时间:2019-08-30 14:22
人气:
作者:admin
1 PCB板材宽带参数提取
1.1 实验目的
本案例主要展示如何使用ADS处理网络分析仪测量的传输线的S参数,从测量的数据中提取板材介质参数,提高设计精度。实验内容包括编写AEL函数、后处理验证、以及去嵌入等内容。
通过本案例学习,工程师将涉及的操作方法
使用AEL语言编写Equation,进行后处理
去嵌入模块的使用方法
S参数文件的使用和仿真
1.2 背景知识
1.2.1 去嵌(De-embedding)技术
在实际的测量过程中,测试的结果包含了测试夹具所带来的误差。我们可以把被测件和夹具描述成一组S参数,如图 1‑1所示。
SD:代表被测件的S参数
SA / SB : 代表被测件左右两侧夹具的S参数

图 1-1 通过夹具测量被测件
去嵌入技术就是在已知夹具的S参数(SA/ SB)的基础上,把被测件的S参数从总的测量的被测件和夹具一起的S参数中分离出来的运算过程。
去嵌入技术运用了电路网络的矩阵计算。为了运算上的方便往往先将S参数转换到T参数来进行级联运算。
所以对于夹具上的器件最终测量的结果为
因此只要事先获得测试夹具的T矩阵就可以在测试中将其的影响消除掉,具体公式如下:
一般的去嵌入步骤为
a 获得测试夹具的数学模型,可以使用S参数或者T参数来分别表示测试夹具的每半个部分
b 对矢量网络分析仪做全双端口校准以及测量,测量结果包括夹具以及被测件的数据
c 将S参数转换到T参数
d 使用去嵌入的公式对测量结果进行去嵌入
e 将结果转换为S参数SD。
1.2.2 AFR 自动夹具移除校准技术
自动夹具移除(AFR)校准技术是一种提取准确的宽带夹具模型的简便方法。这种校准技术可以被用于各种夹具和互连的结构,例如转接头、芯片封装、线缆、PCB印刷传输线以及通孔这样的互连结构。这种校准技术和传统的TRL校准技术拥有同样的高精度校准性能,却有着更为简单的夹具制作实现。AFR在高速信号完整性领域有着广泛的应用。

图 1-2 测试板
图 1‑2展示了一块通孔作为被测件的测试板。通孔结构作为被研究的对象在两段均匀传输线的中间,传输线的两端是SMA的转接器,用来连接网络分析仪,测量通孔的S参数。在这个例子中,我们关心的被测件是通孔。为了进行测量,通孔处于夹具的中间(夹具包括SMA连接器以及连接通孔的传输线)。从图 1‑2上蓝色的TDR响应曲线可以看出,SMA转接器带来了不可忽视的不连续性,传输线也不是完全均匀。在传输过程中可以观测到阻抗的波动,同时也带来了传输损耗。
所有的测试测量所面临的一个共同的基础问题正如以上的例子,如何把被测件的测量结果从整个测量结果(被测件加上夹具)中分离出来。这也是AFR自动夹具移除校准技术所要解决的问题。
目前业内已经有很多测试测量的校准技术,包括
SOLT(短路、开路、负载、直通)
TRL(直通、反射、传输线)
LRM(传输线、反射、匹配)
以上的三种校准技术在实现的复杂程度和提取被测件测量结果的准确性上做了折中。不幸的是,对于被广泛在测试测量中用于移除夹具影响的TRL和LRM校准技术,在实现过程中,对于夹具正确制作有很高的要求,较容易引入人工误差。对于校准精度的要求越高,夹具的实现就越困难。
而自动夹具移除(AFR)校准技术在校准精度和实现的容易程度这对原本的矛盾的关系上取得了突破,在具有极高校准精度的同时夹具的设计也非常简单。
AFR技术是在被测件两边的夹具是镜像对称的情况下实现的。在这样的情况下,需要做一个夹具的校准件用来提取夹具的S参数。校准件的形式是把两侧的夹具直接连接在一起形成一个两倍于单侧夹具长度的直通结构。这种校准件通常被叫做2X直通参考夹具,如图 1‑3所示。

图1-3 2X直通参考夹具
虽然单侧的夹具并不是对称的,但当两个对称的夹具级联后,新的2X直通参考夹具校准件是镜像对称的,所以通过测试得到的校准件的S参数中,S11=S22,S21=S12,可以得到两个已知量,并不足够求解出单侧夹具S参数(S21A=S12A)的三个未知量,如图 1‑4所示。

图 1-4 S参数级联
而AFR技术基于2X直通参考夹具校准件的中间包含一段均匀的传输线这一特性,通过采用时域信号处理的方法可以提取出夹具的S11A和S22B。借助多出来的一个已知量,单侧夹具的S参数就可以被唯一求解出。利用去嵌入技术,夹具的影响就可以从测试结果中去除,得到被测件的S参数。
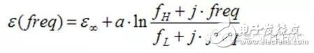
1.2.3 Svensson/Djordjevic 介质模型
介质的介电常数,又称电容率,是电位移D与电场强度E之比。而有耗介质的的损耗通常用复介电常数虚部的损耗角正切(TanD)来表示。

为了保证介质的因果性,ADS中使用了Svesson/Djordjevic模型作为有耗的介质的宽带模型

其中fl和fh是模型的参数

当频率接近无穷大时介电常数的值,a是一个常数。和a这两个参数可以从ADS中用户输入的其它参数(Er / TanD / FreqForEpsrTanD / LowFreqForTanD / HighFreqForTanD)中计算出来。
图 1‑5和图 1‑6显示的是采用Svesson/Djordjevic模型的介电常数随频率变化的趋势,介质的具体参数如下:
Er = 4.6
TanD = 0.03
FreqForEpsrTanD = 1 GHz
HighFreqForTanD = 1 THz
LowFreqForTanD = 1 kHz

图 1-6 介电常数的虚部以及损耗角正切随频率的变化
1.3 实验步骤
1.3.1 测量文件的导入和验证
1 模型的准备
用来提取PCB介电常数的电路是一根长度L为1inch的带状线,为了测试带状线的S参数,带状线两侧分别是由SMA转接器、焊盘和传输线组成的夹具 A和夹具B,夹具A和夹具B在设计成镜像对称的结构,如图 1‑7所示。
使用Keysight的网络分析仪测试图 1‑7的电路的S参数,端口阻抗是50Ohm,测量频率的范围是10MHz~40 GHz。把测量的结果保存为touchstone格式的文件 MD_2p4in_T.s2p。

图 1-7 待测电路
为了得到长度L为1inch的带状线的S参数,需要移除夹具对S参数的影响。这里选择采用前面介绍的AFR技术,需要测量夹具A和夹具B相连接的2X直通参考夹具的S参数。
设计的2X直通参考夹具如图 1‑8所示,夹具A和夹具B是镜像对称的。但是由于电路的制作存在工艺上的不稳定和误差,夹具A和夹具B的S参数,以及图 1‑7和图 1‑8中每个夹具的S参数,存在着一定幅度的不一致。
使用Keysight的网络分析仪测试图 1‑8的电路的S参数,端口阻抗是50Ohm,测量频率的范围是10 MHz~40 GHz。把测量的结果保存为touchstone格式的文件 MD_1p4in_T.s2p。

图 1-8 2X 直通参考夹具
打开KeysightADS软件,新建工程文件PCB_Parm_Extraction_wrk,假设工程文件所在目录为 \PCB_Parm_Extraction_wrk。
将光盘压缩文件中的.s2p文件(如图 1‑9)放入\PCB_Parm_Extraction_wrk\data文件夹中,有四个文件。

图 1-9 测量的S参数文件
2 S参数的验证
新建原理图a1_meas_data,按照图 1‑10编辑原理图,并编辑下列模块和仿真器的参数。
S_Param:
Start=0 GHz
Stop=40 GHz
Step=0.01GHz
EnforcePassivity=yes
S2P
File=” MD_1p4in_T.s2p”
Type=Touchstone
S2P
File=” MD_1p4in_T.s2p”
Type=Touchstone

图 1-10 原理图
点击快捷图标“Simulate”运行仿真,在跳出的显示窗口中使用左侧的快捷图标“Rectangular Plot”显示2X直通参考夹具电路和被测件+夹具电路的S参数(图 1‑11)。
dB(S(2,1))
dB(S(4,3))
unwrap(phase(S(2,1)))
unwrap(phase(S(4,3)))

图 1-11 S参数仿真结果
图 1‑11的S参数与测试过程中网络分析仪的S参数完全一致,同时从相位曲线中可以看出,两组相位中相差了被测件带来的传播时延。
我们还可以从时域曲线上验证以上结论,编辑Equation Fixture_2X_TDR和Fixture_plus_DUT_TDR(图 1‑12),通过“Rectangular Plot”显示时域TDR的曲线(图 1‑13),2X直通参考夹具有两个明显的不连续性(夹具A和夹具B),同时加上DUT的电路的时延要大于直通的夹具。

图 1-12 公式

图 1-13 S参数TDR结果
1.3.2 ARF和测量结果去嵌入
1 夹具S参数抽取
运行Keysight PhysicalLayer Test System软件(以下简称PLTS),在主窗口运行菜单栏 Utilities =》 Automatic Fixture Removal =》 Wizard…(图 1‑14)。

图 1-14 运行AFR
在弹出的窗口中进行AFR每一步的设置,在页面1,选择单端信号双端口测量(图 1‑15)。

图 1-15 AFR-页面1
在页面2中选择“2X Thru”(图 1‑16),即夹具A和夹具B直通,在AFR技术的双端口直通S参数提取中,认为夹具A的S21和夹具B的S12传输函数是一样的。

图 1-16 AFR-页面2
在AFR wizard页面3中load之前测量得到的S参数文件“MD_1p4in_T.s2p”。Load之后会在页面的下方计算出夹具中传输线的特性阻抗以及夹具的传输时延,如图 1‑17。

图 1-17 AFR-页面3
在页面4选择“De-embeddingfor PLTS measurements”(图 1‑18)。

图 1-18 AFR-页面4
在页面5按照图 1‑19进行选择,并选择输出文件名“my_fixture”,点击“SaveFixture Files”,将会有两个.s2p文件生成,分别代表两个夹具的S参数。

图 1-19 AFR-页面5
上一篇:PCB设计中的四种接地模式分析