时间:2019-01-04 14:43
人气:
作者:admin
微带贴片天线是一种使用微带贴片作为辐射源的天线,它是由导体薄片粘贴在背面有导体接地板的介质板上形成的天线。导体薄片的形状可以是方形、矩形、圆形或椭圆形等。由于它要构成一个天线系统,即要有一对收发天线,而且收发天线之间用一根金属棒连接,所以采用的贴片是圆环形贴片。但是在实际应用中,如果要求天线工作在低于2 GHz的频率范围内时,贴片天线的尺寸会显得较大。这里由于项目背景的要求,使得天线的最大尺寸基本确定,而且要求天线系统的最低工作频率可以达到260 MHz左右。为了解决天线小型化问题,采用了加载短路针的方法。本文先通过Ansoft的HFSS软件进行建模,完成一个完整的天线系统模型,并仿真得出其S参数,然后将其导成S2P文件,再采用Agilent的ADS软件加入实际的脉冲信号源验证设计结果。
1 天线系统的建模
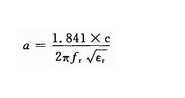
首先给出圆形贴片天线的设计公式,当天线的工作频率较低时(通常低于2 GHz),圆形微带贴片的半径为:

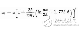
式中:εr为介质层的相对介电常数;fr为工作的中心频率;c为光速。当工作频率较高时(大于2 GHz时),贴片的半径还和介质层的厚度有关,其计算公式为:

式中:h是介质层的厚度。从公式中不难发现,对于微带贴片天线基本都存在类似的关系式:即贴片的尺寸和工作频率成反比。在这个设计中,基于的项目背景是要求贴片的最大半径不能大于5 cm,同时要求在260 MHz左右存在一个工作点。本文选用的介质层材料为Rogers RO3210,它的相对介电常数较高为10.2,选择该材料也是出于减小天线尺寸的考虑。如果按照设计公式来设计贴片的半径,则可知该半径为17.2 cm左右,远远超出了规定的半径上限要求。因此,必须采用额外的手段来减小天线的尺寸,这里采用的方法是加载短路针,即在适当的位置上加载一个适当孔径的圆柱形导体,将贴片与参考地之间连接起来,具体方法之后将详细介绍,这里先给出天线系统的整体模型,如图1所示。微带贴片的结构基本分为3层:最下层是参考地,中间是介质层,最上面是贴片。考虑到天线的互易特性,建模时接收天线和发射天线没有本质的区别。接下来的问题就是如何正确设置发射天线和接收天线。由于设计的是天线系统,所以最后想要得到的是整个系统的传输特性,即S21参数。但以往用HFSS设计天线的时候,基本只考虑S11参数,因为设计的天线只作为一个一端口元件使用,这里直接将两个天线作为一个系统来看,因此必须定义两个端口才能得到S21参数,即一个是输入端,另一个是输出端。设计的天线采用底部馈电方式,它在激励端口的设置中被定义为lumpedport(集总端口激励)。为了能让仿真软件清楚地辨别两个天线一个是作为发射的,另一个是作为接收的,所
以要将其中一个激励信号源的大小调整为0 V,这样这个天线就可作为接收天线来使用。如果不做这一步,则最后得到的S参数是2个天线共同叠加的效果。
图1中,金属棒的半径为8 mm;介质层的厚度为1.6 mm,半径为140 mm;贴片的半径直接选择允许的最大尺寸50 mm;馈线的孔径为O.5 mm;接收天线与发射天线间的间距为5 mm。这里使用两个短路针加载在馈点附近,尽量靠近中心原点,最后确定的孔径大小为1 mm,高度为1.6 mm。

2 天线系统的仿真结果
采用HFSS对系统进行仿真,经过多次对于短路针位置以及尺寸的尝试,最终在263 MHz左右出现了比较满意的结果,微带天线的S11达到了-17 dB,如图2所示。


图3是整个天线系统的传输特性曲线,即S21参数。发射天线的辐射方向图如图4所示。
3 结果分析
设计过程中发现,短路针的位置和尺寸对于结果影响很大。研究结果表明,加载短路针可以有效减低天线的工作频率。本文尝试了很多次后,大致总结的规律如下:如果固定短路针的位置,则短路针的尺寸(这里主要是孔径的大小)越小,频率下降得越多;如果固定短路针的孔径大小,则短路针越是靠近馈点或是中心时,频率下降得越多;相反越是远离中心,频率下降的幅度也越小。由辐射方向图可以发现,微带天线的中间被一个导体金属棒打穿,因此该位置的辐射能量为0,原来辐射能量强的地方由于受到金属棒的影响,被“挤”向两端,成为两个椭球的形状,提高了方向性。由S21传输参数图可以发现,频率在265 MHz左右时,衰减大约是-9.5dB(插入损耗),在该频率范围内可以进行能量的传输。
4 导入ADS验证仿真结果
在HFSS中完成仿真结果后,可以将其S参数矩阵导成S***件的格式,SNP格式是几个常用微波射频仿真软件通用的格式文件。其中,N是端口号。对于设计的天线系统来说,是一个二端口元件,所以导出的是S2P文件。然后在ADS中使用一个二端口的symbol来装载其S2P文件就可以具有该特性,并用一个脉冲信号源进行验证。这里选用信号源的频率是263 MHz,定义好了上升沿时间和下降沿时间,占空比设置为1/2,使用瞬态仿真器查看信号时域的非线性特性曲线,其曲线图如图5所示。

从图中可以发现,1 V的输入信号,输出变为0.7 V左右,信号经历了一个从暂态到稳态的过程。在输出端波形上有一定的失真,能量基本被传输,而且时延也很小,不会影响判决门限。但是输入的方波信号通过这个系统后变成了类似三角波的信号,所以后续信号的处理中要加上一个整形电路。接着本文又改变了信号源的频率,此时不在天线的工作频率范围内,重新做一次仿真,仿真结果与预期的一样,输出信号只有0.13 V,能量通过这个系统时大部分都被衰减了,该频率点上无法进行信号的传输,如图6所示。
5 结语
本文设计了一个天线系统,通过对于端口激励的正确设置得到系统的传输参数。从宏观上总结出了短路针的位置及大小对于天线频率的影响,最后利用ADS协同仿真来验证设计天线系统的实际传输特性。可以发现,对于这种结构的天线,工作带宽不是很宽,这里设计的天线系统带宽在10~15 MHz左右,但S21和S11达到了令人满意的结果,可以在期望频率处得到预期的能量传输。