时间:2018-02-04 10:33
人气:
作者:admin
本文阐述传感技术配合“LED+智能”照明进行系统管理,从工作原理,硬件和软件设计方案中体现传感器在智能LED照明系统中担当的重要角色。预测LED照明与更多传感器及无线通讯技术相融合得到广泛应用,让人们感受更为舒适的光环境。
引言
随着人们生活水平的提高,具有色彩丰富的LED(light emitting diode,LED)在家居照明、商业照明、公共照明和景观照明等领域得到广泛应用,各类传感器和智能控制系统在LED照明的二次节能中发挥的作用得到充分地体现,传感器在“LED+智能”照明系统中起到传输信息与交互的作用,有效控制灯的照明时间实现节约能源,也是实现智能控制的重要一环。本文重点介绍“LED+智能”照明与传感技术结合应用的方案特点,为了让人们拥有舒适的光环境及可持续节约能源,照明产品正由传统单一的照明转变为智能照明系统,各种传感器与LED照明产品匹配充当智能控制系统的眼睛。例如在公共照明领域,LED路灯利用光敏传感器根据白昼周期实现光控,红外传感器采集人们的活动信息实现人走灯灭,使我们的生活更加节能环保,“LED+智能”照明与传感技术的结合应用将颠覆传统照明概念。
1 传感技术概述
人为了从外界获取信息必须借助于感觉器官,在信息传输过程中,首先要解决的就是获取准确及可靠的信息,传感器(transducers)是获取自然环境和相应工作过程中信息的主要途径与手段。国家标准GB/T7665-2005《传感器通用术语》定义传感器为:能感受被测量并按照一定的规律转换成可用输出信号的器件或装置,通常由敏感元件和转换元件组成。
1.1 典型传感器
(1)热释电红外传感器:热释电红外传感器(passivelnfrared ray)是将具备热释电材料做成的热敏型红外传感器,可把透过滤光晶片红外辐射能量转变为电信号的热电转换。其工作原理如图1,探测器表层温度没有变化时,内部电荷与表面吸附电荷所中和,则探测器的温度保持平衡T[K]。如果接收到外部红外辐射时,其温度发生变化,敏感元则会有变化T+T [K],即由外部红外辐射引发探测器敏感元表层的温度变化时,传感器会释放出电流。当温度稳定,内部电流则平衡,敏感元就无电流产生,对相对静止的热源体则无电流输出,通过利用热释电红外探测器这一特征,可检测到如人运动的红外热源,此类传感器是被动型的温度敏感器件,对应用的环境温度要求不高,灵敏度极高且光谱效应宽,大量应用于照明行业。

图1 热释电红外探测器原理
值得注意的是红外热释电传感器的应用必须借助菲涅尔透镜(fresnel lens),菲涅尔透镜为聚烯烃或玻璃制造的薄片,薄片表面一面为光面,另一面刻录了由小到大的同心圆,在传感器结构中具有视角调制与聚焦的作用,可扩大探测器接收信号源的范围,探测警戒线内红外能量的变化,监视在运动的红外源或者移动热源。菲涅尔透镜与红外热释电传感器配合应用如图2,由系统固化软件对采集的全部数据进行分析后传输给控制中心,并经过逻辑分析并判断是否发出控制信号。

图2 菲涅尔透镜与热释电红外探测器的应用
(2)光敏传感器:光敏传感器(photovaristor)即光敏二极管,是一种通过感知周围光线并能将光信号变为电信号的半导体器件,通过核心部件光敏电阻利用半导体光电效应形成电阻值,可随着入射光线的强弱改变电阻器的阻抗值,光亮度强时则其电阻小,光弱则其电阻大。光敏传感器常用于光的测量、控制及光电转换,另一核心部分PN结的结构不同于普通二极管,为便于接入光线,PN结的面积会尽量做大和电极面积做小,把PN结空穴做浅到小于1 μm。图3为光敏传感器工作原理图,在应用时会有一个感应环境光强弱的端口,当光线变化时,PN会自动开关。通常路灯运用光敏传感器实现天黑时开灯及天亮后灭灯的功能,不需人工操作而实现光控模式的典型应用。

图3 光敏传感器电路
(3)声控传感器:由声音控制传感器、音频放大器、选择频道电路、延时开启电路及可控硅控制电路等组成的声控传感器(microphone array)。以声音对比结果来判断是否要启动控制电路,用调节器给定声控传感器的原始值设定,声控传感器不断地将外界声音强度与原始值做比较,当超过原始值时向控制中心传达“有音”信号,声控传感器在楼道及公共照明场所得到广泛的应用。
(4)温度传感器:能感受温度并转换成可用输出信号的传感器为温度传感器(temperature transducer)。由于LED灯具散热不佳而导致LED早期失效或光衰严重的案例很多,固照明产品在结构设计时广泛采用温度传感器作为LED或控制装置的过温保护装置,在灯具的热源处利用温度传感器来实时监控灯具的温度,当灯体温度升高到上限值时,电路自动降低控制装置的输出电流或关闭控制装置使灯具降温,当温度降至设定下限值时自动调整控制装置的输出电流至额定值或重新开启,其工作原理见图4。

图4NTC过温保护电路
1.2“LED+智能”照明与传感技术
物联网是全球信息化应用的热点,每个需要识别和管理的物体或场景都需要安装与之对应的传感器来实现信息收集和传递。图5为“LED+智能”照明系统架构图,系统的设计首先是将传感器置入各应用端,并编制照明回路的负载清单,使每路LED灯的控制性质保持一致,系统对回路的划分根据管理需要进行分组及控制,构建协调的管理模式及编制系统设备配置表,并设计好匹配的控制装置,采用多模式控制与集成模块架构的系统管理方案。

图5 “LED+智能”照明系统架构
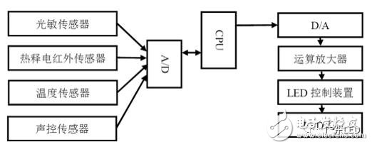
在“LED+智能”照明系统的硬件设计方面,通常采用光敏传感器来检测环境光的亮度,采用热释电红外传感器检测人身体辐射微量,采用温度传感器检测照明灯具LED的定点温度,采用声控传感器来感知现场的声音强度。智能控制系统将传感器采集到的信息经A/D转换之后传输给CPU,运算处理后的信息再经D/A转换成电信号传输到运算放大器进行运算处理,形成指令发送到每个终端LED灯的控制电路,由LED控制装置来执行对LED灯的控制,具体方案见图6。

图6 “智能+LED”照明控制架构
“LED+智能”照明系统的程序采用模块化集成电路,以主程序为核心的传感器应用软件设计,在运行时通过主程序指令到子程序的功能单元,对传感器收集信息的处理及把指令传达到终端LED灯。
2“LED+智能”照明与传感技术结合应用
2.1 智能照明的“利器”
“LED+智能”照明系统由传感器、微控制单元(MCU)、控制执行和LED灯组合而成,传感器负责将多种信号采集并传递的一种电子器件,随着微机电系统(Micro-Electro-Mechanical System,MEMS)技术的日趋成熟,传感器正向小型化、多功能化、智能化及产业化同步发展。传感器把采集到的物理量信息转换成电信号,由A/D转换器、MCU和D/A转换器进行甄别及运算处理,以达到控制LED灯具的目的,适用于“LED+智能”照明的传感器有热释电红外线传感器、光敏传感器、声控传感器、超声波传感器和霍尔传感器等各类传感器,并可在控制中心的MCU上设置不同的控模式,实现LED灯的开关时间、亮度调节及变换色彩的控制,可见传感技术是实现“LED+智能”照明的第一步,也是照明系统对环境和管理信息收集的“利器”。
2.2 商业照明
“LED+智能”照明结合传感器在办公场所、商场、楼宇、综合大楼及公共场所得到大量应用,通过传感器便可管理特定范围的全部LED灯,任意选择无线遥控或现场控制方式,改变传统的一对一开关控制模式,提升了LED灯在数字化和网络化的系统管控能力。商业照明典型应用总线协议(European Installing Bus,EIB)照明系统将管理区域内LED灯通过组网进行系统管理的架构如图7。管理中心将建筑群的照明及安监等事项进行集中管理,把散布于各走道、房间、楼梯及门庭等地方的热释电红外线传感器、光敏传感器、声控传感器或光敏传感器收集的信息自动地连续采集,系统对由管理平台与网关传到中央处理器进行运算处理,管理员可依据处理后的信息进行控制设定,把所有终端LED灯按需求实现分组开关或调光控制,有效提升系统管理效率。

图7 商业照明系统架构
2.3 植物工厂照明
人类面临食物、资源、环境和人口等问题的解决都与农业生产密切相关,植物可接收的太阳光能越来越少,因此,农业照明用智能控制补光系统受到世界各国的广泛重视。系统利用传感器对植物工厂环境中的温度、湿度、光照、二氧化碳(CO2)浓度及营养液等参数进行监测,并实时采集及传输信息到控制中心根据植物相应“光配方”需求对终端LED灯的定时开关、调光和调色设置管理,起到对植物生长过程起到保驾护航的作用。
2.4 特殊应用
我国北方供暖消耗电能约占全年用电量的20 %,整栋楼的不间断供暖是用电量高居不下的主要原因,利用传感技术基于人体跟踪单点供暖与传统中央供暖系统相比较,不同点在于其供暖是以精确定位到空间中的具体个体及人群,而不是传统中央供暖覆盖整个空间。系统通过传感器对需要供暖区域进行探测定位,指引LED灯发射红外光束在该区域形成暖光圈,并利用传感技术与无线通信相结合的跟踪功能,使装在天花板上供暖光束随着个体及人群移动而切换或移动,由此可见传感技术在单点供暖系统中发挥着重要作用。
3 传感技术应用要点及趋势
3.1 传感器应用要点
随着物联网技术的进步,传感器不仅具备基础的信息收集功能,在智能照明系统的信息处理能力也成为判断其性能高低的重要依据,实际应用中应根据使用目的、动态特性指标和环境来选择相应的传感器。各种传感器使用注意要点:①当传感器应用在高温环境时,传感器涂覆层易于脱落,内部电路板(printed circuit board)焊点容易开路,应力作用导致结构变异等问题的出现。对于高温环境下工作的传感器通常结构设计时采用隔热层或灌胶处理。②在高粉尘或潮湿环境应用时,传感器容易出现短路或灵敏度下降等故障。在该环境条件下应选用密闭性很高的结构设计。应注意不同厂家生产的传感器密封性能存在较大差异。③在腐蚀性、潮湿及酸性环境下使用,传感器容易造成弹性体受损或产生短路等问题,应选用抗腐蚀性能更好的不锈钢外壳结构。④特定场所的电磁场对传感器输出紊乱信号的影响是明显的,应对传感器的电磁兼容性进行严格测试,确保其具有良好的电磁兼容能力来保证稳定工作。⑤易燃易爆不仅会对传感器造成功能损害,而且对人身安全也将造成严重的威胁,因此,在易燃易爆环境下工作的传感器应具备防爆性能更高的传感器,设计传感器外罩不仅要确保密闭性,还要考虑到防爆及防水能力。
3.2 传感技术应用趋势
随着“LED+智能”照明和传感技术的成熟应用,把控制功能、场景控制、信号处理、电子控制及执行器组成的智能控制系统,加入Wireless、TCP/IP、GP、RS 、Wi-Fi、ZigBee等各种无线通讯和组网技术的应用,实现远程传输和控制,将是LED照明的主流技术发展和市场需求的趋势。基于智能手机和IPAD的便捷功能,将会给人们生活带来更多的便利,如晚上回家前可实现人未到先开灯,也能通过无线网络远程监控到家里的情况,这些都与传感技术的应用密不可分。由于传感器与无线通信的深度结合应用,该系统的安装极为方便和不用担心增加布线,可轻松实现照明系统的智能化,为人类提供高品质光环境的同时实现二次节能,同时也将成为未来智能照明技术发展的趋势。
结语
随着传感技术在“LED+智能”照明系统中的成熟应用,更多类型的传感器将成为照明系统方案设计者的关注焦点,利用多路传感器收集信息作为系统控制的依据,并结合各类无线通讯技术在照明系统中得到创新应用。同时,利用传感技术的“LED+智能”照明系统正逐步得到人们的认知,也将使我们的生活变得更加便捷及舒适。