时间:2023-09-28 10:44
人气:
作者:admin
PCB 通常使用两种类型的传输线:微带线和带状线。每条传输线都由信号走线和参考平面组成。根据传输线几何形状,必须将信号走线和参考平面视为一个单元。并且永远不要将它们分开,因为微带线和带状线具有定义其特性的独特EM 场分布。
通过将 PCB 走线阻抗与信号源匹配,可以避免PCB 传输线中的信号反射。但了解哪种阻抗匹配技术适用于设计也很重要。我必须告诉你,没有一种传输线技术是完美的。涉及传输线的PCB 设计方程只是近似值,根据规格有不同程度的精确度。
微带线和带状线传输线的电磁场分布可以通过选择PCB 材料(介电常数和损耗角正切)和调整引导波长、传播速度和特性阻抗来改变。这些参数最终会改变电磁场分布,从而改变传输线的特性。

微带线由位于由接地平面支持的介电基板上的条状导体组成。
微带线是一种平面传输线,主要用于射频和微波电路。它在PCB表面布线,周围有两种环境:PCB材料和空气。微带由位于介电基板上的条状导体(焊盘)组成,该基板由接地平面支持,当接地平面和条带之间的间距增加时,该接地平面会辐射。
在微带中,主要的传播模式是准 TEM(横向电磁)。因此,截面中的相速度、特性阻抗和场变化变得与频率相关。

微带中传播的电磁场。
存储在微带排列中的电能存在于空气和电介质中,因此传输线上信号的有效介电常数将介于空气和电介质的介电常数之间。该有效介电常数决定了微带传输线上电磁波的相速度。
微带线是分散的。随着频率的增加,有效介电常数也向基板方向增加,导致相速度降低。有效介电常数考虑到大部分电场保留在基板内,但总能量的某一部分存在于电路板上方的空气中。

εr也随自由空间波长而变化。随着带材宽度与基材厚度/宽度/高度的比率减小,这种分散变得更加显着。随着带钢宽度的增加,色散不那么明显。在这种情况下,微带线似乎是一个理想的平行板电容器。εr应大于空气的介电常数 ( ϵ r = 1) 并小于基板的介电常数。阅读PCB 基板:了解介电材料的特性。

图片来源:Leo G. Maloratsky 回顾微带线的基础知识。
与微带参数计算相关的具有挑战性的问题是导体带未浸入单一介电材料中。一方面,它是电介质,另一方面,它通常是空气。有效介电常数的概念是专门为应对这一挑战而开发的。所述 εr表示板材料(相对介电常数之间的一些中间值率εr)和空气(相当于1)。因此,这可用于计算微带参数。
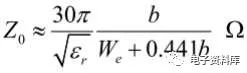
对于给定的 PCB 层压板和铜重量,信号走线的宽度 (W) 除外,下面给出的公式可用于设计 PCB 走线以匹配电路所需的阻抗。对于宽度为 W 和厚度为 T 的信号走线,通过具有介电常数ϵr的 PCB 电介质与接地(或电源)平面相距距离 H ,其特征阻抗 (Zo) 为:

微带线的特性阻抗随着频率的增加而变化。这里值得注意的一点是,IPC 微带线方程在 50 到 100Ω 之间最准确,但对于较低/较高阻抗则不太准确。
注意:所有尺寸均以密耳为单位。

其中 T 是电路板厚度,H 是走线之间的间距。
对于给定的传输线几何形状,延迟常数仅是介电常数的函数,而不是迹线尺寸的函数。对于给定的 PCB 层压板和介电常数,各种阻抗线的传播延迟常数是固定的。

微带结构的优点
注意:尽管微带线具有低成本和紧凑尺寸的优势,但它比同轴线、波导、CPW 和带状线的损耗更大。

将基板悬浮在空气上以减少微带线的损耗。
这可以通过将基材悬浮在空气中来完成。微带的悬挂意味着信号和接地路径之间的间隔增加,这也增强了微带辐射的趋势,特别是在不连续处。
基板底部和地平面之间的空气包含电磁场。微带线的插入损耗降低,因为与标准电路板基板相比,空气基本上没有介电损耗。此外,由于较低的有效介电常数,微带线的宽度增加。较宽的线路具有较低的电流密度,因此具有较低的欧姆损耗。微带悬挂技术仅用于几GHz。
注意: 较小的宽度总是会导致更多的损失。
微带几何用于在低频下传导 EM 波,但在 60GHz 以上,由于损耗,其应用受到限制。这就是它们不能在太赫兹频率下使用的原因。

在多层微带中使用不同的衬底层。
多层微带线可以设计在不同配置的衬底层上。它可以是单层、双层或多层材料。随着对SoC要求的需要,在高频下多层基板的使用有所增加。
多层基板材料在微带建设中的优势

带状线布线在 PCB 的内层,这就是为什么它只被一种环境包围,即 PCB 材料。这种技术最好用于多层 PCB 设计,信号走线由上下的接地层支撑。
在带状线中,高频信号走线的电流返回路径位于接地(电源)平面上的信号走线上方和下方。由于这种布置,高频信号保留在 PCB 内部,从而减少了辐射,并提供了对传入杂散信号的屏蔽。
带状线的特性阻抗取决于介电常数以及带状中心导体和接地平面的横截面几何形状。带状线的特征阻抗随着带宽度W e 的增加而减小。

注: b 为两平面间距,W e为有效带钢宽度。

带状线中给定长度的传播延迟 (tpd) 只是电介质 εr 的函数。


带状线中的电磁场分布。
带状线传输线由三层导体组成,其中内部导体称为“夹层导体”,而连接在信号地的另外两个导体称为接地导体。夹层导体嵌入均匀且各向同性的电介质中,具有介电常数 (Er)。
带状线中基本 TEM 模式的电“E”和磁“H”场线在上面以定义的横截面和定义的时间表示。
多层电路板通常需要带状线,因为它可以在层之间布线,但带状线的接地需要适当注意。如果顶部和底部接地层的电位不同,则平行板模式可以在它们之间传播。如果激发,这种模式将不会局限于带附近的区域,而是能够传播到存在两个接地平面的任何地方。
带状线比微带线对金属外壳的横向接地平面更不敏感,因为电磁场在中心导体和上下接地平面附近被强烈包含。

带状线中的顶部和底部地平面。
平行板模式将开始在顶面和地平面之间传播。并且它不会局限于条带周围的区域,而是会在存在两个接地平面的任何地方传播。平行板模式可以通过以下方式抑制:
如果过孔放置得太靠近带状线边缘,它们可能会干扰特性阻抗。因此,过孔间距应至少为 3 条带宽度。
那么,是否有可能在不使用带状线排列的情况下设计多层 PCB?
嵌入式走线可以用双层两层PCB设计代替,即总共四层铜层。

可以使用嵌入式走线设计多层 PCB。
在 PCB 顶部表面布线的走线与电源层形成微带线,而底部走线与接地层形成微带线。
在这里,可以轻松访问两个外层的信号轨迹,以进行测量和故障排除。但是这种布置没有利用平面的屏蔽特性,从而导致对外部信号的更大辐射和敏感性。
上图右侧给出的排列使用嵌入的迹线并充分利用了平面。可以根据对您而言重要的内容有选择地在 PCB 设计的嵌入式和非嵌入式布置之间进行选择。易于测试或降低EMI 和 EMC。
除了制造和电介质差异之外,PCB 微带线和带状线设计也存在布线差异。







介电常数(材料对真空的电密度如何)和损耗角正切(材料的损耗程度)是特定应用 PCB 走线设计所需的两个关键参数。
PCB材料的介电常数大于1,介于真空和空气的介电常数之间。因此,PCB 上的引导波长将比真空/空气中的波长短,传播速度也将低于光速。
如果介电常数较高,则引导波长将较短。这就是为什么两条迹线之间相同长度的失配会导致更多的传播延迟。考虑到这一事实,建议使用具有低介电常数的材料。

过渡到具有更高介电常数的材料时波长的收缩。图片来源:AN12298,恩智浦半导体
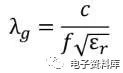
对于带状线,引导波长为:

对于微带,引导波长为:


相同长度的微带线和带状线的传播延迟比较。图片来源:AN12298,恩智浦半导体
精确设计带状线和微带传输线以实现适当的阻抗匹配和/或脉冲延迟时间非常重要。了解微带线和带状线布线的基本原理有助于 PCB 设计人员将这些本土电路技术应用到他们的设计中。