时间:2023-06-06 09:41
人气:
作者:admin
MIMO在4G、5G和WIFI中被广泛使用,我们经常会碰到2T2R、4T4R、4T2R等说法。
那么,为什么要用MIMO呢?信道容量的概念是什么?MIMO的信道容量又该怎么计算呢?信道容量拿来干嘛呢?
带着这些问题,我们往下看。
1.为什么要用MIMO?
关于为什么要用MIMO,可以阅读之前发布的文章《MIMO-OFDM系统那些事》。
简单来说,就是在发射端和接收端,多弄几根天线,通过分集和复用的技术实现系统容量的提升,同时通过合并的技术提高接收增益。
结合此前为大家推荐的MIMO-OFDM相关的书籍《MIMO-OFDM无线通信技术与MATLAB实现》,相信结合所学知识,以及MATLAB仿真,会有比较深入的认识。
此外,理解通信和数字信号处理方面的技术,强烈建议把MATLAB用起来,特别是里面的Toolbox。因为所有的Toolbox,都是基于行业标准做的,是很有价值的参考方案。
2.信道容量的概念
回到本文的重点,关于MIMO的信道容量计算。
提到信道容量,我们不得不想到信息论,也不得不想到祖师爷—香农(shannon)。

1948年,香农发表《通信的数学原理》(A Mathematical Theory of Communication),从此开启了一门学科—信息论。

正是在这篇54页的论文中,提出了著名的香农公式。

什么意思呢?

从此,什么是信息,什么是信息熵,数字通信的理论大厦才逐渐建立起来。
3.信道容量怎么计算
在《MIMO-OFDM无线通信技术与MATLAB实现》书中的第9章,专门讨论了MIMO的信道容量。
此外,知乎博主陈老湿的《通信MATLAB仿真》系列的第11章《MIMO基本概念》也进行解读,欢迎感兴趣的读者前往阅读,学习。
MIMO信道容量的计算,需要公式推导,并且需要针对是否含有CSI信息,进行另外的计算。
具体的推导,参见《MIMO-OFDM无线通信技术与MATLAB实现》书中的第9章。
这里面,会涉及SVD分解、注水功率算法、满秩等概念。
由于敲公式很费时间,各场景下的MIMO信道容量,本文截图自《MIMO-OFDM无线通信技术与MATLAB实现》第9章,感兴趣的读者可以阅读该书对应章节。
3.1确定性MIMO信道容量
3.1.1发射端已知信道状态信息(CSI)


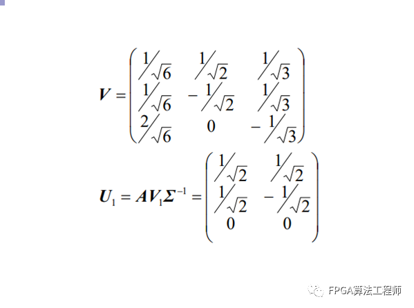
当发射端已知CSI时,可以使用奇异值分解(SVD)。
使用SVD可以将MIMO信道看作一组独立的SISO信道。该过程需要在发送端进行预编码,在接收端进行接收整形。这需要了解发射机的信道。H矩阵可以写成SVD形式为


最后,我们可以得到发射端已知CSI时的MIMO信道容量。

关于SVD分解,在矩阵理论中给出相应的解法。
例如:



在实际的MIMO-OFDM通信系统中,H系数是复数,所以计算量很大。同时,如果要将计算出的分量回传给发射机,也需要消耗不少时间,并占用硬件接口传输带宽。
3.1.2发射端不知道CSI时

3.1.3SIMO和MISO信道容量

3.2随机MIMO信道容量
在实际通信系统中,信道变化是随机的。

书中提供了MATLAB仿真程序:
运行Ergodic_Capacity_CDF.m,可以得到当发射机未知CSI时,随机MIMO信道容量的CDF。从图中可以看出,MIMO系统容量随着收发天线数的增加得到改善。

运行Ergodic_Capacity_vs_SNR.m,可以得到当发射机未知CSI时,MIMO信道在不同SNR下的遍历容量。

此外,运行程序OL_CL_Comarison.m,可以计算和比较闭环于开环系统的4×4信道遍历容量。从图中可以看出,发射端已知CSI与未知CSI的信道容量,在高SNR下,相差不大。

另外,需要注意的是,MIMO信道增益不是独立同分布的。MIMO的信道容量与信道的相关性有关。具体推导,如下:


运行程序Ergodic_Capacity_Correlation.m,得到下图。从图中可以看出,信道相关,会使得信道容量减少。

更多关于MIMO-OFDM的内容,可以阅读《MIMO-OFDM无线通信技术与MATLAB实现》。网上有电子版,如果喜欢纸质阅读,可以点击购买。书中给出了MATLAB程序所在的网址。因MATLAB版本的原因,部分程序,可能需要做简单修改,即可运行。
4.信道容量用来干啥?
最后,我们再来讨论一下,信道容量用来干啥。
信道容量是给出了不考虑编译码时延和复杂度情况下,误码率趋近于零的最高传输速率。信道容量就是一个天花板,你要是想以超过这个速率传输,那么你就得付出误码率的代价。
也就是说,信道容量是一个理论值,一个系统的最大传输速率是有上限的。
从香农公式C=Blog2(1+S/N)可知,要增加信道容量C,可以考虑以下四种方式:
增大通信通道
增加带宽B
增加信号功率S
减少噪声或干扰信号的功率N
若增大通信通道,那么需要进行多通道扩展;若增大带宽B,则需要采用大带宽;若想增大信噪比,对于工程应用而言,增大信号强度S比减小噪声功率更易实现,对于终端来说通常采用增大接收功率的方法。
那么需要达到这三个要求需要采用什么技术呢?首先对于多通道扩展,则需要使用空间复用,具体实现即MIMO技术;对于大带宽要求,则采用毫米波技术,加大发射功率并能有效增大带宽的需求;若想要增大发射功率,就需要查看另一个弗林斯传输公式:

由上式可知:若想增大接收功率,要么增大发射功率,要么增大收发端的增益,要么增大信号波长,要么缩短收发端的距离。但是对于工程而言,基站的发射功率是有限制要求的,所以增大发射功率不可取;由于低频频段的可用资源匮乏,所以增大信号波长也不现实;另外缩短基站到终端的距离是可以的,并且适用于小范围高密度区域。
那么就只剩下从增益考虑去如何增大接收功率,对于接收端的增益相对比发射端增益实现会更加困难,则一般考虑增大发射增益。此时,由毫米波和增大发射增益的需求则引出一个重要的技术——beamforming(波束赋形)技术。
在工程中,MIMO系统通常还会采用空时编码的方式,进一步提高分集增益。有了分集,在接收端,就有合并的方法,主要有:选择性合并、等比合并和最大比合并。
关于MIMO信道容量的讨论,到此结束。
审核编辑:刘清