时间:2023-11-20 09:39
人气:
作者:admin
在《微波传输线概括》中我们以平行双线作为电磁波传输线的开端,但是我翻遍了《微波工程》,也没找到这根双线的章节,并且在这十多年的射频设计中,也没有用到过这类线。
但是好多微波理论计算的起点却是从平行双线开始的,我们用平行双线的开口来解释天线辐射的基本原理;也利用平行双线模型来推导传输线的路模型。

其实这根隐入尘埃中的传输线,不仅仅是电磁波传输线的起点,也是很多80后小时候最常见的一种电磁波传输线。陪伴我们一起追恐龙特急克赛号,追新白娘子传奇,追还珠格格时的老电视,连接室外房顶上的那根白色线就是平行双线。那个需要转动方向来调整电视信号的天线就是大名鼎鼎的八木-宇田天线。
至今还记得,一个人上房顶上转天线,一个人盯着电视报清晰度的场景。
随着科技的发展,这种老物件越来越见不到了。
但是平行双线作为电磁波传输线的起点,射频人还是最好有所了解的。今天这篇文章就带你回忆一下平行双线。
平行双线是用两根平行的导体组成,通常是由两股交合的或者 实芯的铜线组成,有时候也用铜包钢来降低成本,有塑料支撑来控制精确的双线间距。

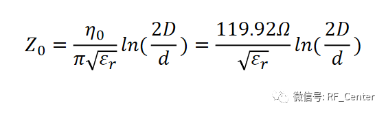
平行双线的设计结构如上图b 所示,其特征阻抗与两个平行导线的间距以及导线的直径相关。

平行双线的均匀间距是传输线的关键尺寸,间距的任何变化都会引起阻抗的突变。
平行双线的常用阻抗有600欧姆,450欧姆,300欧姆和75欧姆。最常用的是300欧姆特征阻抗的平行双线,曾广泛应用于连接电视机和调频收音机和他们的接收天线。
在用于低频传输时,平行双线的损耗明显优于小型的柔性同轴电缆,比图RG-58型同轴电缆在30MHz工作时,每100米的损耗为6.6dB ,而300欧姆的平行双线每100米的损耗仅0.55dB。并且平行双线的成本要比柔性同轴线低得多,所以在我们小时候的电视上,经常用到这种传输线。
平行双线是一种平衡传输线,两条线之间的间距要远小于其传输的电磁波的波长,一根导线上的射频电流与另一根导线中的射频电流大小相等,方向相反,因此在远离传输线的远场区,由一根导线辐射的电磁波和另一根导线辐射的电磁波等辐且反向,这样就可以相互叠加抵消,因此线路几乎不辐射电磁波能量。

类似的,任何外部干扰辐射的无线电波将在两根导线中感应出沿相同方向传输的等辐同向射频电流,由于传输端负载跨接在两根导线上,因此平行双线中只有差分反向电流才会在负载中产生电流。这样干扰电流就被抵消了,所以平行双线也不会引入干扰噪声。
但是如果一个金属体靠近平行双线,其金属体距离两根平行线的距离不同,因此感应电流大小也不同,这样电流就不会互相抵消,进而引起平行双线内的功率损耗,因此平行双线必须与金属体保持一定的距离。
但是随着电磁波频率的升高,平行双线的辐射损耗和介质损耗都会显著提升,并且高频更容易受到外界的干扰,所以工程师们也曾用类似柔性同轴线的屏蔽层一样在平行双线的外围也加一层屏蔽层,以减少其辐射损耗对传输信号的影响,并增强其抗干扰能力。

我想,也就是在这个问题解决的过程中,同轴传输线就应运而生了。随着射频工作频率的升高,平行双线也就慢慢被同轴替代了,渐渐淡出了我们的视野。
编辑:黄飞
Ceva Richard Kingston:2024半导体市场将出现