时间:2022-02-06 10:02
人气:
作者:admin
今天的集成电路比以往任何时候都运行得更快。提高的运行速度会导致电源产生高度动态的功率需求,当您使用可编程电源供电时,这在测试期间构成了挑战。高速电流波形会导致集成电路电压下降。如果足够严重,电压降可能会重置微处理器或导致测试结果出现异常。本文解释了为什么会出现电压降,提供了多种方法来通过选择最佳负载引线和电源以及使用本地旁路来实现尽可能低的电压降。
选择可编程电源
传统上,要实现最佳的输出电压调节,您会使用线性电源。然而,线性电源在较高电流水平下往往非常大、昂贵且效率极低。开关电源技术的最新进展使得在高性能应用中用开关电源替代线性电源成为可能。开关电源设计人员面临着看似矛盾的低输出噪声、快速瞬态响应、低成本和高密度目标。实现低输出噪声通常是通过多级滤波或使用更大的滤波器组件来实现的,这两者都会导致更高的成本、更低的功率密度和更慢的瞬态响应。更先进的电源采用更高的开关频率、更好的滤波器设计、和更复杂的控制拓扑来优化所有标准。在为 IC 测试应用选择电源时,必须检查电压瞬态响应规范和输出阻抗特性,以确保良好的性能。
优化负载接线
在许多情况下,物理限制迫使您将电源放置在离 IC 测试板几英尺远的地方,需要至少几英尺的负载引线接线。负载引线接线阻抗会很快降低 IC 的源阻抗。几乎所有可编程电源都提供感测引线输入,您可以通过在该位置连接电压感测引线来选择电压调节点。在此应用中,感测点应尽可能靠近 IC。然而,电压调节环路只能在其控制带宽内抑制该检测点处的电压瞬变。因此,如果电流瞬变上升时间足够快,则在该感测点会发生电压瞬变。 图1。

图 1:简化的电源输出阻抗和负载引线阻抗
让我们检查一个具有 5A 瞬变的 25A 应用,其中电源设置为 2.5V 并通过 5 脚 14-AWG 接线连接到 IC 测试板。由于这是一种低电压应用,大于 100 mV 的电压下冲通常是不可接受的。14-AWG 接线每英尺具有 2.5 mΩ 的电阻,从而为电源输出和 IC 测试板之间的往返连接产生 25 mΩ 的电阻。

电源电压控制环路将在与其带宽相称的一段时间后补偿计算出的 125 mV 压降。但是,与此同时,IC 将经历 125mV 的电压降。在此应用中,仅负载引线电阻的影响就足以在测试板上引起不可接受的短时跌落。然而,负载引线电感是导致电压下降的另一个主要原因。测试板在 10 µs 内斜升 5A 瞬变的情况并不少见。在电流斜坡期间,这种高电流变化率会导致引线两端的恒定电压降。负载引线电感根据正负引线的位置而变化。使用电感的近似值,您可以估计电压降。在大多数情况下,一个 250nH/英尺的电感器是无扭负载接线的好模型。

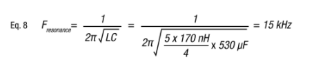
1.375 V 的结果是不可接受的。如前所述,电源的电压调节环路将检测此电压瞬变,并根据需要调整电源的输出,以在测试板上保持稳定的 2.5 V。但是,即使使用性能良好的电源,此过程也可能需要长达 1 毫秒的时间。为了减少引线电感效应,通过以固定间隔将它们绑在一起或简单地将它们扭在一起,将力引线紧密耦合在一起。扭曲引线还提供了额外的好处,即更好地抵抗其他磁场,这些磁场可能由于不同的负载引线承载大电流瞬变而可能存在。双绞线的一个很好的模型是 170-nH/ft 电感器。该电感器包括正负引线电感效应。使用双绞线重新计算得出:

虽然电压降有所改善,但总体结果尚不能接受。可以通过平行电缆敷设来进一步改进。例如,将四组双绞线并联会使电阻和电感降低 4 倍。

100 mV 的目标仍然遥不可及,尤其是当我们考虑到电源会响应输出电流的变化而贡献额外的瞬态电压降时。定制同轴电缆或扁平线电缆等更专业的布线选项可以将电感效应提高到低至 10 nH/ft。然而,这些选择成本高昂且不易获得。另一种选择是非常靠近测试板的低阻抗能量存储。
使用本地旁路电容器
电源无法足够快地补偿负载引线上的压降及其输出上的压降,因此您需要本地能源,如图 2所示 。 电容器非常适合在高频下提供低阻抗,以补充电源在低频下提供的低阻抗。有许多不同的电容器技术可用,找到合适的部件或组件组合可能很困难。陶瓷电容器非常适合在低电压下提供高频旁路。然而,即使陶瓷电容器技术的最新进展,它们也无法与铝电解和导电聚合物铝固体电解电容器的高密度和低价格相媲美。旁路网络的等效串联电阻是一个重要参数,因为它与电容器串联出现,会显着降低旁路网络的效率。
电源电压控制回路、负载引线网络和旁路电容之间的相互作用可能有点复杂。但是,一些简单的近似值可以帮助您选择电容器的初始值。过程如下:
1. 计算峰值网络阻抗。 使用以下表达式确定负载引线网络和旁路电容的所需峰值阻抗:

2. 计算旁路电容值。 将所需的峰值阻抗设置为等于由负载引线电感和旁路电容形成的 LC 槽路特性阻抗的表达式。求解电容值的表达式:

图 2:带旁路电容的负载引线网络
3. 计算槽路的谐振频率。 您使用的电源的输出阻抗必须低于 LC 槽路的特性阻抗;否则,您执行的计算将无法正确预测系统行为。电源输出阻抗会随着频率的降低而降低。在电源输出阻抗高于所需峰值阻抗的情况下,选择谐振频率以等于电源输出阻抗小于或等于 Z peak 时的频率。必须通过选择更大的旁路电容器来降低谐振频率。

4. 选择所需的电容器 ESR 以确保 LC 谐振回路的适当阻尼。 谐振回路的适当阻尼是至关重要的,因为阻尼不当的回路会趋于振铃,并且还会对电源控制回路产生不稳定的影响。负载引线电阻和电容器 ESR 的组合将起到阻尼谐振回路的作用。我们将通过将槽路电阻等同于 LC 槽路的特性阻抗,将阻尼比设为 0.5,以实现更快的响应和更低的峰值电压。

由于可能无法找到具有正确电容和 ESR 的电容器,因此您可以使用具有不同值和 ESR 的电容器的并联组合来获得所需的参数。
结果
图 3 显示了使用 Keysight N7950A 动态直流电源时在负载上观察到的瞬态电压响应。它非常适合低电压、高电流操作和极低的输出阻抗,非常适合这种应用。浅蓝色迹线代表没有本地电容器的四对双绞线。深蓝色是添加 530-µF 电容器的响应,如公式 7 中计算的那样。将电容增加 4 倍,槽路阻抗降低 2 倍,结果显示为红色。

图 3:带有和不带有本地电容存储的 N7950A 的实际测量
概括
本文探讨了使用距离被测设备几英尺远的电源为高动态负载提供稳定电压的挑战。尽管负载引线阻抗会严重降低高性能电源的瞬态响应性能,但通过采取缓解措施,您可以在被测设备上实现所需的性能。诸如扭转负载引线接线以最小化电源和返回线之间形成的环路面积、使用扁平铜线或大规格同轴电缆等技术可以显着降低负载引线电感。面对被测器件产生的快速电流瞬变,在被测器件处适当调整旁路电容器网络的大小可以进一步提高电压电平稳定性。
Ceva Richard Kingston:2024半导体市场将出现