时间:2020-11-30 11:53
人气:
作者:admin
本文介绍利用并联L // C而引起的谐振现象,并利用该现象我们对电子中的滤波器模块进行设计。
带阻滤波器
将并联和串联设计混合在一起的一种有趣的电路,是与输出负载串联的并联LC滤波器电路,下面我们将其称为(L // C)-R电路。下面的图1给出了这种架构的表示:

图1:(L // C)-R电路图
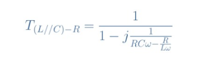
如果我们将Z L // C称为并联LC结构的阻抗,则可以写成V in = V out + Z L // C ×I。知道I = V out / R并通过用V out分解表达式,我们可以在几步之后写出(L // C)-R电路的传递函数:

eq 2:(L // C)-R传递函数
我们假设L = 3 mH,C = 5 nF,R = 10kΩ和20kΩ,我们来分析该电路的传递函数,

图2:(L // C)-R传递函数的图
图2陈述了这样的一个事实,即当电阻增加时,该带阻滤波器的带宽Δω变窄,这是因为Q 串联 =(1 / R)√( L / C)=ω 0 /Δω。
实际上,该定义对并联电路无效,并联结构的公式变为Q 并联 = 1 / Q series =R√(C / L),这解释了先前确定的图1中的现象。
实际上,并联RLC电路的特征参数是串联RLC电路的倒数。
带通滤波器
一个有趣的概念称为对偶性,使我们能够从另一电路的知识中直接找到新电路的方式。基于这样的事实推论,可以将应用于电流或电压的方程式应用于特定结构。
让我们更清楚一点,再考虑一下上面详细介绍的带阻滤波器示例。我们将这种配置称为(L // C)-R,因为L//C电路与电阻R串联(-)。我们已经看到该电路充当该电压的带阻滤波器。
该电路的对偶电路是图3中所示的(L // R)// R电路:

图3:图1的对偶结构
对偶性概念告诉我们,该对偶电路是带阻滤波器(即带通滤波器)的对偶。为了验证该假设,我们可以通过写成I in = I out + Y L // C ×V out来开始,这与上一节中显示的等式相同,但适用于电流,如对偶性概念所述。ÿ L// C是L // C的导纳和等于1 / Z L// C。
知道V out = R×I out并通过用I out分解表达式,得出:

eq 3:(L // C)// R传递函数
我们可以看到,等式3与等式2非常相似,但是虚数项是相反的,这决定了了带通滤波器的行为。我们可以再次考虑相同的值L = 3 mH,C = 5 nF和R = 10kΩ和20kΩ,并绘制此传递函数,以得出本节的结论并确认带通滤波器:

图4:(L // C)// R传递函数图
结论
并联RLC电路的行为与串联结构完全不同。这是由于L // C电路的能量相互交换的现象,称为共振。
这种现象是由于互连的电感器和电容器之间发生了相互放电/电荷。这样的电路的阻抗理论上趋于无穷大值在特定的脉动ω 0称为共振脉动(对于f或共振频率0)。在实际电路中,此阻抗会由于内部电阻行为而达到峰值。
编辑:hfy