴受到巨大冲击而产生轴向位移时,通过转向柱管或支架产生塑性变形、转向轴产生错位等方式,吸收冲击能量。 ① 转向轴错位缓冲:当发生猛烈撞车时,转向轴上的上、下凸缘盘的销子和销孔脱开,缓和冲击,吸收冲击能量。

②转向轴错位和支架变形缓冲 转向柱管通过支架和U形金属板固定在仪表板上。当驾驶员身体撞击转向盘后,转向管柱和支架从仪表板上脱离下来向前移动。这时,一端固定在支架上的U形金属板就会产生扭曲变形并吸收冲击能量。

③转向柱管变形吸收冲击能量并缓冲
网格状或波纹管式转向柱吸能装置:当发生猛烈撞车导致人体冲撞转向盘时,网格部分或波纹管部分将被压缩产生塑性变形,吸收冲击能量。

3)可调整的转向机构-调整式

伸缩式转向管柱的调整

2.转向器
转向器(通常也叫转向机)是完成由旋转运动到直线运动的一组齿轮机构,同时也是转向系中的减速传动装置。转向器是转向系的减速传动装置,一般有1~2个减速传动副。转向器包括齿轮、齿条、弹簧、调整螺钉、锁紧螺母、石墨压块、防尘罩及防尘罩支座、轴承、壳体等。
(1)转向器传动效率
转向器的输入功率与输出功率的比值称为转向器的效率。
转向器的正效率:功率由转向轴输入,由转向传动机构(如转向横拉杠或摇臂)输出的传动效率;
转向器的逆效率:功率由转向传动机构输入,由转向输出的传动效率。
(2)转向器作用
将驾驶员作用在转向盘上的力矩放大,传给转向传动机构。转向器的作用是增大由转向盘传到转向节的力并改变力的传递方向,获得所要求的摆动速度和角度。即减速增扭、改变扭矩方向。
(3)转向器的分类
1)按其作用力的传递情况,可分为可逆式、不可逆式和极限式三种。
①可逆式转向器:逆效率很高的转向器,可以将路面阻力完全反馈到转向盘,驾驶员路感好,可以实现方向盘的自动回正,但可能易发生“打手”现象,常用。
②不可逆转向器:逆效率很低的转向器,让驾驶员丧失路感,无法根据路面阻力调整方向盘转矩;方向盘不会回正,易磨损,不用。
③极限可逆式转向器:逆效率略高于不可逆式的转向器,可以获得一定的路感,转向盘可自动回正,理想。
现代汽车一般不采用不可逆转向器,大部分采用可逆式转向器,部分越野车辆采用极限可逆式转向器。
2)按结构型式,可分为蜗杆曲柄指销式、循环球式和齿轮齿条式三种;循环球-齿条齿扇式、循环球曲柄指销式、齿轮齿条式和蜗杆曲柄指销式等。从目前使用的普遍程度来看,主要的转向器类型有4种:齿轮齿条式(RP型)、循环球式(BS型)、蜗杆曲柄指销式(WP型)、蜗杆滚轮式(WR型)等。
据了解,在世界范围内,汽车循环球式转向器占45%左右,齿条齿轮式转向器占40%左右,蜗杆滚轮式转向器占10%左右,其它型式的转向器占5%。循环球式转向器一直在稳步发展。在西欧小客车中,齿条齿轮式转向器有很大的发展。日本汽车转向器的特点是循环球式转向器占的比重越来越大,日本装备不同类型发动机的各类型汽车,采用不同类型转向器。在公共汽车中使用的循环球式转向器,已由60年代的62.5%,发展到现今的100%了(蜗杆滚轮式转向器在公共汽车上已经被淘汰)。大、小型货车大都采用循环球式转向器,但齿条齿轮式转向器也有所发展。微型货车用循环球式转向器占65%,齿条齿轮式占35%。
①齿轮齿条式转向器(RP型)
齿轮齿条式转向器是一种最简单的转向器。齿轮齿条式转向器是利用齿轮的旋转带动齿条左右移动。

a.组成
如下图所示轿车转向器主要由转向齿轮、转向齿条、转向器壳、调整螺钉等组成。

弹簧通过转向齿条压块将转向齿条压紧在转向齿轮上,以保证齿轮齿条始终无间隙啮合,有效地减小转向自由行程,提高操纵灵敏度,而其弹力的大小可由调整螺钉调整。

传动副:转向齿轮(主动件)、转向齿条(从动件)。
弹簧通过垫片、压块将齿条压靠在齿轮上,保证无间隙配合。弹簧预紧力用调整螺钉调节,螺钉端部起到限位作用,防止跳齿。
转向齿条通过两点支承在壳体上,橡胶支承套、齿轮齿条啮合点。

转向器通过两个U形支架和橡胶管支承并固定在副车架上,转向齿轮与转向轴和转向盘连接,两个转向横拉杆分别通过球头销与转向齿条的两端相连。

齿轮齿条转向器的四种结构型式:侧面输入两端输出;中间输入两端输出;侧面输入中间输出;侧面输入一端输出。

两端输出式

中间输出式

转向拉杆用螺栓固定在转向齿条中部,齿条移动带动左右横拉杆移动,实现转向。

b.特点
它的优点是结构简单、紧凑,质量轻、刚度大;转向灵敏,正、逆效率都高,制造容易,成本低廉;省略了转向摇臂和转向直拉杆,使转向传动机构简化,便于布置,而且特别适合于与烛式悬架和麦弗逊式独立悬架配用,还可以直接带动横拉杆,简化转向传动机构;具有结构轻巧,传力杆件少,维修方便,操纵灵敏等优点,目前广泛用于采用前轮独立悬架的轻、微型汽车和中、高级轿车上,如上海大宗桑塔纳、一汽奥迪、天津TJ7100等。
c.工作过程
驾驶员通过转向操纵机构,转向齿轮转动,从而使转向齿条移动,转向齿条通过转向直拉杆、转向摆杆和左右横拉杆,使两车轮绕主销偏转。
d.齿轮齿条转向机的设计
通过上面的介绍已经可以得到手力的大小,转向节臂的位置,断开点的位置,两个断开点之间的距离就是转向机的长度,同时也限制了转向机的布置。
通过需要的最小转弯半径,可以得到齿条的行程,通过方向盘最大转动角度可以得到齿轮的设计数据,通过齿轮齿条的配合得到相应的转动数据。
固定方式:通常采用螺栓螺母链接到车架。
②循环球式转向器(BS型)
循环球式转向器是目前国内外应用最广泛的结构型式之一,循环球式转向器正、逆袭率都很高,故操纵轻便,寿命长,工作稳定可靠;但是由于逆袭率很高,导致容易将路面冲击力传到方向盘上。

a.组成
循环球式转向器一般有两级传动副,第一级是螺杆螺母传动副,第二级是齿条齿扇传动副或滑块曲柄销传动副。为了减少转向螺杆转向螺母之间的摩擦,二者的螺纹并不直接接触,其间装有多个钢球,以实现滚动摩擦。转向螺杆和螺母上都加工出断面轮廓为两段或三段不同心圆弧组成的近似半圆的螺旋槽。二者的螺旋槽能配合形成近似圆形断面的螺旋管状通道,通道中装入许多钢球。螺母侧面有两对通孔,可将钢球从此孔塞入螺旋形通道内。转向螺母外有两根钢球U形导管,每根导管的两端分别插入螺母侧面的一对通孔中,导管内也装满了钢球。这样,两根导管和螺母内的螺旋管状通道组合成两条各自独立的封闭的钢球"流道"。
解放CA1092所采用的循环球式转向器由螺杆、螺母、齿条、齿扇、外壳等组成。
b.工作过程
当转动转向盘时,转向螺杆也随之转动,通过钢球将力传给转向螺母,使螺母即沿轴向移动。同时,在螺杆及螺母与钢球间的摩擦力偶(摩擦力矩)作用下,所有钢球便在螺旋管状通道内滚动,形成"球流"。钢球在螺母内绕行两周后,流出螺母进入导管,再由导管流回螺母,随着螺母沿螺杆作轴向移动,其齿条带动齿扇运动,齿扇带动垂臂转动,从而使转向垂臂产生摆动,通过转向传动机构使转向轮偏转完成汽车转向。在转向器工作时,两列钢球只是在各自的封闭流道内循环,不会脱出。



解放CA1040系类轻型载货汽车循环球-齿条齿扇式转向器。转向螺杆支承在两个推力角接触球轴承上,轴承预紧度用调整垫片调整。


c.特点
正传动效率高达90%~95%,操纵轻便,转向省力;
寿命长,工作平稳可靠;
逆效率也很高,容易打手;
适合用于经常在平坦路面上行驶的中、轻型载货汽车上。
③蜗杆曲柄指销式(WP型)
蜗杆曲柄指销式转向器的传动副(以转向蜗杆为主动件),具有梯形截面螺纹的转向蜗杆支承在转向器壳体两端的球轴承上,蜗杆与锥形指销相啮合,指销用双列圆锥滚子轴承支于摇臂轴内端的曲柄孔中。当转向蜗杆随转向盘转动时,指销沿蜗杆螺旋槽上下移动,并带动曲柄及摇臂轴转动。


a.组成
传动副 主动件:转向蜗杆 从动件:指销
具有梯形截面螺纹的转向蜗杆支承在转向器壳体两端的球轴承上,蜗杆与锥形指销相啮合,指销用双列圆锥滚子轴承支于摇臂轴内端的曲柄孔中。

东风EQ140型汽车采用的蜗杆双指销式转向器,主要由壳体、蜗杆、曲柄、指销、转向摇臂轴、上盖、下盖、调整螺塞及螺钉等组成。

双指销式转向器:
每个指销承受的载荷小,因此寿命长
一个指销脱离啮合,另外一个指销仍保持啮合,在采用同样的蜗杆时,运动范围大,所以当行程固定时蜗杆较短;
对蜗杆加工精度要求高

b.工作过程
汽车转向时,通过转向盘和转向轴使蜗杆转动,嵌于螺杆螺旋槽的锥形指销一边自转,一边绕转向摇臂轴摆动,并通过转向传动机构,使汽车转向轮偏转,实现汽车转向。
当转向蜗杆随转向盘转动时,指销沿蜗杆螺旋槽上下移动,并带动曲柄及摇臂轴移动。

3.转向传动机构
从转向器到转向节之间的所有传动杆件(不含转向节)总称为转向传动机构,包括转向摇臂、转向直拉杆、转向节臂、转向梯形结构等。

转向传动机构的功用是将转向器输出的力和运动(力矩放大)传到转向桥两侧的转向节,使两侧转向轮偏转,且使二转向轮偏转角按一定关系变化,以保证汽车转向时车轮与地面的相对滑动尽可能小。
(1)转向传动机构的组成和布置因转向器位置和转向轮悬架类型而异,有非独立悬架用转向传动机构和独立悬架用转向机构
1)与非独立悬架配用的转向传动机构
由转向摇臂、转向直拉杆、转向节臂和转向梯形等零部件组成,其中转向梯形由梯形臂、转向横拉杆和前梁构成。




2)与独立悬架配用的转向传动机构
为了满足转向轮独立运动的需要,转向桥是断开式的,转向传动机构中的转向梯形也必须断开。与独立悬架配用的多数是齿轮齿条式转向器,转向器布置在车身上,转向横拉杆通过球头销与齿条及梯形臂相连。




采用循环球式转向器:摇杆前端固定于车架横梁中部,后端借球头销与转向直拉杆和左右横拉杆相连,转向横拉杆通过球头销与梯形臂连接。


(2)组成
1)转向摇臂
转向器传动副与直拉杆之间的传动件。
循环球式转向器和蜗杆曲柄指销式转向器通过转向摇臂与转向直拉杆相连。转向摇臂的大端与转向器摇臂轴采用锥形细三角花键连接,以调整安装位置到正确角度、同时起到压紧和定位的作用。小端通过球头销与转向直拉杆作空间铰链连接。

2)转向直拉杆
转向摇臂与转向节臂之间的传动杆件,具有传力和缓冲作用。
球头销连接避免空间运动的干涉,压缩弹簧补偿球头和座的磨损,保证无间隙配合,弹簧预紧力用端部螺塞调整,开口销固定螺塞位置。

3)拉杆
拉杆是转向系统的一部分,其中来自转向器的动力或力被传递到位于每个车轮处的转向节。这种动力的有效传递是使车轮转动的原因。拉杆的长度也可以调节,以便更精确地设置汽车的对准角度。
4)转向中间轴的设计
根据车手的位置,座舱的空间,我们应该尽量找到中间轴合适的布置方式。布置前提是在保证安全,可靠的范围内找到最合适的方式,比如单万向节,无万向节,等速万向节等等。
5)转向横拉杆
转向梯形机构的底边,由横拉杆体和旋装在两端的横拉杆接头组成。长度可调,可用来调整前轮前束。
上下球头座用聚甲醛制成,耐磨性好;弹簧保证球头与球头座紧密接触,预紧力由螺塞调整;两接头用螺纹与横拉杆体连接,一端为左旋,一端为右旋,当转动横拉杆体,可调整横拉杆的长度,可以调整前轮前束。

球头座是刚制的;螺孔切口两边无耳孔,用螺栓通过冲压制成的卡箍夹紧在横拉杆体上,简化接头的结构和制造工艺。

关于可调节横拉杆和横拉杆与转向机链接绞点设计与选点
可调节横拉杆的组成:钢管,调节螺母,防松螺母,鱼眼轴承,塞打螺栓螺母及螺栓垫片。
通过两个一正一反螺纹的鱼眼轴承,实现横拉杆长度可调。

关于断开时式转向系统,断开点的选择:
一般常用的断开点选择方式。
由于我们赛车采用的是独立悬架,所以转向梯形采用断开式转向梯形,其主要优点是它与前轮采用的独立悬架相配合,能够保证一侧车轮上、下跳动时不会影响到另一侧车轮。横拉杆上断开点的位置与独立悬架形式有关。采用双横臂独立悬架时,常采用图解法(基于三心定理)确定断开点的位置。如下图所示:

a、延长KBB与KAA,交于立柱AB的瞬心P点, 由P点作直线PS。S点为转向节臂球销中心在悬架杆件(双横臂)所在平面上的投影。当悬架摇臂的轴线斜置时,应以垂直于摇臂轴的平面作为当量平面进行投影和运动分析。
b、延长直线AB与KAKB,交于QAB点,连PQAB直线。
c、连接S和B点,延长直线SB。
d、作直线PQBS,使直线PQAB与PQBS间夹角等于直线PKA与PS间的夹角。当S点低于A点时,PQBS线应低于PQAB线。
e、延长PS与QBSKB,相交于D点,此D点便是横拉杆铰接点(断开点)的理想位置。
三维空间动态跳动确定断开点:
这一步需要在悬架的基础上来做这个转向,悬架的上下摆臂,转向支柱,以及减震器的位置先确定,转向工做才能更好展开的,找转向器的铰点位置需要悬架的摆臂以及转向支柱的硬点先出来,你才能在悬架的基础上来寻找这个铰点位置。
要避免悬架上下跳过程中中引起的跳动转向,你需要用三维来模拟,在悬挂跳动的范围内取三个点,比如说你悬挂跳动行程是上跳150,下跳150,你就取悬挂跳动为0时,转向节臂的铰点所在位置取一个点,然后再上跳120时,再取一个转向节臂的铰点,下跳120时,再取一个铰点。通过这三个点,就能画出一个圆,这个圆的圆心,就是你装向器与横拉杆的球头中心。这样做出来的装向器铰点是比较准的。要在三维里模拟,二维不太准,你的主销有内倾和后倾得角度。
这个梯形底角和转向节臂的长度首先你可以在二维里模拟,主要是通过你画的转向特性曲线来判别是否合理,二维跟三维还是有差别的,二维模拟得出来的梯形底角和你三维校核出来的还是有区别的,二维只是参考,三维用来校核。
当然,这首先需要你给一个转向节臂的长度和梯形底角。
6)转向臂 转向臂用于将由转向联动装置产生的来回运动转换成由转向节执行的旋转运动。转向臂的形状使得它们有助于车辆更有效地转向,而轮胎不会撞到任何车轮或转向机构。
转向节臂设计
转向节臂可以说是转向系统中最重要的部分,转向节臂的设计好坏往往决定了整个转向系统的指向性和转向效率。
转向节臂的设计需求和设计依据:
转向节臂的设计需要的数据有车重,前后轴配重比,轴距,轮距,轮胎数据(轮胎宽度,轮胎类型,接地面积),整车最大重量,主销倾角,摩擦系数。
通过最大车重,轮胎接地面积,摩擦系数,转向机数据,方向盘最大直径,可以得到不同节臂长度(绞点到转向轴线的实际距离)与不同方向盘直径的配合,得到合适的方向盘手力,得到较舒适的驾驶感受,
得到转向节臂的最大受力进行静力学分析,确保转向节臂是可靠性。
阿克曼梯形在转向节臂上的体现:
常规汽车前轮转向阿克曼梯形一般都是通过转向节臂来实现的,通过梯形臂狡点与前轮轴线,转向轴线的狡点之间的夹角来实现阿克曼梯形。

转向节臂在转向轴线上的布置:
通过悬架得到主销后倾角,主销内倾角,转向轴线。转向节臂的布置常规情况是链接到转向轴线上,但是因为轮边结构的复杂性和局限性,常常不能得到理想的布置位置,特别是在前轮独立悬架,双叉臂结构的设计中很难得到合适的位置,转向节臂的位置还会影响后面的横拉杆,转向机的位置,所以位置的选择需要更多的考虑。

7)转向摇臂
转向摇臂是转向器传动副与直拉杆间的传动件。
转向传动机构:转向横拉杆、U型叉、转向节臂。
8)转向梯形的分类:
转向梯形主要分为整体式和断开式。
整体式转向梯形由:转向横拉杆、转向梯形臂、汽车前轴组成,常应用于非独立悬架的汽车上。这种方案具有结构简单,调整前束容易,制造成本低等优点;同时缺点是侧转向轮向上、下跳动时,会影响另一侧转向轮。

断开式转向梯形常应用于独立悬架的汽车上。最主要的优点是能配合独立悬架,保证两侧车轮跳动而互不影响。转向横拉杆是断开的,所以便于布置。但是由于杆系增加,结构变复杂了。容易产生间隙,降低传动效率。

阿克曼梯形
阿克曼转角的原理:
阿克曼原理的假设条件是转向轮定位角度都等于零、行走系统为刚性、汽车行驶过程无侧向力。阿克曼转向特性的基本观点是车辆在转弯过程中,每个车轮绕同一个中心转动,从而保证轮胎与地面间无滑动摩擦而处于摩擦力最小的纯滚动状态。对于两轴乘用车来说,前轮是转向轮,转弯时2个前转向轮的转向中心与后轴轴线延长线相交在一点,即符合阿克曼转向原理。
阿克曼梯形分类:

阿克曼转向梯形(正阿克曼转向梯形):如图(a)所示,转向时,内侧轮 转角比外侧轮转角大,两前轮轴线的交叉点始终在后轴的延长线上,这个几何 关系保证了所有轮子在没有滑动的情况下自由滚动,因为所有轮子只有一个转 向中心。 平行转向梯形:如图(b)所示,转向时,两前轮轴线互相平行,永远没有交 点。 反阿克曼转向梯形 :如图(c)所示,转向时,外侧轮转角比内侧轮大,且其 内外轮转角差与阿克曼转向梯形的转角差相等。
对于侧向加速度较小的车(乘用车),为了减少轮胎的磨损,一般使用阿克曼转向梯形。平行转向梯形主要应用于卡车或者客车,而反阿克曼转向梯形,主要应用在侧向加速度较大的车(赛车),优先发挥外侧前轮的侧向力。
转向梯形结构设计
转向梯形结构形式主要有整体式和断开式,当汽车前悬架为非独立悬架时,应当采用整体式转向梯形结构,当前悬架是独立悬架设计时,一般采用断开式转向梯形结构。
对于整体式转向梯形,直拉杆可位于前轴后或前轴前。如果汽车发动机位置较低或者车辆采用前轮驱动,一般选择前置梯形结构。前置梯形结构的梯形臂需向前外侧方向延伸,会导致与制动底板或者车轮产生干涉现象,所以在空间布置上存在着一定的困难。为防止直拉杆在车辆行驶于不平路面上遭到损伤,故直拉杆的设计位置应尽可能高些,至少要超过前轴的高度。
对于断开式转向梯形,转向特性由内、外侧转向轮实际转角差来衡量,影响最大的参数是梯形臂布置角,因此在设计过程中应优化梯形臂布置角度,以使断开式转向梯形达到最佳性能。
4.转向减振器
随着车速的提高,现代汽车的转向轮有时会产生摆振(转向轮绕主销轴线往复摆动,以至引起整车车身的振动),这不仅影响汽车的稳定性,而且还影响汽车的舒适性、加剧前轮轮胎的磨损。在转向传动机构中设置转向减振器是克服转向轮摆振的有效措施。转向减振器的一端与车身(或前桥)铰接,另一端与转向直拉杆(或转向器)铰接。

1.连接环衬套 2.连接环橡胶套 3.油缸4.压缩阀总成 5.活塞及活塞杆总成 6.导向座 7.油封 8.挡圈 9.轴套及连接环总成 10.橡胶储液缸
四 原理(以机械式转向系为例)
1.转向系工作原理
(1)转向过程
汽车转向时,驾驶员对转向盘施加一力矩,该力矩通过转向轴,输入转向器。经过减速增力传给转向摇臂再通过转向纵拉杆传给左转向节上的转向节臂,使左转向节和它所支承的左轮偏转,由于右转向节与左转向节之间用左、右梯形臂和横拉杆连接,故右转向节及支承的右轮也随之偏转相应的角度,实现了汽车转向。
(2)转向车轮的运动
汽车转向时,由于车轮再转弯过程中,内、外车轮滚动的距离不相等,必然会引起车轮边滚边滑动的现象,造成加速磨损。
2.转向运动参数
为实现汽车按照驾驶员的意愿顺利完成直线行驶或者转向这一功能,需避免车轮在转向过程中相对地面产生滑动阻力,尽可能保证车轮相对地面做纯滚动运动,这就需要汽车的各个车轮均按照自身对应的不同半径做圆周运动。 (1)转向中心 为了避免轮胎过快磨损,要求转向系能保证在汽车转向时,所有车轮均能作纯滚动而不发生侧滑,必须使汽车车轮转向轨迹符合一定的规律,必须使所有车轮的轴线都相交于一点o点,即要使各车轮都只滚动不滑动,各车轮必须围绕一个中心点O转动,交点o称为转向中心。如下图所示。显然这个中心要落在后轴中心线的延长线上,并且左、右前轮也必须以这个中心点O为圆心而转动。这个转向中心随驾驶员操纵的转向轮转角的变化而改变,因此转向中心也称为瞬时转向中心。

转向原理图
(2)车轮转弯半径是指:转动中心O与外转向轮与地面接触点的距离,也指从转向中心到转向外轮中心的距离称为转弯半径,用R表示。R=L/sinα,在理想情况下,最小转弯半径Rmin与Rmax的关系为:

当外转向轮偏转角α到最大允许转角αmax时,转弯半径最小,称为最小转弯半径。转弯半径越小,汽车转向性越好。
只用前轴转向的三轴汽车,由于中、后轮总是平行的,因此不存在理想的转向中心。计算转向中心时用一个与中、后轴线等距的平分线作为假想轴线。
(3)通过图示可知,转动中心O处于后轴中心线的延长线上,且左、右两前轮也需围绕中心点O做圆周运动,

内转向轮偏转角β大于外转向轮偏转角α,左、右前轮偏转角关系如下:
ctgα=ctgβ+B/L,
B-两侧主销中心距离;两侧主销轴线与地面相交点的距离;
L-汽车轴距
这个关系式是由转向梯形(前轴,左右梯形臂和横拉杆组成)来保证的。


3.转向系角传动比

(1)转向器角传动比:转向盘的转角增量与转向摇臂转角的相应增量之比iω1称为
转向器角传动比。转向器角传动比iω1,货车的约为16~32,轿车的约为12~20。
(2)转向传动机构角传动比:转向摇臂转角增量与转向盘所在一侧的转向节的转角相应增量之比iω2称为转向传动机构角传动比。iω2的数值较小,对于一般汽车而言,iω2大约为1。
(3)转向系角传动比:转向盘转角增量与同侧转向节相应转角增量之比则为转向系角传动比,以iω表示。

4.转向梯形与前展角
(1)前展
汽车转向时两转向轮内转角β与外转角α之差(β-α)称为前展。
(2)汽车转向分析
为了产生前展,将转向机构设计成梯形。使转向内轮与外前轮产生不同的偏转角,实现车轮的纯滚动。

5.转向盘的自由行程
(1)定义:转向盘空转阶段的角行程,称为转向盘的自由行程。
(2)产生原因:转向系统中传动件之间存在安装间隙。在转向开始阶段,所施加的转向力矩很小,用来克服转向系统内部摩擦,使各传动件开始运动直到间隙完全消除。
(3)作用:可以缓和路面冲击,避免驾驶员过分的紧张和疲劳;但过大转向盘自由行程会降低转向灵敏度。转向盘自用行程比较理想的情况是不超过10°~30°时必须进行调整。
6. 汽车转向系统关键技术
液压助力转向系统、电液助力转向系统、以及电动助力转向系统等都是通过在机械转向系统的原有基础上增加不同种类动力能源来实现转向,因此无论车辆使用的哪种转向系统,其最基本的机械结构依然可归于机械转向系统。下面通过三个方面浅析转向系统设计过程中需要注意的关键点。
(1)如何定义转向系统的核心要素?
整车的竞争实力往往取决于供应链的竞争实力。供应商必须根据整车和系统级的功能安全需求,完整地定义电机(产品)的功能安全特性,并从设计层面完全规避可能发生的失效风险。转向系统直接影响车辆的行车安全,稍不留意就会酿成重大后果,轻则召回,重则危害生命。郑州日产日前召回电动车共计3620辆,主要因为转向电机控制器(MCU)软件BUG问题,出现无转向助力的现象,会导致车辆发生事故,存在安全隐患。问题来了,一款好的转向电机需要达到哪些要求?转向电机是典型的功能安全零件,在设计层面,需要规避主要的安全功能失效模式,例如电机短路、堵转等,同时制造商还需拥有资深的功能安全团队,帮助客户把系统级的功能安全要求分解到电机上,并在电机层面提供定制化的方案。
从博泽第二代转向电机来看,性能有较大的提升。首先,博泽通过磁路与气隙的优化提升齿槽转矩,设计一个独立的减震元件,隔开定子和机壳之间的机械刚性连接,带来的直接好处是可以有效隔绝阶次噪音和振动。此外,电机的端盖和机壳上引进全新的激光焊接工艺,保证连接的强度、精度和气密性。

值得一提的是,相比上一代产品,博泽第二代模块化电机,材料使用率降低了20%,成本也有所降低,冗余设计更加灵活。实际上,电机实现冗余设计并不困难,但难点在于如何更灵活,客户不管是要双冗余还是四冗余,都可以很灵活地去实现,并且在不改变电机整体架构的情况下,改变一个接线盘就可以。
(2) 转向系统传动比确定
1)转向比和转弯半径
从技术上讲,方向盘的转向转化为转向比。通常,目前车辆的转向比范围在12:1至24:1之间。转向比为12:1意味着方向盘每旋转360°,轮胎就会旋转12°。重型车辆比轻型车辆具有更高的转向比。在不考虑重量的情况下,动力转向的比率低于手动转向的比率。EPS系统的增强现在允许可变转向比,在这种情况下,转向使用特殊设计的齿轮,中心的齿距(每英寸的齿数)与外部齿轮的齿距不同。
由于齿轮位于中间位置,这使得车辆在开始转弯时能够快速响应,并减少做功,尤其是在诸如停车等低速情况下。福特在2016款Edge上推出了与Takata合作开发的自适应转向系统。该系统使用的执行器包括在方向盘内的电机和齿轮系统,可以根据车速更改转向比。
福特表示,自适应转向技术可通过提高和降低高达30%的转向比来改善高速公路的舒适性和低速机动性。该技术通过不断调节驾驶员方向盘输入与前轮旋转之间的比率来提高效率。
转向系统传动比确定的目的是为了增加转向器的输出扭矩,减小驾驶员的输入扭矩,合适的传动比也会使整个转向系统能够合理使用有限的空间资源,满足整车总布置和整车转向性能的需要。
建立转向盘力Fh(N)与转向盘直径、转向器角传动比、转向垂臂长度、转向节臂长度的关系,见式2。

其中,Dsw—转向盘直径;
iw—转向器角传动比;
l1—转向垂臂长度;
l2—转向节臂长度;
MR—原地转向力矩;
在实际设计过程中,考虑到空间布置等因素,可将l1与l2的比值近似为1,根据式2,在转向力目标值、转向力矩一定的基础上,只需要考虑转向盘直径以及转向器角传动比。
(3) 转向系统结构布置
在车身结构已知的情况下,转向系统结构布置即看成是转向器的空间位置确定。转向器空间位置的确定直接影响到转向垂臂和直拉杆以及转向直拉杆和转向节臂之间的夹角,进而影响到驾驶员施加在转向盘上力值的大小,因此转向垂臂与转向直拉杆夹角的设计非常重要。 下面来看下一些转向系统设计。无论哪种类型的车辆,其转向机构都将始終包含3至4个基本组件,其中可能包括以下内容。







(4)转向不足 当您的前轮胎失去对路面的抓地力,将其一直拖到路边而不是跟随弯道的曲率时,就会发生这种转向。应对转向不足的情况通常包括:如果使用前轮驱动,则释放汽油;如果使用后轮驱动,则应用油门。

(5)转向过度
可以说过度转向与不足转向相反,但是这种转向是由于对后轮的牵引力降低而发生的。

(6)反向转向 就像即将发生转向过度时一样。这可以通过在相反方向上转动方向盘来实现。因此您要右转并遇到转向过度,则需要将方向盘向左旋转以进行补偿,以应对转向过度。

转向系统是任何现代车辆的重要组成部分。它基本由方向盘,转向轴和转向柱以及转向臂组成,尽管根据您的车辆所采用的转向系统的种类,在系统中添加其他组件并不罕见。转向的功能是确保在方向盘上执行的转弯运动有效地传递到汽车的车轮上。在转向系统设计方面,齿条齿轮系统已明显取代了转向臂机构,但仍然需要从整体上学习这些机构。
(7)前轮转向
汽车中最常见的转向就是前轮转向,根据驱动方式的不同又有:后轮驱动前轮转向和前轮驱动前轮转向两种,其中后轮驱动前轮转向主要是一些载重车辆,例如货车就是使用这一配置方式,来自发动机的动力通过传动轴经差速器将不同的扭矩分配给左右两轮,这种配置方式,一方面由于零部件增加造成成本增加,另一方面也会压缩车内空间和后备箱空间,使乘坐舒适性和实用性明显降低。对于轿车这种底盘较低的车辆来说会使后排车厢底部有隆起,影响后排乘客的乘坐舒适性,所以很多轿车品牌都采用前轮驱动兼转向的配置方式,既降低了成本又具有节省车辆空间,提升乘坐舒适性等优点。
对于前驱车来说,由于前驱车的重心靠前后轮又没有动力,在过弯时车头较重,受离心力的影响更严重,一旦这种力量达到轮胎抓地的极限,就会出现转向不足,但另一方面前驱车成本相较更低,其次由于驱动轮承受着发动机的重量,可以增加驱动轮的附着力,这对于在湿滑路面上行驶的汽车将会有很大的帮助。
对于后轮驱动的汽车来说,分工上就相对“公平”,后轮负责驱动,前轮来导向。这个驱动的形式在爬坡时会更好,因抓地力更强(例如在爬坡时车辆倾斜,根据受力分析大部分重量都分在后轮上从而增加了附着力),但在路面附着力偏低的时候,当急加速后轮会出现驱动打滑使后轮的抓地力会迅速下降,从而后轮没有足够的横向抓地力来使车尾保持预定轨迹行驶,车的尾部沿着圆弧的外切线发生滑移,这就形成了转向过度。而且后轮驱动成本比较高,但中高级的轿车基本大都采用后轮驱动。

汽车漂移其实就是利用了“转向过度”这一特性来完成的。由于后轮驱动的汽车更容易转向过度,所以,后轮驱动的汽车更容易实现漂移。很多性能车都采用后驱就是这个原因。
但当车辆以较高速度切弯时,出现的转向不足和转向过度情况,ESP的车辆动力学控制系统VDC会进行干预纠正,避免失控打滑或倾倒,例如,弯道中转向不足时通过对内侧后轮施加制动力进行修正,而弯道中转向过度则通过对外侧前轮施加制动力进行修正。

这也是为什么玩漂移要关闭ESP的原因。但不管怎样,对于前轮转向车辆,在急转弯时,车辆都会出现不同程度的侧倾。
(8)为什么汽车选择前轮转向?
生活中见到的汽车普遍都是前轮转向,有没有想过为什么?今天我们站在汽车操作稳定性的角度去简单理解一下。汽车的操纵稳定性是指在驾驶者不感到过分紧张、疲劳的情况下,汽车能遵循驾驶者通过转向系统及转向车轮给定的方向行驶,且当遭遇外界干扰时,汽车能抵抗干扰而保持稳定行驶的能力。
理论分析
进行汽车操作稳定性分析时,一般忽略若干因素影响,把汽车简化为二自由度的汽车模型,即沿Y轴方向的侧向运动和绕Z轴的横摆运动。可参考下图的车辆坐标系。

将车辆坐标系远点与汽车质心重合,二自由度车辆模型可简化为两轮车模型,如下图。

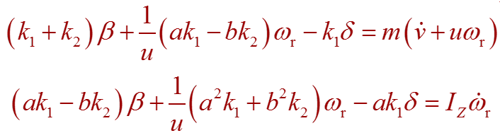
此处忽略繁琐推导(具体内容可参考汽车理论专业书籍),直接给出二自由度车辆运动微分方程式:

一般用稳态横摆角速度增益(横摆角速度与前轮转角)来评价稳态特性。
稳态时,车速和横摆角速度恒定:

带入车辆运动微分方程可以算出稳态横摆角速度增益:

其中,u可近似理解为车速,L为轴距,K为稳定性因数,与车辆参数有关。

如下图,当车速非常小时,侧向加速度接近于0。

此时的转弯半径有:

所以可由横摆角速度增益公式和R=u/wr计算车辆转弯半径为:

1)当K=0时,R=R0,车辆转弯半径不随车速变化,车辆稳定,此种稳态称为中性转向;
2)当K>0时,R>R0,车辆转弯半径随车速增大而增大,车辆稳定,此种特性称为不足转向;
3)当K<0时,R
相同车速下,转弯半径越小,侧向加速度越大,需要地面提供的侧向力越大,超过路面附着时就会发生侧滑甚至侧翻。
所以,一般车辆应具有适当的不足转向特性,保持车辆行驶稳定性。
定性理解
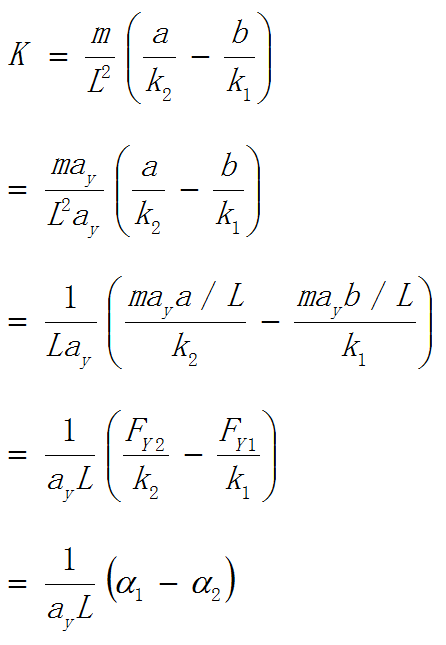
通过上面的理论分析,我们知道了车辆操稳性与稳定性因数直接相关,不过这个稳定性因素与车辆质量、轴距、前后轮侧偏刚度、质心位置等都有关系,但是这些参数之间存在耦合关系,不便于定性分析。所以我们对上述公式继续优化。
结合侧偏力计算公式:
对稳定性因数计算公式进一步处理:
式中,α1、α2分别代表前后轮侧偏角。可以看出,当α1>α2时,车辆趋于不足转向,稳定性较好。
如下图,对于一般的乘用车,一般前重后轻,即质心靠前(a
当车辆转弯时(转向角为δ),在离心力的作用下,前后轮都会产生侧偏力(Fy1、Fy2)来克服离心力。有:
Fy1*a*cosδ=Fy2*b
所以
Fy1=Fy2*b/( a*cosδ)
由于aFy2。一般情况下,前轮与后轮侧偏刚度差别不大(k1≈K2),所以α1>α2,车辆具有不足转向特性,如下图。
假如后轮为转向轮,则有:
Fy1*a=Fy2*b*cosδ
所以
Fy1=Fy2*b*cosδ/a
虽然a
也就是说,如果车辆使用后轮转向,当转向角较大时,车辆可能会从不足转向特性转化为过度转向特性,车辆转弯半径随车速急剧减小,增加了车辆的驾驶难度,操控不好很容易发生侧滑等失稳现象。一般地,前轮侧偏角有利于增加不足转向趋势,后轮侧偏角有利于增加过度转向趋势,所以汽车一般前轮侧偏角稍大,保证车辆趋于不足转向特性,保证操作稳定性。
以上,通过理论分析和定性理解,可以得出结论:
前轮转向使得车辆趋于不足转向,有利于车辆行驶稳定性,而后轮转向汽车,在某些情况下可能会出现过度转向特性,在高速行驶时是非常危险的,所以一般车辆选择更加安全的前轮转向。
(9) 结论
对汽车各种形式转向系统的机械转向系统关键技术进行了详细的分析。机械转向系统结构较为简单、工作可靠、成本较低,目前仍然有使用,主要用于一些转向操纵力要求较小、对操作性能要求比较低的车型上。液压助力转向系统技术相对比较成熟,可提供较大的转向操纵助力,在轻卡、重卡等中重型车辆上应用较为广泛。电液助力转向系统作为液压助力转向系统向电动助力转向系统的过渡技术,当前在部分车型仍有使用。电动助力转向系统作为车辆的标配,是目前技术发展的主流。在转向系统设计方面,对于转向系统传动比、转向系统的结构布置以及转向梯形结构等的优化设计,将会有效提升转向系统的性能,确保车辆转向的稳定性。
五 类型
汽车转向系统主要经历了机械式转向系统、液压助力转向系统、电控液压动力转向系统、电动助力转向系统几个阶段。目前,汽车上常见的助力转向系统根据动力源可以分为两类,即机械助力转向系统和电子控制助力转向系统,完全靠驾驶员手臂力量操纵的转向系统称为机械转向系统,借助动力来操纵的转向系统称之为动力转向系统。机械助力转向系统中以机械液压助力转向系统最为常见,电子控制助力转向系统可以分为电控液压助力转向系统和电动助力转向系统;有的分为液压电子控制动力转向系统和电子控制动力转向系统,电子控制转向系包括电子控制动力转向系和电子控制四轮转向系。电子控制助力转向系统主要由机械转向机构、转向助力系统和电子控制系统组成,优点:转向能力快、转向相应快、直线行驶稳定性好、低速机动性好
1.按助力来源不同,助力转向系统可以分为液压助力转向和电动助力转向(EPS),其中液压助力转向又可以分为机械液压助力转向(HPS)和电动液压助力转向(EHPS),其中机械液压助力转向发展最早,技术成熟、成本低廉,普及率高。
2.传动转向系可按转向能源的不同分为机械转向系、动力转向系(电动助力转向系、电控转向系),也分为机械转向系、液压式动力转向系和电动式动力转向系。
3.按汽车转向系统能源的不同可分为:
机械转向系统:以驾驶员的体力为转向能源,其中所有的传力件都是机械零件。
动力转向系统:兼用驾驶员的体力和发动机(或电动机)动力为转向能源,其转向系统中需要增加动力转向装置。动力转向系统又分为普通的动力转向系统和电子控制的动力转向系统。电子控制动力转向系统可为液压式电子控制转向系统:在传统的液压动力转向系统的基础上增设了控制液体流量的电磁阀、车速传感器和电子控制单元等,和电动式电子控制转向系统:在传动机械式转向系统的基础上,利用直流电动机作为动力源,电子控制单元控制电动机转矩的大小和转矩方向。
4.动力转向系统
由机械转向器、转向动力缸和转向动力阀三部分组成。
动力转向又称为助力转向(Power Steering),就是借助外力来帮助驾驶员完成转向动作。将发动机输出的部分机械能转化为压力能(或电能),并在驾驶员控制下,对转向传动机构或转向器中某一传动件施加辅助作用力,使转向轮偏转,以实现汽车转向的一系列装置。
为了减轻驾驶员的转向操纵力,现在的汽车基本上都采用动力转向。有了助力,在转向时驾驶员只需花费很小的力气,就能转动方向盘。动力转向系统就是在机械转向系
▲ BMW steering wheel
统的基础上加设一套转向加力装置而形成的。外来的加力装置可以有效减轻驾驶员操纵转向盘的作用力。由于助力转向系统具有转向轻便和响应性好等优点,已经在汽车上广泛使用。但是,固定助力效果的助力转向系统具有明显的缺点,虽然这种转向系统的助力效果在车速较低时能够起到很好的作用,但是当车速不断升高时,固定的助力效果会使转向盘过于灵敏,不利于驾驶者对方向进行控制。基于这种原因,设计人员通过电子控制技术在助力转向系统上增加了车速感应式转向功能,以实现车辆低速行驶时助力力矩大和高速行驶时助力力矩小的效果,这就出现了电子控制助力转向系统。有些车型配置的助力转向系统不是通过感应车速来改变助力力矩的大小,而是通过感应发动机转速来改变助力力矩的大小,但是这种助力转向系统应用得比较少。随着人们对车辆舒适性和安全性要求的不断提高,目前的电动助力转向系统已经不仅仅具有车速感应式转向功能,例如有些车型还具有“一般转向模式”和“运动转向模式”,并可以在2种转向模式之间自由切换。虽然电子控制助力转向系统分为两种,但是其工作过程大致是相同的,转向控制单元根据车辆的行驶速度和转向角度等输入信号计算出理想的输出信号,然后控制电动机输出适当的功率。
转向盘力随汽车运动状况而发生变化的规律称为转向盘力特性。汽车转向系应具有良好的转向盘特性才能完美地完成控制汽车。转向盘力特性决定于下列因素:转向器传动比及其变化规律、转向器效率、动力转向器的转向盘操作力特性、转向杆系传动比、转向杆系效率、主销位置、轮胎、地面附着条件、转向盘转动惯量、转向柱摩擦阻力以及汽车整体动力学特性等。
(1)系统组成
1)电动机
通常采用免维护无碳刷式电动机。这种电动机利用电子方式实现整流,而且没有碳刷的磨损,因此具有很好的可靠性和较长的使用寿命。当不需要提供转向助力时,电动机在很小的电流驱动下转动,这样当需要较大的转向助力时,电动机就可以立即提高转速以提供所需要的助力。
2)液压泵
采用齿轮式液压泵(下图)或叶片式液压泵(下图)。液压泵体内布置有共鸣室和限压阀,共鸣室的作用是降低液压泵的工作噪声,限压阀可以将液压控制在规定的范围内。当电动机转动时,带动机械液压泵驱动液压油流动。在更换液压油或更换助力转向系统部件导致空气进入液压管路时,电控液压助力转向系统需要执行排气程序,否则会导致转向时产生噪声或振动。
齿轮式液压泵
叶片式液压泵
3)转向角速度传感器
通常是霍尔式传感器,内置于转向盘内或转向机内,持续监控转动角速度,以作为转向控制单元控制助力的参考依据。例如,当车辆高速行驶时,在车速感应式转向功能的作用下,助力转向系统提供的助力作用会减小,但是行驶中有可能出现需要紧急转向的突发情况。当驾驶者猛打转向盘时,转向角速度传感器会感知这一变化并会向转向控制单元发出信号,转向控制单元控制电动机的转速迅速提高,助力作用会瞬间增大,以便车辆顺利完成转向动作。在拆卸和安装转向角速度传感器时,应注意将转向盘置于正中间位置。
4)转向控制单元
转向控制单元具有接收和处理各个传感器信号、输出执行信号以及监控系统工作状态等多种功能。
①转向控制单元接收来自发动机控制单元的车速信号或发动机转速信号,以及来自转向角速度传感器的角速度信号,并计算出理想的控制电流输出给电动机,以控制助力力矩的大小和方向。
②当系统存在故障时,转向控制单元会存储故障码并点亮仪表板上的EHPAS警告灯或EPAS警告灯。当监测到系统内电动机等部件出现严重故障时,转向控制单元会切断助力转向系统,此时机械转向系统仍然正常。
③为了保护电动机等部件,转向控制单元在适当的时候会起动临界状态控制程序。例如当转向机转动至极限位置时,由于此时助力转向系统的电动机不能转动,所以通过电动机的电流就会达到最大值,为了避免持续大电流导致电动机和控制单元损坏,所以当较大电流连续通过30s后,转向控制单元就会控制电流逐渐减小。当这种状态消失后,转向控制单元就会根据需要控制电流逐渐增大,直到达到正常工作电流值。
(2)动力转向系统的作用
减轻驾驶员的转向操纵力,提高驾驶舒适性
(3)对动力转向系统的要求:
动力转向系统只有在汽车转向时才提供转向力;
动力转向系统的响应要迅速;
根据汽车转向阻力的不同,动力转向系统应有不同的输出力。车速低或路面条件不好时,动力转向系统的输出力要大,要提供大部分的转向力;车速高时,动力转向系统的输出力要小,避免驾驶员失去转向路感。
动力转向系统密封要好,避免漏油。
(4)动力转向系统的类型
1)按传能介质不同,普通动力转向系统有气压式和液压式两种。气压式用于气压制动系得货车和客车,液压式应用广泛。
2)按动力源可分为如下:
①液压助力转向系统(油泵)
液压式动力转向系统由于工作压力和工作灵敏度较高,外廓尺寸较小,因而获得了广泛的应用。液压泵仅在必要时使电动机运转,故可以节能。不能满足在不同行驶工况下都有最佳助力作用的要求,高速时转向不稳。在采用气压制动或空气悬架的大型车辆上,也有采用气压动力转向向的。但这类动力转向系统的共同缺点是结构复杂、消耗功率大、容易产生泄露,转向力不易有效控制等。随着微控制器在汽车上的广泛应用,出现了电动式电子控制动力转向系统,简称电动式EPS。能满足在不同行驶工况下都有最佳助力作用的要求,简言之:低速轻便、高速稳定、低速助力多,高速助力少。
②气压助力转向系统(压缩机)
③电动助力转向系统(发电机)
3)按助力转向类型可分为
①电子可变量孔助力转向
电子可变量孔(EVO-Electronic Variable Orifice)动力转向系统
②旁通式助力转向
结构特点:旁路油压调节
③反力式助力转向
④电磁式助力转向
⑤电动液压助力转向
⑥电动助力转向
3)电动助力转向(EPS)系统利用直流电动机提供转向动力,辅助驾驶员进行转向操作。
相对于机械助力转向系统而言,电子控制助力转向系统具有以下优点。
①由于电子控制助力转向系统采用了电动机代替发动机驱动机械液压泵,这在一定程度上降低了发动机的负荷,从而降低了燃油消耗。
②根据技术性统计结果,车辆在正常行驶时,在超过85%的行驶时间内助力转向系统不需要提供助力。电子控制助力转向系统中的电动机在不需要提供助力时只有很小的电流通过,只有在需要提供助力时才会提高通过的电流,这样可以避免消耗不必要的电能。
③电子控制助力转向系统具有调校灵活的特点,通过修改转向控制单元内存储的软件,可以很容易地按照行驶需要设定或修改转向助力的特性,因此在低速和高速行驶时都能有良好的助力效果。
④由于采用了转向控制单元,在系统出现故障时可以使用故障诊断仪辅助故障的检修。
根据其助力机构的不同可以分为:
①电动液压助力转向(EPHS)系统
液压泵通过电动机驱动,与发动机在机械上毫无关系,助力效果只与转向盘角速度和行驶速度有关,是典型的可变助力转向系统。
由ECU提供供油特性,汽车低速行驶时助力作用大,驾驶员操纵轻便灵活;在高速行驶时转向系统的助力作用减弱,驾驶员的操纵力增大,具有明显的“路感”,既保证转向操纵的舒适性和灵活性,又提高了高速行驶中转向的稳定性和安全性。
液压式动力转向系统示意图如下:
电子式液压助力的结构原理与机械式液压助力大体相同,最大的区别在于提供油压油泵的驱动方式不同。机械式液压助力的液压泵直接是通过发动机皮带驱动的,而电子式液压助力采用的是由电力驱动的电子泵。
传统的液压助力转向只能根据转向盘转角的变化提供助力;电控液压助力转向系统在传动液压助力转向系统的基础上加装电控系统,使辅助转向力的大小不仅与转向盘的转角增量(或角速度)有关,还与车速有关。
②直接助力式电动转向系统(电子转向助力系统)/电动助力转向(EPS)系统/电动式动力转向系统
Electrical Power Steering,EPS,它利用电动机产生的动力协助驾车者进行转向。由电控单元、电源、助力电机、转向齿轮机构和转向传感器组成,没有了液压助力系统的液压泵、液压管路、转向柱阀体等结构,结构非常简单。
当汽车转向时,电控单元根据传感器检测的转向力矩及转向速度等参数,计算出最佳作用力后,使电机工作,推动转向,减轻驾驶员的劳动强度。
电子控制动力转向(EPS或ECPS)系统是根据车速、转向情况等对转向助力实施控制,使动力转向系统在不同的行驶条件下都有最佳的放大赔率:在低速下有较大的放大倍率,可以减轻转向操纵力,使转向轻便、灵活;在高速时则适当减小放大倍率,以稳定转向手感,提高高速行驶的操纵稳定性。
减小转向时的操纵力,减轻驾驶员的疲劳程度,特别是装用超低压扁平胎的乘用车更为必要。
根据车速的高低和行驶条件的变化(静态或动态;好路或坏路),提供合适的转向助力,提高汽车行驶的安全性、操纵性、稳定性。
电动式电动转向具有节能、无需油压管路系统,并不直接消耗发动机功率,环保优势强、安装自由度大等优点,但电能动力不如液压动力大,目前只用于前轴负荷较小的轿车上。
1、机械液压助力转向系统(HPS)
机械液压助力转向(Hydraulic Power Steering 液压式动力转向系)是在传统的机械转向系统的基础上增加一套液压转向加力装置而成的,主要包括齿轮齿条转向结构和液压系统(液压助力泵、液压缸、活塞等)两部分。一般由助力油罐、液压助力泵、油管、转向控制阀、转向器液压缸(转向动力缸)和活塞等一套液压助力装置构成。采用液压伺服控制方式构成的液压控制系统,主要由V型传动皮带、压力流量控制阀体、油管、动力缸、转向助力泵(液压泵)、转向柱、转向传动轴、储油罐等部件构成。如下图,
▲ 液压助力转向系统构造图
液压助力转向系统机构如下图所示。
液压助力转向系统结构图
转向系统部件位置图 ▼
工作原理是当汽车转向时,通过发动机皮带带动的液压泵(油泵)产生高压油,在控制阀的作用下,高压油进入动力缸,油压推动活塞,进而产生辅助力推动转向拉杆,辅助推动转向轮偏转,车轮转向。
转向液压泵安装在汽车发动机上,由曲轴通过皮带驱动向外输出油压,转向油管有进、出油管接头,通过油管分别和转向液压泵和转向控制阀连接。通过液压泵加压油液,实现利用液压泵产生的动力推动机械转向器工作,从而达到转向控制的目的。
利用人力与发动机机械能结合,采用液压作为动力,液压对人力的辅助,这时作用在转向盘的作用力就很小,实际操作中转向动作依旧是通过驾驶员来控制完成,但作用于转向机构上的动力能源由完全依靠人力改为由动力装置提供,从而减轻了驾驶员的劳动强度。液压式动力转向系操纵轻便,灵活省力,维护简单。目前,在汽车上的应用最为广泛,广泛应用于高速轿车和重型货车上。
液压转向助力泵由发动机驱动,产生转向助力油压,经控制阀向液压缸提供一定压力和流量的工作油液。汽车直线行驶时,转向控制阀将转向油泵泵出来的工作液与油罐相通,转向油泵处于卸荷状态,动力转向器不起助力作用。向右转动方向盘,转向控制阀将转向油泵泵出的工作液与R腔(右腔)接通,将L腔(左腔)与油罐接通,在油压作用下,活塞向下移动,通过传动结构使左右轮向右偏转,从而实现右转向。向左转向时,情况与上述相反。
▲ 直行 / 右转 / 左转
(1)组成
1)转向柱与转向器安装图 ▼
① 转向器
转向器分解图 ▼
带有液压助力齿轮齿条式的转向器系统如下图所示,它是将齿轮齿条式机械转向器与转向动力缸、转向控制阀设计成一体,组成整体式的动力转向器。动力缸活塞与齿条制成一体,将动力缸分成左右两腔。
动力转向缸活塞与转向齿条制成一体,活塞将转向动力缸(即转向器壳体)分成左右两腔;转向动力缸的助力直接作用在齿条上,齿条的动力由一端输出。
▲ 液压助力转向器总成
齿轮齿条式转向器的工作原理
当液压助力齿轮齿条式转向器在没有液压辅助的情况下,转向器的工作原理简图如下所示 ▼
在转向盘上施加的扭转力,通过中间轴传递到转向器主动齿轮(转向控制阀齿轮)上,因为主动齿轮轮齿(转向控制阀齿轮轮齿)与齿条轮齿处于啮合状态,将转向盘传递来的扭转力转换成齿条的线形力,使得齿条左右移动。线性力传递到内、外转向横拉杆,再传递到转向节,转向节扭转车轮方向。
2)转向油罐和转向油泵是实现动力转向的必备部件。
① 转向油罐
组成:油罐盖、罐体、过滤装置、进出油口等。
转向油罐的作用是储存/贮存、滤清并冷却液压转向加力装置(助力转向系统)的工作油液(一般是锭子油或透平油)。
②转向油泵
系统的核心部件是机械液压泵(下图),液压泵通过传动皮带由发动机驱动。
机械液压泵
动力转向泵分解图 ▼
转向油泵是液压助力转向系统的供能装置,其作用是将输入的机械能转换为液压能输出。转向油泵的类型:齿轮式、叶片式、转子式、柱塞式等。
流量控制阀的作用:根据系统中油液的压力,来调节流入转向器中油液的流量,从而对系统中油液的压力进行调整,防止系统液压过高。避免发动机转速过高时,流量过大,导致系统的功率消耗过多和油温过高。
柱塞下腔通出油腔;柱塞上腔通出油口;出油腔与出油口之间因为量孔的节流作用存在压差。
当流量过大时,出油腔与出油口的压差增大,流量控制阀上下腔的压差增加,导致弹簧被压缩,柱塞上移,将出油腔与进油腔接通,系统的流量降低。
安全阀的作用:限制系统的最高压力,避免转向阻力过大时,系统内部的压力过高会导致油泵、动力缸和管路过载而损坏。
动力转向泵总成的工作原理
动力转向泵常见形式为叶片型,其工作原理如下图所示 ▼
发动机转动转矩,经传动皮带传递到动力转向泵总成皮带盘上,并带动动力转向泵总成轴及转子转动。安装在转子上的叶片,因旋转的离心力作用被甩出,紧贴着泵环(泵后壳体)内壁旋转,将油壶内的转向液吸入泵腔内,并且将转向液经流量控制阀压入转向器,给转向器提供液压助力。
在液压转向系统中,如车轮的剧烈跳动和遇到坑洼路面导致轮胎出现非自主的转向时,可以通过液压对活塞的作用能够很好的缓冲和吸收震动,使传递到方向盘上的震动大大减少。机械液压助力技术成熟稳定,完全机械结构不依赖电子设备,可靠性高,路感清晰,方便驾驶员判断转向角度,因此应用十分广泛。
优点:
采用机械部件连接,操控精准,路感直接,信息反馈丰富
液压泵由发动机驱动,转向动力充沛,技术成熟,可靠性高,平均制造成本低
缺点:
但其缺点也很明显,结构较复杂,占用空间大,设计、制造和维护成本都较高。而且单纯的机械式液压助力系统助力力度不可调节,很难兼顾低速和高速行驶时对指向精度的不同需求,更不能满足自动驾驶需求。无论车是否转向,这套系统都要工作,而且在大转向车速较低时,需要液压泵输出更大的功率以获得比较大的助力。所以,也在一定程度上浪费了资源。尤其是低速转弯的时候,觉得方向比较沉,发动机也比较费力气。又由于液压泵的压力很大,也比较容易损害助力系统。还有,机械式液压助力转向系统由液压泵及管路和油缸组成,为保持压力,不论是否需要转向助力,系统总要处于工作状态,能耗较高,这也是耗资源的一个原因所在。一般经济型轿车使用机械液压助力系统的比较多。
低速大转向转弯时比较沉
依靠发动机动力来驱动油泵,能耗比较高
液压系统的管路结构非常复杂,油路经常保持高压状态,使用寿命受到影响。
传统的机械液压助力转向(HPS)会消耗发动机功率,液压泵转子与液压油之间的损耗会产生很大的能量损失,即使液压泵在不转向时也会消耗能量。而且系统结构复杂,泵、管路、液压缸等都需要定期维护保养,因此目前在小型轿车中已开始慢慢被淘汰。
3)转向控制阀
转向控制阀结构:扭杆用销2与转向齿轮连接,用销7与阀芯连接,阀芯与转向轴末端固定在一起,因而转向轴通过扭杆带动转向齿轮转动。
转向控制阀结构如下图所示 ▼
转向控制阀按结构分为:
①滑阀式转向控制阀
阀体沿轴向移动来控制油液流量的转向控制阀,简称滑阀。
特点:滑阀式转向控制阀靠阀体的移动控制油液流量。结构简单,工艺性好,布置方便,需要较大的轴向安装和运动空间。
②转阀式转向控制阀
阀体绕其轴线转动来控制油液流量的转向控制阀,简称转阀。
转阀结构:4个连通的进油通道A;4个通道B、C与动力缸的左右腔相连;4个回油道D;中空阀体与储油罐相连。
当阀体顺时针转过一个小角度会发生什么情况?
特点:转阀式转向控制阀靠阀体的转动控制油液流量。灵敏度高,密封件少,体积小,结构更先进,加工要求精度高,目前得到广发应用。
转向控制阀原理:
首先位于转向机上的机械阀体(可随转向柱转动),在方向盘没有转动时,阀体保持原位,转向控制阀处于中间位置,来自动力转向泵总成的油液从转向控制阀进油口流入阀腔;由于转向控制阀处于中间位置,使动力缸左右两腔相通,油液从转向控制阀出油口流回到油壶,活塞两侧的油压相同,处于平衡状态,因此液压助力就不起作用。
控制阀位于中间▼
当方向盘转动时,转向控制阀就会相应的打开或关闭,一侧油液不经过液压缸而直接回流至储油罐,另一侧油液继续注入液压缸内,这样活塞两侧就会产生压差而被推动,进而产生辅助力推动转向拉杆,使转向更加轻松。
控制阀左转 ▼
控制阀右转 ▼
当转动转向盘时,转向轴连同转向控制阀阀芯一起转动,因为受到转向节臂传来的路面转向阻力,动力缸活塞和齿条暂时都不能运动,所以转向控制阀齿轮也暂时不能和转向轴一起转动。这样,由转向轴传到转向控制阀齿轮的转矩只能使转向控制阀内的扭杆产生少许扭转变形,使转向轴连同转向控制阀阀芯得以相对转向控制阀齿轮产生不大的转动,从而转向控制阀使动力缸的一侧腔成为高压的进油腔,另一侧腔则成为低压的回油腔。作用在动力缸活塞上的高液压作用力帮助转向控制阀齿轮迫使转向齿条向一侧移动。同时转向控制阀齿轮本身也开始与转向轴同向转动。
只要转向盘继续转动,扭杆的扭转变形便一直保持不变,转向控制阀的助力作用也不变。一旦转向盘停止转动,动力缸的一侧腔内的高液压作用力暂时还继续存在,导致转向控制阀齿轮继续转动,使扭杆的变形减小,直到扭杆恢复到自然状态。转向控制阀恢复到中间位置,动力缸左右两侧相通,使液压助力不起作用。此时,转向盘即停驻在某一位置上而不动,则车轮转角保持一定。若再转动转向盘,液压助力又起作用。
动力缸活塞所受的液压力转换成线形力,帮助齿条左右移动,通过转向横拉杆,推动转向节及车轮的转动。
(2)分类
1)常压式 VS 常流式
对于普通液压动力转向系统按系统内部的压力状态分为常压式和常流式两种。
根据系统内液流方式的不同,液压转向加力装置有常压式和常流式两种。
常压式液压系统中总是保持高压;常流式只有转向时,液压系统才有压力。
①常压式液压动力转向系统
组成:油罐、油泵、储能器、控制阀、动力缸等。系统工作管路中总是保持高压。不转向时,转向控制阀处于关闭状态,只要转向,系统就给转向动力缸供压力,转向控制阀壳体与车轮有连接关系,壳体与阀同向运动,反应迅速。
下图为常压式液压转向加力装置的工作原理图,在方向盘保持中立位置时,转向控制阀经常处于关闭位置。液压泵输出的压力油充入储能器中,当储能器压力增长到规定值后,液压泵即自动卸荷空转,从而储能器压力得以限制在该规定值以下。转动方向盘时,转向控制阀转入工作位置。此时储能器中的液压油流入转向动力缸,加力于转向传动机构上。
常压式的特点是无论方向盘处于中立位置还是转向位置、保持静止还是运动状态,液压系统工作管路中总是保持高压。
▲ 常压式液压转向加力装置工作原理图
优点:
常压式由于有储能器积蓄液压能,可以在液压泵不运转的情况下保持一定的转向加力能力,使汽车有可能续驶一定距离。这一点对重型汽车而言尤为重要。
系统中一直存在高油压,响应快。用储能器积蓄液压能量,可以使用较小的油泵;在油泵不运转情况下可以保持一定的转向加力能力,使汽车有可能续驶一定距离。
缺点:容易引起压力漏油;油泵总要保持系统的压力,会降低油泵的寿命;储能器占用一定的空间;燃油消耗率高;
应用:目前只有少数重型汽车采用常压式转向加力装置。
②常流式液压助力转向系统
常流式系统的转向油泵虽然始终工作,但液压助力系统不工作时,油泵处于空转状态。不转向时,转向动力缸活塞两边的工作腔都与低压回油管相通而不起作用,液压泵实际上处于空转状态。转动时,转向控制阀处于与某一转弯方向相应的工作位置,转向动力缸的相应工作腔与回油管路隔绝,与液压泵输出管路相通,而动力缸的另一腔则仍然通回油管路。转向盘停止转动后,转向控制阀随即回复到中立位置,使动力缸停止工作。
▲ 常流式液压转向加力装置工作原理图
常流式液压动力转向系统
优点:结构较简单,液压泵(油泵)使用寿命较长,泄漏较少,消耗功率也较小。
缺点:转向后才建立系统压力,响应慢;为提高相应的速度需要使用较大的油泵;
应用:常流式转向加力装置则广泛应用于各种汽车。
2)按机械转向器、转向控制阀和动力缸的三者的组合及相对位置关系,分为三种
①整体式动力转向器;
齿轮齿条式机械转向器、转向动力缸和转向控制阀制成一体。
汽车直线行驶时:转向阀处于中立位置,使动力缸左右两腔相通,输入阀体的油液经回油管路流回转向油罐。(常流式转向阀)
②半整体式动力转向器;
③转向加力器
常流式转向加力装置结构布置方案图
常压式液压助力转向系统结构布置方案示意图
液压助力转向(HPS)系统缺点
不管是否转向,油泵始终处于工作状态;
油泵供油量一般根据发动机怠速时能使动力转向系统产生足够的转向助力所需的供油量确定,转速越高,供油量越大,而实际上动力转向系统所要求的供油量应该使随着转速的升高保持不变或下降;
结构复杂
功率消耗大
泄漏
2、电控(电子)液压(电液)助力转向系统(EHPS)
液压助力转向除了上面介绍的机械液压助力转向,还有电子液压助力转向(Electro-Hydraulic Power Steering),主要由储油罐(助力油储液罐)、转向控制单元(控制器)、电动泵(电动机/齿轮泵/液压泵)、转向机构(转向机)、EPS警告灯以及和助力转向传感器(转向角速度传感器)等构成。
▲ 电动液压助力转向系统构造图
电液助力转向系统结构图
(1)组成
液压动力转向电子控制系统由电子控制系统(ECU)、液压转向助力系统和机械转向机构三部分组成。
1)车速传感器
2)电磁阀
电磁阀工作状态
a)车速低:电流大,开度大
b)车速高:电流小,开度小
电磁阀工作特性曲线
a)电磁线圈的电流与车速的关系
b)阀的开度(节流面积)与电磁线圈电流的关系
3)分流阀
结构
4)电子控制器(ECU)
5)齿轮泵(液压泵)
齿轮泵为电液助力转向系统提供液压助力,齿轮泵由小惯量、内转子、三相无刷直流电机驱动,电源来自汽车12V蓄电池。
▲ 带电动机的齿轮泵(液压泵)
(2)原理
其原理与机械液压助力基本相同,转向机结构与液压助力转向机相同,最大的区别在于提供油压油泵的驱动方式不同,机械式液压助力的液压泵是直接通过发动机皮带驱动的,电子式液压助力采用的是由电力驱动的电子泵,是传统中由发动机带动的液压泵改为电动机驱动;同时引入了电控装置,在液压助力转向系统的基础上增加了传感器、转向控制单元等,利用ECU检测方向盘的转向角度,可随速度调节助力力度,由电力驱动电子泵对液压缸施力。轮速传感器的运用将车速引入到转向系统,转向控制单元根据不同的行车状态来控制电动机,从而控制电动液压泵的输出来达到控制整个转向系统动作的目的。 其中储油罐、齿轮泵(液压泵)、电机、转向控制单元集成一体,通过CAN与整车中央控制单元总线交换必要信息数据,电子液压助力转向系统的电子控制单元,利用对车速传感器、转向角度传感器等传感器的信息处理,可以通过改变电子泵的流量来改变转向助力的力度大小。
1)工作原理
电控液压助力转向系统(下图)中的电动液压泵工作,通过液压油为转向机提供助力。
电控液压助力转向系统的工作过程
电控单元根据车速调节作用在转向盘上的阻力,通过控制转向控制阀的开启程度来改变液压助力系统辅助力的大小,从而实现辅助转向力随车速而变化的助力特性。
2)控制系统流程
控制策略:电枢电压->电机转速/转矩->供油量->助力
(3)分类
从广泛意义上讲,电控液压助力转向系统分为两种。一种是为了实现车速感应式转向功能,而在机械液压助力转向系统的基础上增加了控制液体流量的电磁阀、车速传感器以及转向控制单元等,转向控制单元根据车速信号控制电磁阀,从而通过控制液体流量实现了助力作用随车速的变化。另一种助力转向系统是用由电动机驱动的液压泵(下图)代替了机械液压助力转向系统中的机械液压泵,
而且增加了车速传感器、转向角速度传感器(下图)以及转向控制单元等部件。
从性能上讲,采用电动液压泵的电控液压助力转向系统具有更好的性能。
液压式电控助力转向系统的结构
液压式EPS是在普通动力转向系统的基础上增设了控制液体流量的电磁阀、 车速传感器和电控单元,EPS ECU根据车速信号控制电磁阀,使动力转向的助力程度实现连续可调,从而满足汽车在不同速度下的不同转向助力需求,按控制方式不同,液压式EPS又分旁通流量控制式EPS、反作用力控制式EPS和电磁阀灵敏度控制式EPS三类。
1)旁通流量控制式EPS
在普通液压转向系统的基础上,增设旁通流量控制阀、车速传感器、转向盘角度传感器、控制开关和电控单元等元件。主要由车速传感器、电磁阀、整体式动力转向控制阀、动力转向液压泵和电子控制单元(EPS ECU)等著成。当车速很低时, EPS ECU输出的脉冲控制信号占空比很小,通过电磁阀线圈的平均电流很小,电磁阀阀芯开启程度也很小,旁路液压油流量小,液压助力作用大,使转向盘操纵轻便。当车速提高时,EPS ECU输出的脉冲控制信号占空比很大,使电磁线圈的平均电流增大,电磁阀阀芯的开启程度增大,旁路液压油流量增大,从而使液压助力作用力减小,以提高操纵稳定性。典型流量控制使EPS如下图,
流量控制式EPS的结构详见下图
① 流量控制式EPS的工作原理
EPS ECU 根据车速信号调节动力缸供油量,实现对转向助力大小的控制。
在转向泵与转向器本体之间设有旁通管路和旁通流量控制阀。按照车速传感器7、转向角速度传感器4及控制开关9的信号,EPS ECU8向电磁线圈3发出控制信号,控制旁通流量控制阀2的旁通流量,从而调整转向器5的供油量。当车速高速行驶时,其旁通流量减少,动力转向控制的灵敏度下降,故转向助力作用也相应降低,以满足高速时增强转向盘手感的需求。低速行驶时,其旁通流量增加,助力作用增强。
a.旁通流量控制阀的结构组成
阀体内装有主滑阀1和稳定滑阀2。主滑阀右端与电磁线圈柱塞3连接,主滑阀移动量与电磁线圈推力成正比,从而改变其左端流量主孔6的流通体积,并可通过调节螺钉4来调节旁通流量的大小。稳压滑阀的功能使保持流量主孔6前后压差的稳定,以使旁通流量与流量主孔的开口面积成正比。
b.稳压滑阀工作原理
当转向负荷变化使流量主孔前后压差偏离设定值时,稳压滑阀阀芯将在其左侧弹簧力和右侧高压油压作用下移动:如主滑阀压差大于设定值,则阀芯左移,使节流孔面积减小,流入主滑阀内的流量减小,主滑阀前后压差减小;反之,若压差小于设定值,则稳压阀阀芯右移,使节流孔面积增大,流入主滑阀内的流量增加,主滑阀前后压差增大,故流量主孔前后压差稳定,保证旁通流量仅与主滑阀控制流量主孔开口面积相关。
流量控制式EPS的优点是在原液压动力转向系统功能的基础上增加转向机构油量控制功能,故其结构简单、 成本低廉。但当流向动力转向机构油量降低到极限值时,由于快速转向会产生压力不足和响应速度慢的缺陷,故使其应用范围受限。
液压式EPS由于工作压力和工作灵敏度较高、 尺寸较小而获得广泛应用,但其缺点是结构复杂、 功耗较大、 容易产生泄漏、 转向助力不易有效控制等。
2)反作用力控制式EPS
主要由转向控制阀、分流阀、电磁阀、转向动力缸、转向液压泵、储油箱、车速传感器及电子控制单元(ECU)等组成。典型反作用控制式EPS如下图,
①当汽车停车与低速状态时,车速传感器将反映停车与低速状态的速度信号输送给ECU,ECU向电磁阀提供大的通电电流,导致电磁阀的导通面积变大,从而经分流阀分流的压力重新回到储油箱。所以作用与柱塞的背压(油压反作用力室压力)降低,于是柱塞推动控制阀轴的力变小,转向盘回程力可在扭力杆上产生较大力矩。回转阀被固定在小齿轮轴上,控制阀随扭力杆扭转作用相应回转,使两阀油孔连通。转向油泵油压作用与动力缸的右室(或左室),动力活塞向左(或向右)运动,从而增加了转向操纵力。
②当汽车处于中高速直线行驶状态时,直线行驶转向角小,扭力杆的相对扭力也比较小,回转阀与控制阀的连通通道的开度相应减小,使得回转阀一侧的油压升高,由于分流阀的作用,电磁阀一侧的油量增加。同时随着车速的增加,ECU向电池阀提供的通电电流减小,导致电池阀的导通面积变小,而作用于油压反作用力室的反压力增加,柱塞推动控制阀轴的压力也变大,增加了驾驶员手的操纵力,具有良好的转向手感。
③当汽车中高速转向运行时,扭力杆扭转角变得更小,回转阀与控制阀的连通口开度也变得更小,在回转阀一侧的油压进一步升高。随着油压上升,压力油从固定阻尼孔侧向油压反作用力供油,这时油压反作用力室出了具有分流阀向之提供的压力油外,还具有从固定阻尼孔流出的压力油,从而导致柱塞的背压增大,柱塞推动控制阀轴的压力也增大,转向盘操纵力随着转向角的增大而增大,所在高速时能获得稳定的转向手感。
3)电磁阀灵敏度控制式EPS
电磁阀灵敏度控制式EPS是根据车速控制电磁阀,直接改变动力转向控制阀的油压增益(阀灵敏度)来控制油压的方法。这种转向系统结构简单、部件少、价格便宜,而且具有较大的选择转向力的自由度,可以获得自然的转向手感和良好的转向特性。
电磁阀灵敏度控制式 EPS 的基本结构
基本结构如下图所示,
电磁阀灵敏度控制式动力转向系统,该系统在转向控制阀的转子阀作了局部改进,并增加了电磁阀、车速传感器和电子控制单元等。转子阀的可变小孔分为低速专用小孔(1R、1L、2R、2L)和高速专用小孔(3R、3L)两种,在高速专用可变孔的下边设有旁通电磁阀回路。
工作过程:
① 当车辆停止时,电磁阀完全关闭,若此时向右转动转向盘,则高灵敏度低速专用小孔1R及2R在较小的转矩作用下即可关闭,转向泵的高压油经1L流向转向动力缸右腔室,其左腔室的油液经3L、2L流回转向液罐(储油箱),此时具有轻便的转向特性;并且施加于转向盘的力矩越大,可变小孔1L、2L的开口面积也越大,节流作用越小,转向助力作用越明显。
② 当车速提高时,随着车速的增高,在电控单元作用下,电磁阀开度也呈线性增加,若此时向右转到转向盘,转向泵的高压油经1L、3R旁通电磁阀流回转向油罐(储油箱)。此时,转向动力缸右腔的转向助力油压就取决于旁通电磁阀和灵敏度低的高速专用可变量孔3R的开度,在电控单元控制下,车速越高,则电磁阀开度越大,旁通流量也越大,转向助力作用越小。
③ 当车速不变时,施加于转向盘上的转向力矩越小,高速专用小孔3R的开度也越大,转向助力作用也越小;当转向力矩增大时,3R的开度逐渐减小,转向助力作用也随之增大。
综上所述,此系统不仅具有较大的选择转向力的自由度,还可使驾驶人获得非常自然的转向手感和良好的速度转向特性,而且结构简单、部件少、价格便宜。
控制阀等效液压回路
特点:
①灵敏度控制式EPS对转向控制阀做了局部改进,并增加了电磁阀、车速传感器和电控单元。
②控制阀的可变小孔分为低速专用小孔(1R、1L、2R、2L)和高速专用小孔(3R、3L)两种
③ 在高速可变专用小孔的下边设有旁通电磁阀回路。
控制阀等效液压回路如下图所示。
电子可变量孔助力转向系统
系统构成
助力特点:低速、停车高速
(4)特点
传统液压助力转向由发动机驱动液压泵,而EHPS由电机驱动液压泵工作产生助力油压
电控液压助力转向(EHPS)虽比传统的液压助力转向先进一些,电控液压助力的电子泵,不依靠发动机本身的动力带动,而且电子泵是由电子系统控制的,不需要转向时,电子泵关闭,降低了能耗。采用电动液压泵,低速输出大扭矩,高速输出小扭矩。与液压助力转向系统相比,电液助力转向系统具有更好的转向感,反应也更加灵敏及更低的能耗。虽然采用了电能作为动力源,但是仍然保留有液压动力传递系统,因此电控液压助力转向系统仍然具有一些机械液压助力转向系统缺点,例如液压管路占用了大量的空间,系统结构复杂,以及液压管路使用时间长会有泄漏的可能等风险。仍然带有液压管路和储油罐等,系统不能实现模块化设计,各部件在车身上的布置仍然有一定的局限性。结构复杂、不便于安装维修及检测、造价较高,无法克服液压系统的缺点,如渗油问题、低温工作性能。
3、电动助力转向系统( EPS)
电动助力转向(Electric Power Steering)是在上述两种助力机构的基础上发展起来的,它利用电动机的力量作为转向助力,由机械转向机构、转向助力系统和电子控制系统组成。EPS主要由扭矩传感器、车速传感器、电动机、减速机构和电子控制单元(ECU)等组成。EPS用扭力传感器取代了控制阀,用助力电动机取代了液压油缸,省去了转向助力泵、油管、储油罐、液压油等,结构更精简。由于不使用液压油,因此不存在泄漏问题,也不会污染环境。这种转向系统省去了复杂的液压管路和储液罐等液压部件,因此助力转向系统在车身上的布置位置比较灵活。因为电子助力(EPS)结构更简单,成本有优势,传统的液压助力转向系统,很快就会被电子助力转向系统全面取代。车速变化不采用发动机的动力作为动力源,而是依靠蓄电池作为动力源。电动助力转向系统不需要复杂的控制机构,在电动机的输入端增加车速信号,只要根据车速变化需要改变电动机的电流大小和方向,改变转向助力大小(随速助力转向)就能实现助力转向系统的自动控制。
▲ 电动助力转向系统构造
电动助力转向系统(EPS)是一种直接依靠电动机提供辅助转矩的动力转向系统,以直流电动机作为助力源,采用电动机作为动力源,电子控制单元根据车速传感器信号和转向参数控制电动机通电电流强度,控制电动机转矩大小和方向,可以根据不同的使用工况控制电动机,调节加力电动机工作力矩,并将之加在转向机构上,使之得到一个相应的转向助力,提供不同的动力,进而控制转向助力强度,实现转向助力随车速的变化而变化,且仅在需要转向的时候提供转向动力,降低燃油消耗率,且转向更加轻便。电动式EPS的助力作用受电脑控制,在低速转向时的助力作用最强,随着车速的升高助力作用逐渐减弱。
电动机(电动助力转向机)
电子动力转向系统/电动式EPS主要由机械转向机构、转向助力系统和电子控制系统组成。是在机械转向机构的基础上,增加了电动式助力机构、转向助力控制系统后形成的。典型电动式EPS由转矩传感器、直流电动机、电磁离合器、减速机构和车速传感器、EPS ECU组成的。
电子控制动力转向(EPS或ECPS)系统是根据车速、转向情况等对转向助力实施控制,使动力转向系统在不同的行驶条件下都有最佳的放大倍率:在低速时有较大的放大倍率,可以减轻转向操纵力,使转向轻便、灵活;在高速时则适当减小放大倍率,以稳定转向手感,提高高速行驶的操纵稳定性。
以下原则说明了EPS系统是如何工作的:
转向柱的传感器检测转向角和扭矩
ECU分析来自传感器的输入并确定所需的协助量
安装在转向柱、小齿轮或齿条上的电机根据ECU的反馈提供协助
EPS(Electronic Power Steering system) 系统在机械转向机构的基础上,增加信号传感器(转矩传感器、车速传感器)、电子控制单元和转向助力机构(减速器、电动机),它在传统机械转向系统的基础上,根据方向盘上的转矩信号和汽车的行驶车速信号,利用电子控制装置使电动机产生相应大小和方向的辅助动力,协助驾驶员进行转向操作。电动助力转向系统(EPS)是一种智能化的转向系统,是机电一体化的产品,主要由方向盘传感器、控制单元和助力电机构成,通常由转向管柱、扭矩传感器、转向角速度传感器、速度传感器、电子控制器(转向控制单元或控制模块)、电动机(伺服电机)、转向机以及EPAS警告灯等机构组成,电动助力转向系统结构图如图5所示。电动助力转向系统(EPS)没有了液压助力系统的液压泵、液压管路、转向柱阀体等结构,设计和构造简单,通过减速器以纯机械方式将电机产生的助力传递到转向系统上。
电动助力转向系统结构图
电动助力转向系统(EPS)
(1)EPS工作原理
如下图所示,当驾驶员操纵转向盘时,安装在转向盘上的转矩传感器不断地测量转向轴上的转矩信号,该信号与车速信号同时输入到电控单元,EPS ECU根据这些信号确定助力转矩的大小和方向,即确定电动机的转向和工作电流,电动机的转矩经过电磁离合器和减速机构减速和增加转矩后,加到汽车的转向机构上,使之得到一个与汽车工况相适应的辅助转向力矩,以调整转向助力的大小。
在操纵转向盘时,转矩传感器根据输入转向力矩的大小产生相应的电压信号,由此电动式EPS就可以检测出操纵力的大小,同时根据车速传感器产生的脉冲信号又可测出车速,再控制电动机的电流,形成适当的转向助力。
主要是速度控制和电动机电流控制。速度控制是当速度高于某一值时,系统应停止对电动机供电,离合器处于分离状态,这时就按普通的转向控制方式工作。系统确定电动机电流的大小是按照汽车转向力矩和车速信号。当车速很低时,转向需要的助力大,此时供给电动机的电流值就应大;当车速接近45km/h时,转向需要的助力减少,此时供给电动机的电流值就应减少;当车速超过45km/h时,若无需助力,此时就应切断电动机的电流。
车辆启动后系统开始工作,当车速小于一定速度(80km/h),这些信号输送到控制模块,控制模块依据转向盘的扭矩、转动方向和车速等数据向伺服电机发出控制指令,使伺服电机输出相应大小及方向的扭矩以产生助动力,当不转向时,电控单元不向伺服电机发送扭矩信号,伺服电机的电流趋向于零。因此,在直行驾驶而无需操作转向盘时,将不会消耗任何发动机的动力,降低了燃油消耗。本系统提供的转向助力与车速成反比,当车速在一定速度(如80km/h)或以上时,伺服电机的电流也趋向于零,所以车速越高助力越小。因此,无论在高速、低速行驶操作过程中汽车具有更高的稳定性,驾驶员自身保持均衡不变的转向力度。
电子控制电动式动力转向系统的基本工作原理是根据汽车行驶速度(车速传感器输出信号)、转矩及转向角信号,由ECU控制电动机及减速机构产生助力转矩,使汽车行驶在低、中车速下都能获得最佳的转向性能。电动机连同离合器和减速齿轮一起,通过一个橡胶底座安装在左车架上。电动机的输出转矩由减速齿轮增大,并通过万向节、转向器中的助力小齿轮把输出转矩送至转向齿条,向转向轮提供助推转矩。电子控制器ECU根据各传感器的输入信号确定助推转矩的幅值和方向,并且直接控制驱动电路去驱动电动机。转矩传感器、转向角传感器和汽车速度传感器为助力转矩的信号源。EPS系统还设有安全保护装置,由一个在主电源电路中能切断电动机电源的继电器和一个安装在电动机与减速齿轮之间并能把它们断开的电磁离合器组成。只要系统发生故障,安全保护装置就会开始工作,确保安全。
电动式EPS主要工作原理是,在方向盘转动时,位于转向柱位置的转矩传感器将转动信号传到控制器,控制器通过运算修正给电机提供适当的电压,驱动电机转动。而电动机输出的扭矩经减速器降转速提扭矩后推动转向柱或转向拉杆,从而提供转向助力。电动助力转向系统可以根据速度改变助力的大小,能够让方向盘在低速时更轻盈,而在高速时更稳定。车辆启动以后系统正式开始工作,当车速低于某一速度时,系统会将车速信号反馈到控制模块,控制模块通过接收到方向盘扭矩值、行驶方向和车辆行驶速度等数据向伺服电机发出控制信号,伺服电机就会根据接收到的指令输出相应的扭矩以产生助动力。当车辆直线行驶不转向时,控制单元不会将扭矩信号发送给伺服电机,伺服电机的电流接近于零。因此在直行驾驶而又不需要转向时,将不会消耗动力。当车速高于某一速度时,伺服电机的电流也接近于零,所以助力是随着车速的增高而减小。基于以上情况,无论车辆行驶中是处于高速还是低速状态,汽车都具有很好的稳定性。
(2)电动助力转向系统(EPS)的分类
1)电动助力转向系统(EPS)根据电动机布置位置、电机驱动部位和机械结构的不同,可将电动助力转向系统(EPS)分为柱辅助型(C-EPS),齿轮辅助型(P-EPS)和齿条辅助型(R-EPS)
①转向轴助力式/柱辅助型(C-EPS)
结构紧凑,占用空间小;距离驾驶员近,直接测量方便;振动噪声大,要求电机噪声和振动小
柱辅助型C-EPS的助力电机安装于转向管柱上,在转向管柱下面连接的是一个机械式的转向机,电机助力转矩作用于转向管柱上。C- EPS 系统优点是:结构紧凑,其电机、减速机构、传感器及控制器等常一体化设计,布置在驾驶舱内,工作环境较好,不占用发动机舱的空间,方便发动机舱布置,成本较低。缺点是驱动电机的助力要通过转向管柱和转向齿轮传递到转向机上转向管柱部件受力较大,可提供的助力大小受到限制;另外由于电机和减速机构布置在驾驶舱内,更易引起驾驶舱内产生噪声;由于减速机构等安装在方向盘上,不利于转向轴的吸能结构设计。因此,C-EPS 适用于中小型乘用车。
②齿轮助力式P-EPS)
布置方便、转向助动力比较大,转向盘与转向器间有万
齿轮辅助型P-EPS助力电机和减速机构布置在转向齿轮上,驱动电机的输出力矩通过蜗轮蜗杆减速机构传递到转向齿轮上。P-EPS助力扭矩直接作用于转向齿轮上,因此可以提供较大的转向助力,助力效果较为迅速准确。助力电机和减速机构布置在发动机舱,有利于降低驾驶舱噪声水平。P-EPS 的缺点是:其电机和传感器等部件安装在发动机舱,器件的耐热与防水等环境要求高,成本较高。因此,P-EPS适用于需求助力较大的中型乘用车。
③齿条助力式(R-EPS)
刚度好,传力大,助动力最大,用于大转矩转向,适用于前轴负荷大汽车
齿条式R-EPS,助力电机和减速机构布置在转向齿条上,电机助力扭矩作用于转向齿条上。R-EPS 助力扭矩直接作用于转向齿条上,因此可以提供更大的转向助力,助力效果也最为迅速准确。助力电机和减速机构布置在发动机舱,有利于降低驾驶舱噪声水平。R-EPS 缺点是:其电机和传感器等部件安装在发动机舱,器件的耐热与防水等环境要求高,成本较高。因此,R-EPS 适用于需求助力较大的大中型乘用车。
本田雅阁轿车的前轮载荷较大,所需要的转向辅助力也大,因此采用齿条助力式电动转向系统。
螺母与电动机轴相连,电动机轴是中空的,里面穿过转向齿条。
汽车转向时,电动机轴驱动螺母旋转,螺母只转动不移动,从而通过滚珠带动螺杆移动,实现转向助力。
2)电动助力转向有两种实现方式,一种是对转向柱施加助力,是将助力电机经减速增扭后直接连接在转向柱上,电机输出的辅助扭矩直接施加在转向柱上,相当于电机直接帮助我们转动方向盘。另一种是对转向拉杆施加助力,是将助力电机安装在转向拉杆上,直接用助力电机推动拉杆使车轮转向。后者结构更为紧凑、便于布置,目前使用比较广泛。除了上述几种常见形式,一些公司还在此基础上发展出了随速可变助力转向。随速可变助力转向是指转向助力的大小可随着车速的变化而改变。这样有什么好处呢?在平时停车入库等低速行驶时,如方向盘转向轻盈确实很方便,但是如果在高速行驶时,方向盘转向过于轻盈反而是一种危害,因为不利于车辆高速行驶的稳定性。而随速可变助力转向可以做到这点,当车低速行驶时,它可以提供大的助力,保证方向盘转动轻盈和灵活;当车速较高时,它提供的助力就会较小,以增强行车的安全性和稳定性。电动助力转向系统中的电动机通过减速机构为转向机提供助力。当汽车低速行驶时,转向控制单元控制电动机输出较大的功率,使驾驶者可以轻松地转动转向盘;当汽车高速行驶时,转向控制单元控制电动机输出较小的功率,这样驾驶者在操纵转向盘时就比较稳定,也就实现了车速感应式转向。
(3)电动助力转向系统(EPS)的组成
电动助力转向系统(EPS)直接依靠电动机提供辅助转向动力。电子控制电动式动力转向系统的基本组成如下图所示,主要由车速传感器、转矩传感器、转向角传感器、电子控制器/电子控制单元ECU、电磁离合器、电动机及减速机构等组成。
基本构成:转向盘、输入轴、扭力杆、控制模块、减速机构、离合器、电机、传动轴、转向轴、车轮、横拉杆、转向齿条
基本机构:由转矩传感器、车速传感器、电控单元、电动机、电磁离合器和减速机构等组成。
主要优点:将电动机、电磁离合器、减速装置、转向杆等零部件设计装配成为一个整体,既无管道,也无控制阀,结构紧凑,质量轻;可按照汽车转向的需要设置和修改转向助力特性;取消了转向泵,不仅节约能耗,而且不必给转向泵加油,也不必担心漏油。该系统广泛应用于汽车公司的许多车型。
电动助力转向系统(EPS)结构示意图
EPS结构详见下图及其注解,
1)执行器
EPS的执行器包括直流电动机、电磁离合器和减速机构等。
减速机与离合器
降速增矩
高速:离合器分离,机械转向不受电机惯性影响
故障:离合器分离
①减速机构
与电机相连,实现降速增矩
电动式EPS减速机构有多种组合方式,一般采用涡轮-蜗杆传动与转向轴驱动组合方式,也有采用两级行星齿轮传动和传动齿轮驱动组合方式。为抑制噪声和提高耐久性,减速机构中齿轮一般采用树脂材料,或采用特殊齿形。
如下图所示,减速机构主要由蜗轮和蜗杆构成,蜗杆的动力来自于电磁离合器和电动机,经蜗轮减速增扭后,传送给转向轴,然后再通过其他部件传送给转向轮,以实现助力转向。
减速机构用来增大电动机传递给转向器的转矩。
涡轮蜗杆减速机构
电动式 EPS 的减速机构如下图所示,
马达的转动传到滚珠式减速齿轮机构,经过滚珠及蜗杆传到齿条轴上。
滚珠在滚珠式减速齿轮机构内部经过导向进行循环
滚珠式减速齿轮机构具有4个导引部件
②电磁离合器
采用干式单片式电磁离合器
电磁离合器可以保证电动助力只在预定的范围内起作用。当车速、电流超过限定的最大值或转向系统发生故障时,离合器便自动切断电动机动力,恢复手动控制转向。
单片干式电磁离合器
如下图所示是一种电磁离合器的结构,主要由电磁线圈、主动轮、从动轴、压板等组成。
电磁离合器
工作时,电流通过滑环进入电磁线圈,主动轮便产生电磁吸力,带花键的压板就被吸引,并与主动轮压紧,于是电动机的输出转矩便经过输出轴→主动轮→压板→花键→从动轴,传递给执行机构(蜗轮蜗杆减速机构)。
电磁离合器的主要功用是保证电动助力只有在预定的车速范围内起用。当汽车行驶速度超过系统限定的最大值时,电磁离合器便切断电动机的电源,使电动机停转,离合器分离,不起传递转向助力的作用。另外,在不传递助力的情况下,离合器还能消除电动机的惯性对转向的影响;当该动力转向系统发生故障时,离合器还会自动分离,此时又可恢复手动控制转向。
③ 电动机
根据电控单元指令输出适当的转矩
直流电动机的原理与启动机基本相同,通常采用永磁式电动机。电动机的输出转矩控制是通过控制其输入电流来实现的,而电动机的正转和反转则是由EPS ECU输入的正、反转触发脉冲控制的。典型的电动机正反转控制电路如下图,
电磁离合器原理如下图,
无刷永磁直流电机
特点:低速大扭矩,功率密度高,控制简单,只需增量位置传感器。
作用:马达直接驱动齿条
马达与齿条轴共轴,由转角传感器、定子及转子组成。
电动式EPS电动机与汽车起动用的直流电动机的结构原理基本相同,但一般采用永磁式电动机,其最大电流约为 30A 左右,电压为直流 12V,额定转矩为 10Nm 左右。电磁离合器的作用: 电动式 EPS 一般设定一个工作范围。例如,当车速达到 45km / h时,则不需要辅助动力转向,此时电动机就停止工作,为了使电动机和电磁离合器的惯性不影响转向系统的正常工作,电磁离合器应及时分离,以切断辅助动力转向,同时要求当电动机发生故障时,电磁离合器应自动分离。
EPS一般常采用直流无刷永磁电动机,无刷永磁电动机具有无激磁损耗、效率较高、体积较小等特点。
EPS用的电动机与起动发动机用的直流电动机原理基本相同,但它通常采用永磁磁场。最大电流一般为30A左右,电压为12V,额定转矩为10N.m左右。
EPS直流电动机要能正反转控制,如图所示为一种比较简单适用的控制电路。a1、a2为触发信号端。当a1端得到输入信号时,晶体管VT3导通,VT2得到基极电流而导通,电流经VT2、电动机M、VT3、搭铁而构成回路,于是电动机正转;当a2端得到输入信号时,电流则经VT1、M、VT4、搭铁而构成回路,电动机则因电流方向相反而反转。只要控制触发信号端电流的大小,就可以控制通过电动机电流的大小,也可以控图1-80EPS电动机正、反转控制电路制电动机输出转矩的大小。
用于转向支持的电机带有控制单元和传感单元,它安装在第二个小齿轮上。这样就建立了转向盘和齿条之间的机械连接。因此,当伺服电机失灵时,车辆仍可以通过机械传动进行转向。
2)转向器
转向器由转向扭矩传感器、扭转杆、转向小齿轮、传动小齿轮、蜗杆传动装置以及带控制单元的电机构成。
双小齿轮
双小齿轮电控机械助力转向系统中,由转向小齿轮和传动小齿轮将必需的转向力传递给齿条。驾驶员施加的扭矩通过转向小齿轮来传递,而传动小齿轮则通过蜗杆传动装置传递电控机械助力转向系统电机的支持扭矩。
3)电子控制器/控制单元(ECU)
为8位单片机系统或采用数字信号处理器,根据转矩传感器和车速传感器传来的信号进行逻辑分析计算,并发出指令控制电动机和离合器工作。应具有抗干扰能力,适应汽车多变的行驶环境。
EPS电子控制器(ECU)的基本组成如图1-83所示,其核心是一个具有256个字节的RAM、4KB容量的ROM、8位字长的单片微机(微处理器)。外围电路还有10位A/D转换器、8位D/A转换器、I/F(电流/频率)转换器、放大电路、动力监测电路、驱动电路等。
工作时,转向转矩和转向角信号经过A/D转换器被输入到中央处理器(CPU),中央处理器根据这些信号和车速计算出最优化的助力转矩。ECU把已计算出来的参数值作为电流命令值送到D/A转换器并转换为模拟量,再将其输入到电流控制电路;电流控制电路把来自微处理器的电流命令值同电动机电流的实际值进行比较,产生一个差值信号。该差值信号被送到驱动电路,该电路可驱动动力装置并向电动机提供控制电流。也即当转矩传感器和转向角传感器的信号经A/D转换器处理后,微处理器就在其内存中寻找与该信号相匹配的电动机电流值,然后将此值输送给D/A转换器进行数字模拟转换,处理后的模拟信号再送给限流器,由限流器来决定电动机驱动电路电流值的大小。微处理器同时给电动机驱动电路输出另一个信号,即可决定电动机(左转或右转)的转动方向。
电动式动力转向电子控制系统电子控制器ECU作用与液压动力转向电子控制系统控制器ECU基本相同。
此传感器与液压动力转向电子控制系统传感器基本相同。
4)传感器
①转向角度传感器
转向角度传感器位于复位环后侧,复位环上带有一个安全气囊滑环。转向角度传感器通过CAN 数据总线将信号传递到转向管柱电子控制单元J527,由此控制单元获悉了转向角度的大小。转向管柱电子控制单元中的电子装置分析这个信号。
转角传感器(分相器型)
通过检测马达的旋转角度防止扭矩波动
②转向扭矩(转矩)传感器
补偿线圈:补偿温度、电磁噪声
无触点式转矩传感器
功能 测量转向盘与转向器之间相对转矩M,作为电动转向助力主要依靠之一。
结构和原理:在输出轴的极靴分别绕由A、B、C、D四个线圈。
当转向盘处于中间位置(直线行驶)时,扭杆的纵向对称正好处于下图所示输出轴极靴AC、BD的对称面上,当在U、T两端加上连续的输入脉冲电压信号Ui时,由于通过每个极靴的磁通量相等,故在V、W两端检测到输出电压信号U0=0。
转向时,扭杆与输出轴极靴之间产生相对扭转变形,极靴A、D之间的磁阻增加,B、C之间磁阻减小,各个极靴的磁通量发生变化,于是在V、W之间就出现了点位差,其点位差U0与扭杆的扭转角θ和输入电压Ui成正比,其关系为U0=KUiθ,式中K为比例系数,通过检测U0可求出扭杆的扭转角θ,计算出转向盘转矩M。
用于测定转向盘与转向器之间的转向力矩。转矩传感器与输出特性如下图,
转矩传感器用于检测作用于转向盘上扭矩信号的大小与方向。接触式扭杆电位计传感器是在转向轴位置加一根扭杆,通过扭杆检测输入轴与输出轴的相对扭转位移,并将这种扭转变化输入给ECU。
接触式转矩传感器
转向扭矩传感器将转向盘扭矩直接传递给转向小齿轮。传感器根据磁阻原理进行工作。为了确保最高的安全性,它采用了双重结构(冗余结构)。
转向管柱连接在扭矩传感器上,转向器通过扭转杆连接在扭矩传感器上。连接转向管柱的元件上有一个磁极转子,在这个转子中不同磁极的24 个区域轮流交替。每次使用两个磁极来进行扭矩分析。
转矩传感器:测量驾驶员作用在转向盘上的力矩大小和方向,有的还测量转向盘转角的大小和方向。把两段转向在扭杆作用下产生的相对转角转变成电信号传给ECU。
扭矩传感器(分相器型)
扭矩传感器检测到扭转杆扭转变形,将其转变为电子信号并输出至EPS ECU。
扭矩传感器检测到扭转杆扭转变形,将其转变为电子信号并输出至EPS ECU
扭矩传感器由分相器单元1、2及扭转杆组成
转子部分的分相器单元1固定于转向主轴,转子部分的分相器单元2固定于小齿轮轴
扭转杆扭转后使两个分相器单元产生一个相对角度
分相器单元特性
扭矩传感器检测方法
每个分相器单元输出两个相位差90度的信号来检测相对角度
当静止时分相器单元的转子部分输出定值信号
当车辆直线行驶时分相器单元1和2输出的信号相同
转向时转子部分的两个分相器单元产生相对角度
EPS ECU根据两个分相器单元的相对位置决定对EPS马达提供多少电压
③转子转速传感器
转子转速传感器是电控机械助力转向系统电机的组成部分。无法从外部接触到转子转速传感器。
(4)转向过程
1)一般情况下的转向过程如下图所示:
①驾驶员转动转向盘时,转向支持开始;
②由于转向盘上扭矩的作用,转向器中的扭矩杆转动。转向扭矩传感器J269 探测扭矩杆的转动,并将探测到的转向扭矩传递给控制单元;
③转向角度传感器通知当前转向角度,而转子转速传感器通知当前转向速度;
④控制单元根据转向扭矩、车速、发动机转速、转向角度、转向速度和控制单元中的特性曲线计算出必需的支持扭矩,并启动电机;
⑤由第二个平行作用于齿条的小齿轮来进行转向支持,小齿轮的传动由电机来进行,电机通过一个蜗杆传动装置和一个传动小齿轮将转向支持力传递到齿条上;
⑥转向盘上的扭矩和支持扭矩的总和就是转向器上的有效扭矩,由该扭矩来传动齿条。
2)高速公路行驶时的转向过程如下图所示:
①换车道时,驾驶员轻打转向盘;
②扭转杆因此转动,转向扭矩传感器获悉扭转杆转动并通知控制单元,转向盘上有一个小的扭矩;
③转向角度传感器通知小转向角度,而转子转速传感器通知当前转向速度;
④根据一个小的转向扭矩、100km/h 的车速、发动机转速、小的转向角度、转向速度及控制单元中的特性曲线(100km/h 车速的特性曲线),控制单元获悉必须有一个小的支持扭矩或无需支持扭矩,继而启动电机;
⑤高速公路行驶时,由第二个平行作用于齿条的小齿轮来进行一个小的转向支持,或者不进行转向支持;
⑥转向盘上扭矩加上最小支持扭矩就是换车道时的有效扭矩,由该扭矩来传动齿条。
(5)EPS助力特性
1)定义
助力随汽车运动状态和方向盘受力变化而变化的规律
2)目标
停车和低速时转向轻便,高速时操纵稳定性
3)转向系的设计制约
轻与灵:变传动比,小转角灵,大转角轻
4)转向力与路感(转向感)
路感
①定义:转向过程中,转向阻力包含车轮侧向力信息,使汽车的运动状态(包括车轮与地面附着状况)与方向盘手力存在对应关系
当量路感强度
转向感基本上是车辆通过转向设备传达信息的能力,即当车辆驶过道路时如何管理道路及其状况。因此,转向感在转向系统中的功能与悬架系统的功能一样重要。电子设备是使转向感“麻木”的原因之一,以提供更平稳的行驶,但它也与车辆变重和轮胎变宽有关,所有这些都会影响转向感。
从根本上讲,动态转向力是最明显的反馈形式,反过来又可以转化为增强的转向感。尽管这种特性对驾驶员并不陌生,但随着汽车技术的进步,其性能的最大化和噪音最小化已变得至关重要。
②发展历程
现在,有几种转向系统可在极端恶劣条件的道路上提供强劲而稳定的转向感,减少驾驶员在转向时手所感受到的振动强度,从而使驾驶员能更好地控制转向。同样,早期EPS系统的“麻木”感觉也已在很大程度上得到缓解,特别是在C-EPS(Column EPS)系统中。 C-EPS有时与它的“麻木”感有关,这是由于其电机直接连接在转向柱上,增加了机械摩擦。此外,由于电机安装在转向轴的顶部,因此需要加强转向轴和相关接头的承受力,以承受电机转矩引起的扭曲。这也增加了惯性,因此增加了摩擦和麻木感。由于这些原因,C-EPS通常只用于便宜的小型车。
EPS系统的较早版本缺乏客户所期望的足够的转向感,但最新的EPS系统仍在努力改善这一特性。P-EPS(Pinion EPS)系统具有更好的转向感,且在大型车辆中越来越多地采用。但它们会带来安全隐患,因为电机位于踏板的前面,如果发生前端碰撞,可能会造成伤害。DP-EPS(Dual-pinion)解决了该问题,该系统的电机在第二个小齿轮上,远离转向柱。此外,电机与转向柱分离,有助于限制传递到方向盘的电机的内部摩擦。
如今,大多数C级轿车都采用这种DP-EPS,尽管它的功能不足以应付较重的车辆。 尽管EPS已经克服了转向感方面的问题,但它们仍必须与某些车型的HPS系统所提供的转向感来竞争。HPS系统通过使驾驶员感觉到路面不平整来应对路况,而EPS系统则感觉像是游戏机手柄一样,更加不连贯、更加复杂。EPS系统供应商正在努力通过ECU读取路况并将输入传递回转向系统来提供更好的处理,使行驶更平稳。 尽管EPS改善了转向反馈与转向感的平衡,发烧友们仍很迷恋液压转向反馈带来的那种直接的转向感。而对于相对缺乏转向感的EPS,采用重量来提供更多转向感已成为一种快速解决方案,但感觉并不一定意味着重量。转向重量和响应有时会与转向感混淆,EPS系统在一定程度上完善了这两个功能,但一直有人对EPS提供的转向感持怀疑态度。例如有些人抱怨宝马现在没了以前的那种感觉,但宝马提出了一种系统,将道路和转向系统的“好”和“坏”反馈分开,EPS通过将汽车锁定在直线路径上来对此进行补偿,此外,宝马通过调节转向扭矩在其2017款5系上实现了更好的转向感。 在从HPS转向EPS系统期间,转向感觉受到了很多关注。NSK是该行业中少数以HPS系统起家,但现在却果断放弃HPS转向EPS的供应商之一,NSK相关人员表示如果改变软件功能,我们可以轻松地改变驾驶感觉。实际上,一些专家认为正确的算法可以调节车辆所需的转向感。了解不同转向感的不同算法需求的供应商可能具有竞争优势。例如,2017年日产Leaf的EPS系统具有更线性的感觉,可改善在高速公路的操控。通过软件升级,借助与转向角传感器配合使用的新控制逻辑,转向系统可提供来自路面的增强反馈,并将转向扭力杆的刚度提高10%。 5)EPS助力特性曲线的确定 ①非助力装置的输入输出特性 方向盘作用力克服:车轮与地面摩擦、主销后顷内倾形成的回正力、转向系的摩擦阻力
②带助力装置的输入输出特性
③理想助力曲线
低速助力比较大,高速助力比小助力死区,与车有关
最大助力限制,保护电机和驱动
④转向力矩与转向助力输出电流之间的关系
⑤EPS控制包括如下功能
⑥对EPS助力特性的补偿
忽略电机和传感器的一阶环节,得到:
⑦助力特性影响系统的动态响应
仅采用比例助力特性的系统响应
(6)EPS的控制目标
1)减小转向操纵力,提供与手动转向一致的路感
电枢电压控制:方向盘转矩、转速和车速
电流控制:方向盘转矩和车速
直接方向盘转矩控制:方向盘转角、转矩和车速
2)提高转向盘回正特性,快速准确回正,避免高速回正摆振
方向盘回正控制:基于转向角传感器
基于电机转速积分估计转向盘位置
(7)电机电流控制方式
各种模式下电流控制
1)转向助力控制
转向过程中(不包括回正)
输入:转向盘转矩,车速
输出:查表计算电机控制电流
电流闭环控制
2)补偿控制
引入微分控制:降低助力增益变化对系统响应的影响
引入方向盘转速补偿:转速加大,补偿电流加大
3)回正控制
回正特点:低速时侧向力和回正力矩小,回正慢
高速时回正力大,容易引起摆振
回正操作的判断:方向盘力矩微分
回正电流控制:
低速时电流快速衰减
高速时电流逐渐衰减
4)中位控制
特点:
转向系惯性增加,回中位不易收敛
高速行驶时扰动
控制方法:
①电机短路形成阻尼
②电流闭环控制
③数字PID控制
④参数整定
⑤基于模型
⑥试验试凑
(8)电动助力转向的优缺点
1)EPS优点
现在汽车有三种转向系统存在,分别是机械、液压、和电子转向,在这三个转向系统中电子助力现在用的最广泛,也是优点最多的转向系统,电子转向有哪些优点?
①能够实现精确转向,增加汽车行驶安全性
根据车速的高低和行驶条件的变化(静态或动态,好路或坏路),提供合适的转向助力,提高汽车行驶的安全性、操纵性、稳定性。它能够在汽车转向过程中根据不同车速和转向盘转动的快慢,精确提供各种行驶路况下的最佳转向助力,减小由路面不平引起的对转向系统的扰动,不但可以减轻低速行驶时的转向操纵力,而且可大大提高高速行驶时的操纵稳定性,并能精确实现人们预先设置的在不同车速、不同转弯角度所需要的转向助力,通过控制助力电动机,可降低高速行驶时的转向助力,增大转向手力,解决高速时汽车“发飘” 问题,成本相对较低。助力获得方便,助力功率较小,助力效果好。
电子控制电动式转向系统能根据不同的情况产生适合各种车速的动力转向,不受发动机停止运转的影响,助力与发动机转速无关,在停车时,驾驶员也可获得最大的转向动力;汽车在行驶过程中,电子控制装置可调整电动机的助力以改善路感。特别是EPS电子随速助力转向系统能够让方向盘在低速时更轻盈,高速时更稳定,安全可靠。汽车在行驶中,EPS会依据汽车的速度来增加或减轻助力的程度,例如在低速运转和原地打方向时,增加助力程度,利于转向,在汽车高速行驶时,就会减少助力,防止转向过度造成交通事故。减小转向时的操纵力-减轻驾驶员的疲劳程度,特别是装用超低压扁平胎的乘用车更为必要。
②电动机、减速机、转向柱和转向齿轮箱可以制成一个整体,系统便于集成,整体尺寸减小,零部件少,所占空间较小,总布置更加方便,也易于装车;增加了电动机和减速机,不含任何液压机械结构,省去了油泵和取消了液压管道等部件,设计简便紧凑、结构简单、质量小,系统安装简便,系统安全可靠,使整个系统趋于小型轻量化显著,重量轻,电子控制电动式转向系统的重量可比液压式转向系统轻25%,比常规液压转向助力系统具有更好的通用性;因为零件的数目少,不需要加油和抽空气,所以在生产线上的装配性好。
③转换效率高
电子助力转向系统,以下简称EPS,是机械和电气连接,转换效率高达90%,节能降耗,而液压的转换效率只有60%。
④转向回正性好、“路感”好
EPS结构简单,内部阻力小,回正性好,在转向时可以得到最佳的转向回正特性,改善汽车的操纵稳定性。系统内部采用刚性连接,反应灵敏,滞后小,驾驶员的“路感”好。
⑤能量消耗少
对于液压转向系统而言,发动机运转时,液压助力泵就始终工作,增加发动机负荷,使汽车油耗增加4%左右,而动力转向装置不是发动机直接驱动的,电动机只是在转向时才接通,EPS只有在要转向时,转向电机才工作提供助力,并能在各种行驶工况下提供最佳转向助力,从而减少发动机负荷,减少能耗,节约燃油,成本低。EPS电子随速助力转向系统,相比传统液压助力系统,节油0.3L/100Km。
⑥保护环境
EPS没有液压油和油管,不存在漏油现象,对环境污染小;另外没有液压助力泵运转的声音,减少噪音污染,利于环保,环保性好。
⑦轻量化
在全球更严格的排放和燃油经济性法规的影响下,轻量化在汽车工业中已变得至关重要。这催生了更轻的EPS系统,可帮助车辆提高燃油效率。BAS和ZF-TRW加入了与NSK的合作,开发了一种轻型C-EPS系统,该系统是专门针对高燃油效率的中小型车辆开发的。该产品的转向齿轮箱比传统的更紧凑,从而使重量减轻了13%。该公司还借助扭矩传感器的监控功能提高了EPS系统的安全性。
此外,车辆重量的增加会给转向齿轮施加额外的力,尤其是在SUV和电动车。这在突然失去辅助的情况下会成为安全隐患,突然的手动转向将降低转向的可控性,从而降低车辆的可控性,对行驶中的车辆以及周围的交通构成危险。因此,减轻整体重量对于避免转向危险也变得越来越重要。
由此,从发展的角度看,电动式动力转向系统将成为标准件装配在汽车上。
2)缺点
①车用电源的电压较低(一般12或24v),提供的辅助动力较小,难以用于大型车辆
②减速机构、电动机等部件会影响汽车的操纵稳定性,正确匹配整车性能至关重要;
③使用电动机、减速机构和转矩传感器等部件,增加了系统的成本;
④需要长期保留机械装置,以保证冗余度,否则万一电子设备失效容易造成不良后果。
(9)EPS市场状况和前景
多年来,由于对燃效技术的需求,供应商已将EPS系统作为未来的技术。向电动车的过渡确实非常迅速,而公司的平均燃油经济性则是催化剂,这实际上是受到法规的推动。十年前,耐世特预测全球EPS系统的搭载率将从2009年的30%激增至2020年的50%。天合(当时还没被采埃孚收购)曾预测,到2015年在北美生产的车辆中有75%将采用EPS系统。但实际需求却远超出了行业专家们的估计,在不同转向系统中,EPS在过去十年中需求增长最快,在全球范围内,2019年占所有转向系统需求的86%。现在该系统已达到如此高的渗透水平,其增长势头必会在一定程度上达到平稳。其中大部分是C级轿车的标配,其次是D级轿车。
随着EPS系统在全球几乎完全渗透,它与驾驶员和车辆内其他系统通信的电子系统的集成就变得更加容易了。目前,有几家OEM通过转向系统关联到一些ADAS功能,作为未来全自动驾驶之前的某种过度。例如,下表总结了不同ADAS功能相对应的转向系统:
尽管如此,像博世这样的公司已经注意到,ADAS的不断普及其实使驾驶员的反应时间增加了,因为驾驶员全神贯注驾驶的时间正在减少。在突然失去电子控制的情况下就可能发生转向问题,尤其是在L3+自动驾驶的状态下。博世引用了2018年ADAC的故障统计数据(欧洲主要汽车组织Allgemeiner Deutscher Automobil-Club eV的年度研究)显示,在过去七年中由于电气故障导致的车辆故障增加了11%,占总故障数的52%,其中与转向、制动和底盘相关的问题占14%。 对于ADAS技术,转向系统变得更加先进,结合了转向角和车辆行为控制器来协助驾驶员。但是,随着ADAS技术的进步,EPS系统变得越来越复杂,并在故障操作ECU和电机设置的帮助下逐步发展到高级别的自动驾驶。
主要Tier1们的EPS产品
随着传感器和电机等电子设备的加入,EPS系统比传统HPS系统的能耗更少。过去它们在大型车(例如SUV和皮卡)中的牵引力有些受限,但新的EPS技术正在克服这一挑战。如今,不同级别的车型配备了不同的EPS系统。例如,R-EPS适用于SUV或皮卡,而C-EPS可以满足小型车的需求。 此外,随着自动驾驶需求推动着技术进步,EPS需求预计将随着技术进步而进一步增加。例如,随着朝着自动驾驶的方向发展,一些供应商已经通过双驱动技术开发了带有失效可操作系统的EPS。这意味着EPS由双控制系统驱动,该双控制系统可以在自动驾驶发生紧急情况时提供失效可操作系统(fail-operational)。 同样,耐世特、捷太格特、现代摩比斯、BAS和电装也在转向系统中开发了冗余系统。该系统基本上通过两组CPU、传感器和电机与转向系统进行通信,作为彼此的备份。
电装的2-Drive EPS
该系统即使一个系统发生故障,也可以保持转向功能。该系统主要使用两个独立的电子电路和电机线圈,并通过双系统产生动力辅助。如果一个系统发生故障,则第二个系统通过提供无缝转向辅助来保持平稳行驶。电装从2008年开始就开发了2-Drive EPS的MCU。
现代摩比斯的双控EPS 该系是在类似电装的2-Drive EPS技术的基础上开发的,且针对自动驾驶进行了优化。如果一个电子电路发生故障,双回路转向技术可在自动驾驶下保持正常的转向功能。该公司的目标是在2020年开始量产。摩比斯已设计了该系统的电子组件,例如传感器、ECU和电机,以确保在任何情况下均能正常转向。该公司还减小了ECU和其他零件的尺寸,以适应双电路。该系统可用于L4自动驾驶汽车。
博世的失效可操作EPS
该系统通过电子控制的电机来控制和辅助车辆转向。通过其电子接口,失效可操作EPS可以成为L4高级自动化驾驶的推动力。该系统在完全冗余的电子架构下,通过电子后备解决方案实现了50%的电动转向支持。如果第一执行器发生故障,第二执行器将接管转向系统的故障并转到电气后备解决方案,接管第一执行器。如果驾驶员仍在参与,则可以安全地驾驶车辆而不会突然增加转向力。该系统的失效可操作版本可在高度自动驾驶的情况下安全地将车辆引导至完全停车,驾驶员不需要参与。
该系统同样适用于SUV和LCV,因为转向齿条最大可提供18kN的作用力,并可在高速上节省23-39%的燃油。
尽管HA EPS系统和针对当前EPS技术的失效可操作配置可能有助于应对过渡时期的未来变化,但在某些情况下,成功融入未来自动驾驶汽车市场的唯一方法是SBW(线控转向),且可能还是完全没有方向盘的。但就像飞机可能会配备三重冗余系统,却仍要求飞行员或副驾驶始终在驾驶舱内一样,我们未来是否会达到完全无人驾驶呢?目前,包括捷太格特和耐世特在内的某些供应商还提出了一种称为HA EPS(High availability)的EPS系统。
■EPS为何被海外巨头垄断?
你是否驾驶过没有助力转向的老款汽车?驾驶这种汽车有点困难,需要花大力气去改变车轮的方向,而现在的汽车,基本都有助力系统来辅助驾驶人进行转向。
回顾100多年汽车转向系统的发展史,主要历经四个阶段:从最初的机械式转向系统发展为液压助力转向系统(HPS),然后又出现了电子液压助力转向系统(EHPS)和电子助力转向系统(EPS)。一代比一代省力、舒适,便于操作。
EPS正逐渐取代HPS,据统计,目前中国的HPS系统向EPS系统的切换已完成80%左右市场空间,而且将会有更多的汽车将搭载EPS转向系统。
EPS是典型的用电机代替机械连接的一项转向技术。在中国市场中,诸如NSK、耐世特、博世、捷太格特等外资或合资企业,在EPS领域的市场占有率高达80%左右,几乎处于垄断地位,牢牢把握了豪华和合资品牌车企的供应渠道,而中国本土转向企业市场占有率则不足20%。
国内EPS系统相对于国外起步时间较晚,同时还面临着转向系统供应体系经验少、标准待升级等一系列问题。我国制造业在机电一体化方面困难重重,两化融合推进至今存在‘貌合神离’现象,存在研发空白。其中,转向电机是转向系统最为核心的一道关卡。
“有什么现成的产品直接给我?”“某某公司的某某产品直接给我拿一个”,这些可能是客户最朴实的一个需求。“电机的模块化设计其实跟汽车一样,我们要避免为客户的各种独特需求来做全新的研发。电机的模块化设计如何做?它其实是定转子的模块化设计,根据客户不同应用场景来预设模块:动态响应、功率密度和标准线。
那博泽可以对客户的需求进行微调,通过调节转向电机扭矩、转速、叠长和外径等参数实现快速匹配。这样做的最大好处是缩短研发周期。据悉,博泽设计出一个全新的电机方案,研发最少只要1-2周时间。
产品特点
功率范围:250 to 900W
符合自动驾驶所需的功能安全要求的冗余设计
通过降低谐振的设计实现振动/噪音优化
根据不同应用匹配可调节的噪音表现和特性
六 转向系的功用
1.由驾驶员通过操纵转向系来改变转向轮(一般是前轮)的偏转角度来实现汽车转向。
2.克服由于路面侧向力干扰力使车轮自行产生的转向,恢复汽车原来的行驶方向。
编辑:黄飞



















































































































































































































下一篇:详解车载网络入侵检测技术