时间:2024-03-22 13:55
人气:
作者:admin
目前隔离式Delta-Sigma模数转换器在伺服驱动的相电流检测中得到越来越广泛的应用。
Delta-Sigma模数转换器具有多项优点,首先是高分辨率。它能够实现非常高的分辨率,通常可达16位或更高,其次是低噪声特性,Delta-Sigma模数转换器具有较低的噪声水平,适用于对信噪比要求较高的应用。此外,Delta-Sigma模数转换器还具有低成本、灵活性和高动态范围等优点。
Delta-sigma工作原理
其硬件体系结构包含积分器、比较器和1位数模转换器(DAC),如图1所示按序排列在一个负反馈系统中。将输入信号和取反的DAC输出相加作为积分器的输入。
积分器的输出是一个斜坡信号,该信号的斜率与积分器的输入信号幅度成正比。积分器输出与比较器参考信号进行比较,产生0或1。
比较器的二进制输出基于ADC过采样时钟送入数字抽取滤波器。每个位代表积分的斜坡输出相对于比较器参考的方向,多次循环之后,位流代表输入信号的量化数值。

图1 delta-sigma模块组成
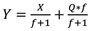
其传递函数表达式为:

在低频时f趋近于0输出信号主要是输入X,当高频时f>>1,输出信号主要是噪声Q,因此该模块具有噪声整形能力,对信号有低通效应,对噪声有高通效应。

图 2 ΔΣ的高低通整形图
数字抽取滤波器将位流进行平均,输出期望采样速率fs下的n位采样。其实,平均过程等效于低通滤波,可以衰减量化噪声,并从感兴趣的频带中去除混叠成分。
这种数字抽取滤波器不仅可构建出十分平坦的带通响应,不引入任何相位误差,而且能够在截止频率具有陡峭的截止特性(约为采样频率fs的0.49倍),极佳地抑制无用频率成分。
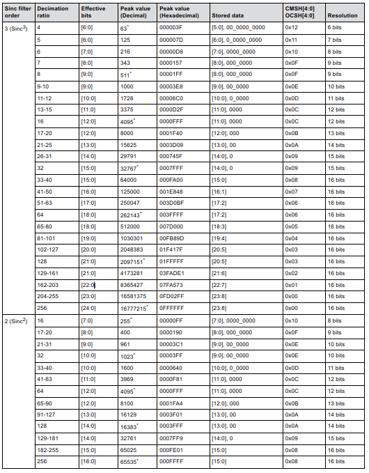
在抗混叠中发挥了重要作用。数字抽取滤波器通常为有限脉冲响应(FIR)滤波器,如梳滤波器,具有极高的性价比。RZ系列sinc函数框图如下:

图 3 Sinc滤波器框图
电流检测和过流检测分别单独设置,独立控制每一路的sinc阶数和抽样率,满足电流检测和故障保护的不同要求。
量化噪声
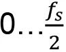
我们借助频域分析来看看过采样技术。当直流转换具有多达
的量化误差时,数据采样系统便存在量化噪声。理想的经典N位采样ADC在DC至
的奈奎斯特频段范围均匀地分布着均方根大小为
的量化噪声(其中,q是一个LSB的值而fs是采采样频率),因此,采用满量程正弦波输入时,

由于AD输入的量化噪声一般是白噪声,不同频率是不相关的,噪声均匀的分布在
频率范围内。使用过采样技术后,将会带来信噪比的提升,修正后的信噪比表达式如下。

BW为输入信号的带宽。
RZ DSMIF介绍
1
概述
瑞萨RZ系列MPU集成了delta-sigma外设(DSMIF),最多可以接6路外部ΔΣt调制器,能够将调制的1位数字信号转换为16位数字数据,实现高分辨率和低噪声的信号转换。其主要参数如下:

2
模块结构框图

3
功能介绍

4
数据精度与寄存器对应的位置
长按可保存图片与查看:


5
建立时间
通道激活建立时间:该建立时间是指从通道激活到滤波数据稳定输出的时间。其计算方式如下:

PWM同步后建立时间:该时间是指功抽样计数器初始化触发到滤波器稳定输出的时间。其计算如下:

审核编辑:刘清