时间:2023-05-25 17:34
人气:
作者:admin
本文通过研究光解调器的结构,推导了光解调器的传输特性方程。借助由传输特性方程,分析出不同偏置点状态下光解调器的输出特性。
01
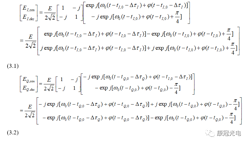
光解调器传输性方程

可见这种MZ结构实际上是一个滤波器。
后面的讨论是针对时域进行的,严格说不妥当。
DQSPK光解调器实际上由两个DPSK光解调器组成,如图1所示。






02
02
光解调器的输出特性








03
I/Q工作点组合问题








上一篇:调制解调器和路由器有啥区别
Ceva Richard Kingston:2024半导体市场将出现