时间:2015-08-06 10:22
人气:
作者:admin
能源问题是当今世界广泛关注的热点问题,各国研究人员一直在努力寻找和开发新能源。近年来,环境振动能量已成为研究者的“ 新宠”,被应用在无线传感器网络的供电系统中,用以取代传统的电池供电。
压电能量采集因其具有转化效率高、结构简单、易于实现机构的微小化等诸多优点而成为振动能量采集研究的热点。然而压电陶瓷片在振动环境中仅能输出低功率、小电流的交流电,无法直接为电子器件供电。通常需要设计附加的能量采集电路,以便完成交直流转换和能量存储。如何尽可能提升能量采集电路的能量传递效率是该类电路研究中关心的主要问题。
最早的能量采集电路由二极管桥式整流和大电容滤波构成。它被成为AC-DC 标准能量采集电路SEH(Standard Energy Harvesting),但该电路能量传递效率偏低,尤其是对机电耦合系数较低的能量采集装置而言。为此,Guyomar 等人提出了电感同步开关采集电路SSHI( Synchronized Switch Harvesting onInductor),由于该电路设计可大幅提升能量传递效率,已成为当前能量采集电路设计的主流方式。
需要指出的是,传统SSHI电路的原理是在振动位移达到最大或最小时,闭合开关使电压翻转。为了协调控制开关闭合,需要用外接供电的传感器检测位移,并用控制器控制开关,显然这种工作方式在采集能量的同时,还会消耗能量,有悖于环境能量采集的研究初衷。针对该问题,本文提出了一种完全不依赖外部检测与控制设备的自感知型电感同步开关能量采集电路SS-SSHI( Self-Sensing Synchronized Switch Harvesting on Inductor)。该电路的优点是仅依靠模拟电路即可完成检测和控制,避免了对外界设备和能量的依赖。在该电路中,压电片既是能量采集元件,又是传感检测元件,依靠其输出电压的峰值检测与比较,可自动控制开关的闭合时机。同时,采用了一种模拟电子开关技术实现开关闭合。文中给出了电路的工作原理与功率分析,理论和实验研究表明,相比于标准电路,SS-SSHI 电路即能显著提高能量采集效率,又可避免对外界设备和能量的依赖。
1 压电振子电学模型
压电振子的电学模型可以等效为一个电流源和等效电容并联,如图1 所示。图中Cp 为压电片的夹持电容,Rp为压电片等效内部电阻,一般为几十兆欧或更大,ieq为等效电流源电流,可视为恒流源。

图1 压电能量采集模型
假设压电振子的等效电流源的电流为ieq,那么它和振动速度关系如下:
其中αe 是外力—电压因子,x(t)为压电振子位移。
2 压电振子电学模型
压电振子一般产生的都是交流电,而我们要供电的负载大部分则是要求直流电,这就使得在给外界负载供电之前需要对其进行整流,提高能量采集效率是该类电路设计中首要考虑的问题。
2.1 标准能量采集电路
标准能量采集电路SEH( Standard Energy Harvesting)是最常见的转换电路。它由标准的整流电路和滤波电容构成,一般选择的滤波电容C r 要足够大以保证整流电压V DC 是一个保持不变的直流电压,即时间常数RCr远大于振荡周期。电路原理图如图2 所示。
图中C r为滤波电容,RL为等效负载,电路输出功率等于负载的输入功率。如果压电片电压| Vp| DC,那么当| Vp | 达到VDC 时,整流桥导通,压电片电压此时就在| Vp | = VDC 处停止上升。当| Vp | 开始下降时,整流桥又开始断开,电路处于断开状态。

图2 标准能量采集电路
电容两端电压和电量的关系为:
q =C ● V (2)
式中q 为电容两端电荷,C 为电容大小,V 为电容两端电压。
当电容两端电压为固定值时,电容上储存的能量W 为:
W =V ● q (3)
根据(2)和(3) 可以得出标准电路的能量采集功率PSEH为:

这里f0 =ω/2π是振动频率,Cp 为压电元件夹持电容,VDC为整流直流电压,VOC,org 为原始开路电压幅值,VD 为二极管压降。
2.2 电感同步开关能量采集电路
传统的经典能量采集电路由于电路一直处于通路状态,电路本身损耗比较大,加之电路本身的结构缺陷,导致能量采集效率低下。为了解决这个问题,研究人员提出了一种基于电感的同步开关的能量采集电路SSHI( Synchronized Switch Harvesting on Inductor),该电路包括一个电子控制开关,当压电结构的位移达到最大值或最小值这个开关就被触发,研究表明SSHI 电路的能量采集效率远高于标准电路。该类电路又分为并联同步开关电路( P-SSHI)和串联同步开关电路(S-SSHI)。
传统的SSHI电路原理图如图3 所示,电路的大部分时间断开的,这样能量采集电路本身的损耗就比较小,可以很好的提高能量采集效率。开关只有在位移达到最大值或最小值时才闭合,此时组成一个L-Cp 振荡回路,电路振荡周期远小于机械振荡周期,每次开关闭合后,存储在压电片Cp 上的能量便通过整流桥和电感L 转移到电容Cr上来。

图3 传统的SSHI电路原理图
通过(1)可知等效电流ieq和速度
成比例,这些开关动作可以保证Vp 和ieq是同相位的,所以从机械部分到电部分的输入能量永远是正的。Lefeuvre 等研究了SEH 电路和S-SSHI 电路的最大输出功率:

式中,α 为力因子,ω 是振动角频率,C0 是压电元件夹持电容,UM 为压电元件振动位移幅值,Qi 为SSHI电路品质因子。
通过上式可以看出S-SSHI 电路的最大输出功率是SEH 电路的(1+e-π/2Qi ) / (1+e-π/2Qi ) 倍,显然可以通过选择合适的电路品质因子Qi 显著的提高SSHI 电路的最大输出功率。
3 自感知型电感同步开关能量采集电路
然而传统的SSHI 电路的有一个致命的缺点:它不是一个自感知电路,即开关S 的通断,需要位移传感器和数字控制器,这些都需要额外的能量供给,有悖于能量采集研究的初衷。为此,本文根据文献[12]给出的电子开关设计( 如图4),提出了一种自感知的同步开关能量采集SS-SSHI(Self-Sensing Synchronized Switch Harvesting on Inductor) 方法,仅依靠模拟电路就可以自动的根据压电元件输出电压的变化控制开关的开闭。

图4 电子开关
3.1 SS-SSHI电路工作原理
在自感知同步开关电路设计中,我们使用了互补的晶体管拓扑结构来实现对压电片两端电压Vp 的直接包络检测:其中一部分用于最大值检测,剩下的对称部分用于最小值检测。对SSHI 电路的改进电路SS-SSHI 如图5 所示,图中的主要元件的型号如表1。

图5 SS-SSHI 电路原理图

图中Vp 为压电陶瓷片两端电压,VC1 和VC2 分别为电容C1 和C2两端电压。和传统的SSHI 电路一样,在每个周期内,伴随着振动位移的变化,电子开关会在电压Vp 达到最大值时或者最小值时闭合。

图6 SS-SSHI 电路电压变化曲线
由于我们采用的是互补拓扑结构,所以电路中的最大值检测和最小值检测是对称的。本文将重点讨论最大值检测原理(最小值检测与此类似),结合电路工作的四个阶段,给出SS-SSHI 电路的工作特性。对于最大值检测,开关R1,D1 和C1 组成包络检测器,T1 作为比较器,而T3 作为电子开关。四个阶段的电压变化如图7 所示。
自然充电阶段:电路刚开始工作时,由于压电元件的电压是从0 开始增加的,所以要有一个自然充电阶段。自然充电时的电流走向如图8,电路导通部分为图中蓝线部分。在这个阶段只有两个包络检测器电路是导通的,而所有的三极管是断开的。正向的等效电流ieq给Cp ,C1 和C2 充电,这样Vp ,VC1和VC2也同时地增长。
图7 电压Vp 变化曲线

图8 自然充电
第一次电压翻转阶段:当Vp 达到它的最大值Vmax时,电容C1 两端的电压为Vmax -VD ,这里VD 为二极管上面的压降。接着,Vp 开始下降,当下降值达到VD +VBE,也就是Vp = V1( T1 时刻) 时,三极管T1 导通。电容C1 通过T1(ec) ,D3,T3(be) ,Crect,D8,Li 和r开始放电,结果使得T3 导通。由开关T3 导通产生的感应回路:D5,T3(ce) ,Crect,D8,Li 和r 使得Cp 两端迅速短路。Cp 开始从电压V1 通过感应回路迅速放电,直到Vp 达到其局部最小值(t2 时刻)。第一次电压翻转的电流走向如图9 所示,电路导通部分为图中粗实线部分。

图9 第一次电压翻转
第二次电压翻转阶段:通过Li 的电流开始翻转其方向,但是T3(ce) 这条回路由于D5 的电流翻转而立即阻塞。但由D7,Crect,T4(ce) 和D6 组成的回路还是可以导通的。因为即使T4 是断开的,在它的发射极和集电极总存在一个小的没有充电的寄生电容。翻转电流就通过这条回路,直到T4 的发射极—集电极电容CCE 充满电,此时( T3 时刻),Vp 变为V3。Vp的局部最小值也就是V2 可能导致最小值开关的误判。因此R2 是必须的,以确保用来最小值检测的C2 的放电比Cp 慢, 这样可以跳过局部最小值。图10 显示了第二次电压翻转的电流走向,电路导通部分用加粗实线表示。第二次电压翻转在自感知的能量采集电路中起副作用,可以选择小的发射极—集电极电容CCE 可避免这种作用。然而,实际三极管中永远存在寄生电容。

图10 第二次电压翻转
电荷中和阶段:在t3 时刻后,T3 和T4 都断开了,但C2 仍旧没有结束放电,C2 上剩余的电荷将流入Cp 和C1 直到他们拥有相同的电压。这个电荷中和又导致Vp 在进入下半个周期即最小值检测之前增大了一点至V4。C2 实际放电是从t1 时刻开始的,但是为了便于分析,假设电荷中和阶段和其它3个阶段一样也是独立的,电荷中和阶段的电流走向如图11,电路导通部分用粗实线表示。

图11 电荷中和
最小值开关检测可由电路中剩余的对称部分完成,其原理和最大值检测类似。只是对于最小值检测,中间电压就分别变为-V1,-V2,-V3 和-V4。
3.2 SS-SSHI 电路分析
3.2.1 开关相位延迟
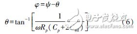
根据文献[7]中SSHI 电路的原理分析,开关动作应该刚好发生在电压Vp 达到它的极值,也就是Vmax或Vmin。然而在SS-SSHI 电路中,开关动作刚好在这一时刻是不可能的,由于包络检测器和比较器里的二极管和三极管的压降,所以在开关动作时刻和最大值(最小值) Vp 之间存在一个相位延迟。这个相位延迟可在图6 中看出为ψ,可由下式计算得:
![]()
通过图(6),可以看出开关动作时刻和位移最大值(也就是ieq =0)时刻之间的相位差φ 为:

其中θ 是压电片电压最大值Vp,oc 和ieq 的0 穿越点(从正到负)之间的相位差。显然,这个相位差异φ是变化的,然而在文献[15] 中它被当成常数。
3.2.2 电路工作中的电压变化
传统的SSHI 电路,在半个振动周期内只存在两个阶段即自然充电和电压翻转阶段,这两个中间电压可以通过这两个过程中的充电和放电来计算。而在SS-SSHI 电路中,由于自感知开关电路中各阶段的交互作用,更多的阶段需要区分开来以便更好地分析电路的特性。四个阶段的电路工作原理在前面已叙述过,从图7 中可看出四个阶段的电压从V1 到V4 的变化。
对于最大值的开关检测,如果V1 》Vref1,则Vp 开始进入第一次电压翻转。这里Vref1是参考电压:
![]()
对于第一次电压翻转(从V1 变到V2),Cp ,C1,Li和r 组成了一个RLC 放电回路,它的品质因子为:

V2 和V1 的关系可表示为:

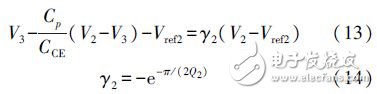
在第一次翻转后,如果V2 《 Vref2,Vp 将又会翻转。
![]()
对于第二次翻转( 从V2 到V3 ),Cp ,CCE,Li 和r串联形成一个RLC 放电回路,它的品质因子为:

就可以得到V3 和V2 的关系:

假设C2 的放电是在电压Vp 的两次翻转之后,电荷中和就可以被当成一个独立的阶段。在电荷中和阶段,Cp ,C1 和C2 上的总电荷是要被放掉的。考虑到电荷守恒,则V4 和V1,V2,V3 的关系如下:
![]()
电荷中和结束后, 自然充电阶段又开始了。在剩下的半个周期内,直到Vp 达到-V1,最小值开关开始工作。由于两次翻转和电荷中和阶段的时间远小于半个振动周期,所以Vp 的值可以近似为Vp,oc 在开关时刻的值,所以这个阶段的电压关系如下:

结合线性方程(9),(13),(15)和(16),可以得出V1到V4 关于VOC和VDC的解。
3.2.3 功率分析
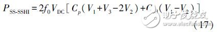
根据(2) 和(3) 可以得出SS-SSHI 电路的能量采集功率为:

这里f0 =ω / 2π 是振动频率。
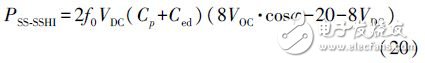
由于精确计算V1,V2,V3,V4 的数值解较困难,所以采用等效法近似计算功率。考虑到电路第三阶段和第四阶段电压的变化较小,即图7 中V2 到V3,V3 到V4 变化相对于V1 到V2 的变化特别小,所以我们可以认为V2= V3 = V4,此时(17)可以近似为:
![]()
又由于Rp 的值一般都特别大,为数十兆或者更大,所以(16)可以近似为:
![]()
这样结合式(9)和(19)就可以得出V1 和V2,带入式(18)就可得出SS-SSHI 电路的能量采集功率。

4 实验与结果分析
4.1 实验系统与实验方法
为了验证SS-SSHI 电路的能量采集效果,我们设计了如图12 所示的实验系统。图中器件分别为1. 函数信号发生器、2. 示波器、3. 激振器、4. 压电陶瓷片、5. 激振器驱动电源、6. 能量采集电路。

图12 能量采集系统
在实验中首先由信号发生器产生谐波激励信号,并输入至激振器驱动电源,用以驱动激振器以某一频率振动,继而带动安装在激振器上的压电悬臂梁振动,通过正压电效应,把机械能转化为电能,并依靠能量采集电路进行能量采集,最后通过示波器来观察能量采集效果。
整个系统的主要参数如表2 所示。一般为了使采集的能量最大,都选择在压电体(悬臂梁) 的共振频率处激振,此时压电体( 悬臂梁) 可产生更大形变,增大输出功率。由于悬臂梁的固有模态比较高,为了降低谐振频率,实验中在悬臂梁的末端附加一个10gn 的质量块(砝码)。为了观察谐振效果下的能量采集效率,本实验选用了悬臂梁的一阶模态频率f =22.3 Hz 作为激励源信号的频率。

仿真电路图5 中所示的电子元件的具体参数详见表3,在实验中我们通过选用不同阻值的电阻来模拟不同的负载,然后通过示波器分别观察SS-SSHI 电路和SEH 电路在负载端输出的电压,这样就可以根据前文所述的理论求得它们实际的能量输出功率。
表

4.2 实验结果分析
我们可以通过示波器观察SS-SSHI 电路的工作状态,其结果如图13 所示,图中给出了能量采集压电片两端电压Vp 的变化曲线和信号发生器输入的谐波激励信号。结果表明SS-SSHI 电路实现了最大(最小)位移处的电压翻转,达到了设计预期。

图13 SS-SSHI 电路工作电压曲线
根据前述理论,尽可能提高电路的输出功率是我们研究能量采集电路的主要目的。通过式(4) 和(20) 我们可以计算SEH 电路和SS-SSHI 电路的实际输出功率。但在求SS-SSHI 电路功率时需要知道相位差φ。为了测得该参数,我们在悬臂梁正反两面对称粘贴两片压电片,其中一片用于能量采集,另一片则是作为传感器,依靠其输出电压确定位移极值处所对应的时刻,通过对比两片压电片的波形就可以确定φ 值。通过实验我们发现φ 值会随着不同负载的变化发生细小的变化,符合文献[13] 中认为φ 是固定不变的假设。在本实验中测得相位差异φ =2π / 11。由此,根据式(4)和(20),我们可以得到开路电压幅值VOC,org = 10.3 V 时SS-SSHI 电路和SEH 电路的理论功率曲线如图14 所示。
为了和理论结果进行比较,分别采用多个电阻进行实验研究,不同的负载会导致电路输出不同的直流电压VDC ,根据阻值大小,由公式P =U2 / R 可计算实际输出功率。图14 表明,两种电路的实测功率与理论分析结果相吻合,尤其是本文给出SS-SSHI电路的功率理论计算结果与实测值非常接近。

图14 理论和实验功率曲线
为了进一步对比不同振动水平下,采集电路输出功率的提高幅度,本文还开展了开路电压VOC,org =2.6 V 和VOC,org = 6.5 V 时的两组实验,结果如图15所示。

图15 不同开路电压下的能量采集功率
由图15 可知:在振动幅度较小时,压电片两端的开路电压幅值VOC,org = 2.6 V( 如图15( a)),此时SS-SSHI 电路在R = 50 kΩ 时功率达到最大, 即0.007 mW;而SEH 电路R = 180 kΩ 时功率达到最大,即0.008 mW。可知SS-SSHI 电路的能量采集效率和SEH 电路的能量采集效率相似。随着振动幅度增大,开路输出电压亦增大,SS-SSHI 电路的优势逐渐表现出来,在VOC,org = 6.5 V 时如图15( b),SSSSHI电路在R = 30 kΩ 时功率达到最大:0.110 4mW;而SEH 电路R =70 kΩ 时功率达到最大:0.083mW。此时SS-SSHI 比SEH 能量采集功率提高33%,而在VOC,org =10.3 V 时如图15(c),SS-SSHI 电路在R = 30 kΩ 时功率达到最大:0.415 4 mW;而SEH 电路R =70 kΩ 时功率达到最大:0.208 5 mW。此时SS-SSHI 比SEH 能量采集功率提高99.23%。由此可见SS-SSHI 电路更适合高输入电压情况下的能量采集。
5 结论
微能源越来越受到人们的重视,而振动能作为最常见的能量存在形式受到人们的重视。压电元件以其独特的优势使得它在振动能量采集方面得到广泛应用。
本文首先对压电振动能量采集系统进行电学模型等效建模,紧接着简单分析了传统的标准能量采集电路SEH 的工作原理和采集效率。简要阐述了SSHI电路的工作原理并针对其开关控制需要额外功能的缺点设计并实现了一种自感知的能量采集电路SSSSHI。这种 SS-SSHI 电路不需要任何外界额外的能量供给就能实现开关的自行通断,在振动位移(电压)达到最大值或最小值时,开关打开使得压电元件上的能量通过整流桥流入负载来达到能量采集的目的。通过理论分析和实验验证,这种SS-SSHI 电路能够显著地提高能量采集功率,在VOC,org = 10.3 V 时,SS-SSHI 比SEH 能量采集功率提高达99.23%。实验同样表明在大输入电压情况下SS-SSHI 电路的能量采集功率比SEH 电路的能量采集功率更能得到显著的提高。
Ceva Richard Kingston:2024半导体市场将出现