时间:2020-04-08 14:53
人气:
作者:admin
在精细印制电路制作过程中,喷淋蚀刻是影响产品质量合格率最重要的工序之一。现有很多的文章对精细线路的蚀刻做了大量的研究,但是大多数都只停留在表象的研究中,并没有从本质上认识喷淋蚀刻中出现的问题。一般只通过优化喷淋过程中的一些参数,改变喷淋的一些操作方式等进行相关研究工作。本文将从流体力学的角度,建立模型来分析流体在铜导线之间凹槽底部各个位置的相对蚀刻速度,从本质上研究蚀刻液流体的蚀刻过程的机理。
1. 模型建立
在喷淋蚀刻过程中,蚀刻液是通过蚀刻机上的喷头,在一定压力下均匀地喷淋到印制电路板上的。蚀刻液到达印制板之后进入干镆之间的凹槽内并与凹槽内露出的铜发生化学反应。此时的蚀刻液既能与铜导线之间凹槽的底露铜发生化学反应,同时液能与凹槽侧壁的露铜发生化学反应 。
在建立模型之前,对蚀刻液流体及干膜之间的凹槽做如下假设:
(1) 干膜之间凹槽的长度(导线长)相比凹槽的宽度来说是非常大,这样就可以将蚀刻过程的流体分析看成是在凹槽内的平面二维流体来分析;
(2) 在铜导线之间的凹槽内,蚀刻液的的成分在每个部位都是一致的,同时各个部位的温度保持不变,即没有热交换;
(3) 在进入凹槽之前,喷淋下来蚀刻液的速度方向都是垂直向下的,喷淋的速度都是一致的,为u0;
(4) 喷淋时,认为在凹槽中蚀刻液是从凹槽中央喷射出来的,如图1所示:

(5) 在凹槽中,将反应后流体看成是凹槽内的环境流体,对喷射有一定的微扰作用。
基于以上的假设,建立相应的模型。如图2,3所示,蚀刻液是从干膜之间凹槽的中央喷射出来的。作用的周围环境介质与流体的性质一致。喷射的流体与凹槽底部的露铜作用后会沿着凹槽的两侧壁流出。

要解答此模型,首先要分析蚀刻液流体的喷射流体力学,再使用喷射流体力学分析的结果获得凹槽底部的扩散速度,蚀刻速度等。并分析了凹槽侧壁出现侧蚀的主要原因。
①凹槽底部喷射流体力学分析
由于蚀刻液是从凹槽中央喷射出来的,所以蚀刻液流体可以使用到射流的流体力学来分析。首先,建立相应的坐标体系,以凹槽的上边缘为Y轴,凹槽的中央垂直线为X轴,线间距为2b0,凹槽深度即干膜的厚度为c(c≥2b0),如图4所示:


从(4)式可以看出,任意Y截面的X方向相对速度分布符合高斯正态分布,如图5:

在射流时,虽然反应后的溶液对流体射流有干扰,但是u/um的比值依然在任意x值时符合正态分布。所以,在凹槽的底部,流体的相对速度依然符合(4)中正态分布。
②凹槽侧壁流体力学简单分析
射流流体在运动过程中,流体与流体之间有切应力,所以,与周围环境的流体作用时,在y轴方向会不断地扩展(如图3所示),即在y轴方向,流体有一定的速度。在射流理论中:
b1/2=αx(其中α为常数,约为0.1左右)
当y值取在u=um/2时,那么y轴方向的速度υ1/2为:
υ1/2=α u (5)
任意的x值时,这种关系都是存在。在x=c处也是存在这种关系的。在方程中,u的值为任意x 截面射流中流体x方向的平均速度。当x=c时,u =γum,由在y截面x方向速度符合的高斯正态分布可以知道,γ为一个常数。由于铜导线之间的凹槽宽度2b很小,所以,蚀刻液流体经过与底部作用后其y轴的方向的速度没有多大的变的化。当流体作用到凹槽的侧壁时,b1/2处作用速度为:
υ1/2=αγ um (6)
2. 流体速度与蚀刻反应速度的关系
在蚀刻过程中,蚀刻液中的反应离子是通过流体运动,扩散运动达到露铜箔的表面并与铜发生化学反应的。流体运动的速度与扩散层的厚度决定着反应的速率。在流体运动时,其受到铜箔表面流体的阻力f作用。根据物理学动能定理可以知道:
f* l =1/2mu2
则:流体的流动距离l 正比u2,也是符合正态分布的。所以,流体运动分别使扩散层的降低的厚度l符合正态分布。

3. 讨论
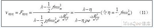
通过上面建立的模型并用射流的理论获得了底部的各个部位的蚀刻液离子的扩散速率,并搞清楚了侧壁上出现的主要原因。针对酸性氯化铜溶液,扩散速度与蚀刻反应速度是成比例关系的。所以,凹槽内底部各个部位蚀刻的速度相对中央最大速率区也是成一定关系的:

(11)式中的参数η,h可以实验获得。从图6可以,凹槽底部铜箔的形状定性地满足式(11)的关系。在侧壁上,从图6可以看出,其侧蚀程度最大处在x》c某处,而不是与流体作用时间最长的x=c处。这是由于在此处,流体具有y 轴的速度,与凹槽底部作用后,y轴的速度就作用与x》0某处,使其反应离子扩散层变的更薄,提高了蚀刻液的扩散速度,加快了蚀刻液与侧壁的铜离子发生化学反应,出现了更严重的侧蚀 。

通过以上的分析,要实现良好的蚀刻效果,要求凹槽底部的蚀刻速度快,侧面的蚀刻速度慢,此时必须要降低y方向的速度。
4. 结论
在一定假设的基础上建立相应的模型,利用射流理论来解出凹槽底部不同位置速度相对于中间最大速度um的比值。再根据扩散理论获得了凹槽底部不同y值处蚀刻液反应的相对速度关系。底部的蚀刻反应的相对于中央最大速度是符合一定关系
的。在射流时,y轴方向也有速度的,这对侧壁的蚀刻液离子具有扩散作用。所以,在x》c的某处,才出现一个严重侧蚀区。
责任编辑;zl
下一篇:PDA能否取代EDA看了就知道