时间:2020-12-02 11:40
人气:
作者:admin
发射机信号泄露严重制约连续波雷达探测性能的提高。微带天线广泛应用于微小型连续波雷达,其收发天线隔离性能是制约微小型连续波雷达探测能力的关键。本文分析了连续波雷达系统中发射机信号泄露抑制技术,包括收发通道对消、信号处理以及天线隔离技术,指出目前微带天线收发隔离主要采用空间隔离技术来实现,包括空间波隔离和表面波隔离两类。并对空间波隔离和表面波隔离技术的原理、特点和应用进行了详细分析。最后指出,当前增加收发隔离的主要目标是提高灵敏度,并结合目前的研究状况展望了未来增大收发天线隔离度的研究方向。
微小型连续波雷达具有体积小、质量轻、功能强、成本低、全天候、4D 高分辨、探测性能稳定、环境适应性好等优点 ,具有广泛的军事和民用前景,是当前研究热点。微带天线具有尺寸小、结构形式自由、剖面低、便于集成加工且成本低等一系列优点,因此微小型连续波雷达射频收发一般采用微带双天线实现。受体积和空间限制,微小型连续波雷达微带收发天线之间存在间距较小、隔离度不高、发射信号容易泄露到接收机的问题。
微带收发天线作为微小型连续波雷达的重要部分,收发天线间的耦合是影响雷达系统性能的重要因素,直接决定了微小型连续波雷达的探测性能。当隔离度较小时,泄露信号不仅会淹没微弱的目标回波,降低接收机灵敏度,还会影响成像效果、差分形变测量效果,甚至造成接收机饱和失效。因此,如何提高微带收发天线间隔离度是今后研究的重点方向。
对于连续波雷达,发射机信号泄漏的抑制方法主要有隔离技术、信号对消技术和信号处理技术 。本文对上述三种技术的原理、特点和应用情况进行了分析,指出微小型连续波雷达主要采用收发天线空间隔离技术实现,并对其常用的微带天线收发空间隔离技术进行了详细阐述,包括微带天线收发空间隔离原理,以及微带天线空间隔离技术(空间波抑制法、表面波抑制法和综合抑制法)的实现途径和优缺点。除此之外,还对增大收发天线隔离度方法的发展方向进行了展望,值得科研人员进一步深入研究。
1 雷达系统泄露信号抑制技术
目前,解决雷达系统中收发隔离问题,主要有三种技术: 信号对消技术、信号处理技术和隔离技术。
信号对消技术即是构造一个与泄漏信号幅度和频率相同但相位相差 180°的对消信号,使之与泄漏信号进行合成处理,消除泄漏信号。
信号对消分为射频对消和中频对消。射频对消即另取一条支路,以耦合信号为基础,通过器件来调幅调相,使泄漏信号在进入 LNA 前,将泄漏信号抵消掉。射频对消的缺点是: 在引入对消信号时会夹带一些噪声,降低接收机灵敏度,因此不能达到理想效果; 中频对消是先让含有泄漏信号的接收信号经过接收机变频到中频,再去馈送一部分发射信号,也经过变频到相同中频,在中频处形成对消信号,实现中频对消。中频对消技术操作简单、成本低,能够避免噪声的引入。但缺点是无法防止强泄漏信号造成接收前端饱和,而且其实用灵活性较低,需要在已完成设计的接收机基础上才能实现。
信号处理技术是对所接收到的信号进行滤波处理,以便提取有效信息。但信号处理技术计算量大,并且过程复杂,因此在处理过程当中不仅需要较长的时间,占用很大的空间资源,而且还需要优化算法,所以此技术难以满足需求。
隔离技术包括时间隔离、频率隔离、极化隔离、空间隔离。
时间隔离表示接收机与发射机有一个工作时间差,交替工作在不同的时间段内。该技术主要应用于收发分时工作的脉冲雷达,不能应用于连续波雷达;
频率隔离表示在接收机的前端放置选频元件,使用不同频率的 向上发射频率和对地发射频率来达到隔离的效果,其频率差可达到上百 MHz 。 主要应用于发射和接收采用不同频率的大功率卫星通信站,但是连续波雷达收发信号的频率基本相同,很难将此技术应用于连续波雷达当中;
极化隔离表示使用垂直或者水平极化的发射和接收天线,使收发天线之间的极化相反,让微波间不存在串扰现象。但并没有起到很好的隔离效果,因为在实际应用中,天线本身就存在一定的交叉极化,因此在连续波雷达当中很少使用此技术;
空间隔离表示通过拓宽收发天线之间的距离或者加载一些抑制泄露信号传播的结构来有效提高隔离度。此技术的主要原理是通过改善天线收发耦合强度,来减少空间波和表面波的传播,主要分为空间波抑制法和表面波抑制法。此技术能很好地减少发射天线到接收天线的信号泄露,因此连续波雷达常用空间隔离技术来提高收发隔离度。
综上所述,减少信号泄露是提高连续波雷达性能的关键,提高微带天线隔离度主要通过空间隔离技术来实现。
2 基于微带天线收发空间隔离的原理
天线隔离度定义为: 接收天线接收到的来自发射天线耦合进入的功率与发射天线辐射功率的比值,即:

式中: L 为天线的隔离度,单位 dB; P T 为发射天线向外辐射功率; P R 为辐射信号不经过目标反射而直接进入接收天线的功率。
收发天线间的耦合由两部分组成: 表面波和空间波。其中,由微带收发天线副瓣产生经空间直线传播的电磁波,称之为空间波 。空间波的耦合强度方程式为:

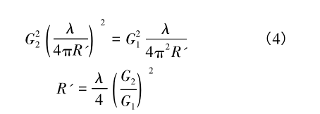
式中: G 2 为自由空间波增益; R‘为收发天线间的距离。
微带天线的介质板引导了电磁波在介质板表面的传播,发射天线的电磁波在介质表面传播时会对接收天线产生影响,这部分波被定义为表面波。表面波的耦合强度方程式为:

式中: G 1 为表面波增益。
当介质基片比较薄,收发天线的距离较近时,表面波和空间波都会在较大程度上影响收发天线间隔离度。从式(2)和(3)可看出,空间波随着收发天线间距的缩减,增长速度要比表面波增加得快。
从式(2)和(3)可知,表面波耦合和空间波耦合相等时存在一个临界点,临界点的位置为 :

即当收发天线间距离小于 R’时,自由空间波耦合占主要地位,当收发天线之间的距离大于 R‘时,表面波耦合起主要作用。
除此之外,随着收发天线间距离变小,天线方向图主瓣宽度会变宽,会使能量发散,因此在设计收发天线时,应尽可能增大收发天线间距。但是为了尽可能减小雷达系统的体积,收发天线的距离不能太远,所以收发天线的距离应该控制在有限的范围内来提高收发天线的隔离度。在空间隔离方面提高雷达系统的收发隔离度,需要抑制天线间空间波和表面波的传播。
3 基于微带天线的空间波抑制法
微带天线空间波抑制法是通过减少发射天线副瓣产生经由空间直线传播到接收天线的电磁波,来提高收发天线隔离度。在连续波雷达微带天线中,对于天线间的空间波抑制法主要包括增加收发天线间距和加载隔离板等方法。
3. 1 增大收发天线间距
由上述分析可知,收发天线间距的改变对空间波的影响要远大于对表面波的影响。
收发天线远场区隔离度计算公式为 :

由式(5)可知,在远场区,收发天线间距每增大一倍,天线隔离度可提高 6 dB,但是,收发天线间距远不满足远场区的条件,因此当收发天线间距增大一倍时,隔离度的提高要大于 6 dB。由此可知,隔离度与收发天线间距成正比,但是过大的天线间距会造成天线结构整体偏大,不利于系统的小型化设计,限制了连续波雷达在一些较小设备上的应用。
3. 2 加载隔离板
加载隔离板是另一种主要的空间波抑制法,通过一定高度的隔离板来阻断电磁波在空间上的传播。隔离板一般采用较轻的铝板。文献采用加载隔离板的方法来减少收发天线间的耦合,设定隔离板的厚度为 2 mm,高度为 30 mm,天线间距为16 mm,经仿真测试隔离度提高了 18 dB。设定不同高度的隔离板,结果如图 1 所示,隔离板高度越高效果越明显,但高度达到一定程度时,隔离效果明显减弱,因此表明隔离板也只能在一定程度上对隔离度有所改善。
图 1 隔离板高度对收发天线隔离度影响
加载隔离板也会带来一些问题。首先,过高的隔离板会恶化天线方向图; 其次,表面波还会通过金属隔离板进行传播,从而影响隔离效果; 此外,隔离板的存在会增大系统的整体尺寸,难以达到设备小型化的要求。因此在多数情况下并不使用此方法。
4 基于微带天线的表面波抑制法
微带天线表面波抑制法是通过减少发射天线电磁波在介质表面的传播对接收天线产生的影响。在连续波雷达微带天线中,对于天线间的表面波抑制法主要包括减少天线罩对表面波的激励、开设扼流槽、铺设 吸 波 材 料、蚀 刻 缺 陷 地 结 构、加 载 EBG(Electromagnetic Band-Gap)结构等方法。
4. 1 减小天线罩对表面波激励
为保证天线正常工作,需要加装天线罩来保护天线。但常用的天线罩材料都具有较高的介电常数,容易激起表面波。微带天线收发分离并同时工作,若覆盖天线罩进行保护,将其固定在天线的表面,则激起的表面波将通过天线罩到达接收天线端,造成收发天线间耦合增大,影响接收性能。
天线罩的介电常数越大,那么激起的表面波就会越多,随之收发天线间隔离度就会下降。天线罩厚度和介电常数是表面波敏感参数,因此可通过改变这两个参数来减少表面波。当天线罩的厚度确定后,可选择适当的介电常数材料,尽量减少激发的表面波。文献中通过调整敏感参数,减少了收发天线间的耦合,使隔离度达到了 75 dB 以上,达到了抑制表面波,减小收发天线耦合的目的。
4. 2 开设扼流槽
扼流槽是一种可以阻止特定频率微波电流传输的结构,它的结构形式为在金属表面开一个深度约为中心频率 1/4 波长 ,宽度适中的空气槽,当表面波电流流经扼流槽时,电流被阻止通过,从而提高收发天线间的隔离度。金属扼流槽通过合理的设计其尺寸能够在槽的顶面产生高阻表面的效果来抑制表面波,而且扼流槽属于平面结构,体积小、质量轻,因此常被用于改善天线间的隔离度,结构如图 2 所示。

图 2 扼流槽结构示意图
文献在仿真软件中验证扼流槽效果模型,通过不断优化扼流槽结构的深度和宽度,使其达到最优效果,隔离度提高了约 13 dB。文献中陈薇根据扼流槽的特性,在收发天线间加入扼流槽来破坏表面波的传播。收发天线间的距离为16 mm,通过不断改变扼流槽的深度 h 和宽度 g 使其达到最好的效果,收发天线间隔离度最多可提高 10 dB。
增加扼流槽个数,并将扼流槽设置成不同的深度,使其呈阶梯状变化,结构如图 3 所示。在收发天线间加入多个扼流槽,可极大改善收发天线间耦合问题,隔离度可提高约 20 dB。
图 3 阶梯状扼流槽示意图
在微带收发天线间开设扼流槽,不需添加其他立体结构,只需要在金属表面开空气槽即可,这样即不增加天线的体积,又可减少设备的整体质量。但扼流槽在实际加工时,深度较深,而且阶梯状扼流槽深度有多个尺寸,加工时对设备选择、工艺流程和操作水平均有较高的要求,给加工带来了许多困难,所以在收发天线间加载扼流槽不易加工制作。
4. 3 铺设吸波材料
吸波材料指能吸收或者大幅减弱投射到它表面的电磁波能量,从而减少电磁波干扰的一类材料。当天线安装在金属框架内时,天线收发的微波能量一部分与框架产生的感应生成表面波电流,恶化了收发天线的隔离; 一部分通过金属表面的反射形成多径反射,恶化了天线方向图。在金属框架表面安装微波吸波材料可以有效减少金属表面的表面波电流与金属表面反射形成的多径反射,改善天线的隔离度与方向图。
文献中通过铺设吸波材料,减少了收发天线间表面波在介质基板上的直接传播,隔离效果非常明显,使收发天线间隔离度提高了 15 dB。文献通过建立吸波材料验证模型,在软件中仿真计算,铺设吸波材料不仅可以提高收发天线间隔离度,同时对天线方向图也有所改善。
在金属装置表面铺设吸波材料,能够吸收其表面的电磁波能量,它在一定的频带内对电磁波具有较高的吸收率,同时满足温度、湿度、腐蚀等环境条件要求,具有成本低、安装方便等一些优点。但是,为了较好地改善收发天线间隔离度,会在天线周围铺设较厚的吸波材料,这在一定程度上增大了系统的整体体积。
4. 4 蚀刻缺陷地结构
缺陷地结构(DGS)是在微带线的接地金属板上刻蚀周期或者非周期的栅格结构,改变传输线的分布电感和电容,获得带阻特性和慢波特性等。典型的 DGS 形状有哑铃型、螺旋形等,哑铃型 DGS结构示意图如图 4 所示。
图 4 哑铃型 DGS 结构示意图
缺陷地结构由金属接地板上缝隙结构组成。它的工作原理是缝隙结构的引入影响微带传输线等效电路中电容分布和电感分布,从而改变介质基板分布的介电常数,主要具有高阻抗特性、带阻滤波特性和慢波特性。将 DGS 结构应用于天线单元或天线阵列中能抑制天线单元高次模,提高天线单元交叉极化性能,抑制天线单元间耦合等。
缺陷地结构相较于其他类型具有带阻滤波特性的电磁结构,其最大优势是非周期性缺陷地结构同样具有某个频段内带阻滤波特性。缺陷地结构提高了介质的有效介电常数,同时改变了贴片表面电流的分布。但缺陷地结构尺寸越大,介质介电常数的提高就越大,同时对分布参数的影响也越大,缺陷结构还会导致天线辐射方向图的改变和辐射效率的降低。
4. 5 加载 EBG 结构
对于微带天线间隔离度的改善,有多种结构能够有效降低微带天线间的耦合,例如人工导向介质(SRR) 结构去耦、RAMC 结构去耦和电磁带隙(EBG) 结构去耦。这些结构去耦的原理相似,均是在天线介质中加入这些结构,它们能够阻碍表面波的传播,达到去耦的目的,从而增大天线间的隔离度。SRR 结构能够产生电谐振,谐振能够抑制某些频段的电磁波,从而阻碍表面波的传播; 非周期的 RAMC 结构,是一种新型球面投影人工平面材料,类似于一个圆柱形金属反射器可聚焦电磁波,通过降低天线间交叉极化,来改善收发天线间隔离度。周期性的 EBG 结构在某一频段范围内会产生一定的带阻或带通作用,能有效抑制表面波的传播,在连续波微带天线中多用此方法来增加天线间隔离度,下面主要以 EBG 结构做主要介绍。
EBG 结构是指对特定频段内的电磁波产生阻带特性的一种周期结构。在其带隙内能够有效抑制介质基板中表面波的传播,因此可被用来降低微带天线间的互耦。
电磁带隙结构主要分为: 介质打孔型、地面蚀刻型、高阻抗电磁表面型和共面紧凑型。介质打孔型和地面蚀刻型都需要破坏介质基板,制作困难,不易加工,制作成本较高,且不易于与微波电路集成 ,共面紧凑型 EBG 单元的结构在设计时形状复杂,而且其带隙特性也没有高阻抗表面好。为了设计的需求,现在多采用在金属导带和金属接地板上形成周期性 EBG 结构 。
经过多年的研究,EBG 结构日渐成熟,结构形式多样。其中以蘑菇型 EBG 结构(如图 5 所示,图6 为蘑菇型 EBG 结构的等效模型和传输线模型)的研究最为成熟,且具有带宽较宽的优点,因此常用蘑菇型 EBG 结构来改善天线间的隔离。Yang等将蘑菇型 EBG 结构应用于天线阵列当中,由于 EBG 结构的存在,大大改善了阵元间的耦合,隔离度提高了 8 dB 左右。文献用蘑菇型 EBG 单元结构放置在基片集成波导阵列天线间距之间,隔离度有了较大的提高,约为55 dB。Manh 等通过在两个微带天线阵列之间水平插入 EBG 结构来增加两者间的收发隔离度,提高了约 35 dB。
图 5 蘑菇型 EBG 结构

图 6 等效电路模型和传输线模型
在收发天线间加载 EBG 结构,这种方法具有设计简单、结构紧凑、厚度薄、易于在同一基板上与其他器件合成等优点,此外 EBG 结构的二维带隙特性可以抑制一个平面内任意方向传播的表面波。但是水平排列 EBG 单元的方式对于一些收发阵列间隔很小却又需要较高隔离度的雷达系统来说是不适合的,因为阵列间没有足够多的间距来加载足够多列的 EBG 单元。
5 基于微带天线的空间波和表面波综合抑制法
微带天线空间波和表面波综合抑制法是通过同时减少发射天线经由空间直线传播到接收天线的电磁波和减少发射天线电磁波在介质表面的传播对接收天线产生的影响。在连续波雷达微带天线中,对于天线间的空间波和表面波抑制法主要包括加载EBG 墙结构和缺陷墙结构。
5. 1 加载 EBG 墙结构
水平加载 EBG 结构可有效抑制天线间的耦合,但是水平排列 EBG 单元的方式对于一些收发间隔很小却又需要较高隔离度的雷达系统来说不合适,因为阵列间没有足够的间距来加载足够多列的 EBG 单元。为在上述限制下达到好的收发隔离效果,文献中提出了可通过在两天线间竖直排列多列 EBG单元构造出两个 EBG 墙结构(如图 7 所示)。这样竖直加载的方式同样能够利用 EBG 结构的带隙特性来抑制两天线间的空间波和表面波传播,使两天线间隔离度增大了至少 20 dB,这显示出 EBG 墙结构高效的隔离性能。
图 7 加载 EBG 墙的贴片天线
5. 2 加载缺陷墙结构
缺陷墙结构与 EBG 墙结构类似,利用其带隙特性可以有效地抑制表面波和空间波的传播,应用于收发天线较窄的微带天线中。文献提出了将缺陷墙结构印刷在介质基板上(如图 8 所示)来提高收发天线间隔离度。从结果中得到,天线间的隔离度最大提高了 18 dB 左右。
图 8 缺陷墙结构
尽管加载 EBG 墙结构和缺陷墙结构适用于天线间距较窄的情况,并且有较好的隔离效果,对于现实应用有较大的参考意义,但是在实际应用中,考虑到设备的小型化和易于安装等要求,一般不使用加载 EBG 墙结构的方法。
6 微小型连续波雷达微带收发天线隔离技术展望
经过多年的深入探讨与研究,微小型连续波雷达广泛应用于各个领域,其技术经验也逐渐丰富。但信号泄露问题一直是微小型连续波雷达的一个缺点,在解决这个问题上,多采用增加微带收发天线隔离度来进行改善,使雷达系统在动态范围内能够正常工作。纵观国内外对连续波雷达泄露信号抑制技术的研究情况,前端饱和问题可以忽略不计。因此,在现阶段多是解决泄露信号导致的接收机灵敏度下降问题。在未来的发展中,增加收发天线隔离度技术必将是一个热门方向。可采用综合技术来汲取各个技术的优点,如: 铺设吸波材料 + 蚀刻较小尺寸缺陷地结构,这样减少了因铺设吸波材料而造成系统整体质量增大的问题,也减少了大尺寸缺陷地结构对分布参数较大的影响,同时在最大程度上改善收发天线间隔离度问题,减少信号泄露,提高接收机的灵敏度,尽可能使泄露的信号低于灵敏度而不被检测到,以此来提高雷达系统的整体性能。
7 结束语
微小型连续波雷达具有体积小、功能强、全天候、高分辨等优点,应用前景广泛,是当前的研究热点。抑制发射机泄露信号是提高连续波雷达探测性能的关键。主要采用收发天线空间隔离技术实现。对于微小型连续波雷达普遍采用的微带天线,其难点是体积和空间有限、收发天线之间间距较小、隔离墙难以设置等。为此,本文按传播路径,将微带收发天线信号隔离方法分为空间波隔离、表面波隔离和综合隔离技术,并对其原理、应用和优缺点进行了分析和评述,对未来的发展进行了展望。受空间和结构限制,对于微小型连续波雷达微带收发天线,要实现较高的收发天线隔离度,仅仅采用单一的技术较为困难,应针对具体应用,综合采用多种技术,进行详细设计。
作者:韩壮志 ,吴玉柱 ,梁梦涛 ,马月红 ,李小民